什么是短路电流?想必大部分电气人员都非常清楚了。但是如果说到短路电流计算方法,以及电气设备的动稳定度和热稳定度校验,可能很多电气人员都是只知其一就不知其二,甚至还有一些电气人员是一问三不知的。我们都知道“短路电流 (short-circuit current )是电力系统在运行中 ,相与相之间或相与地(或中性线)之间发生非正常连接(即短路)时流过的电流。短路电流的值远远大于额定电流 ,并取决于短路点距电源的电气距离。例如,在发电机端发生短路时,流过发电机的短路电流最大瞬时值可达额定电流的10~15倍。大容量电力系统中,短路电流可达数万安。这会对电力系统的正常运行造成严重影响和后果。那么短路电流怎么计算?电气设备的动稳定度和热稳定度校验又什么呢?下面本文详细地给大家介绍一下,看完文章希望能给广大电气人员一些参考。

1、短路及其原因、后果:


2、短路的类型


3、计算短路电流的目的:


4、三相短路时的电压、电流曲线:


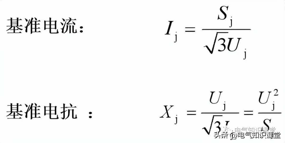
5、短路电流的计算方法:


















6、电气设备的动稳定度和热稳定度校验:









