亚马逊广告运营小技巧分析 (亚马逊广告关键词否定词如何取消)

亚马逊运营干货: 做好广告关键词否定,帮你省下一台宝马车的钱

亚马逊广告关键词多少个合理,亚马逊广告运营小技巧分析

亚马逊的定义,否定关键词就是关键词投放中的否定投放。其实否定关键词准确地讲应该叫做“否定搜索词”。因为它的真实涵义是屏蔽掉用户的一些搜索词,避免 无效的 广告曝光和点击,从而避免了广告费的浪费。

对商家而言,找出那些会产生负面影响,浪费广告费用的关键词与为产品设置热门关键词同样重要。

这里教大家超实用的 设置 否定 投放 词的2招 干货技巧

1. 前置否定

所谓前置否定,就是在一开始投放广告活动时就进行否定词投放,那有人就问了,我怎么知道投放哪些词呢?怎么投放呢?

否定词来源

1 .1 工具: scientificselle r ( https://app.scientificseller.com/keywordtool#/ )

1.2 步骤:

A. 选取1个或者多个核心大词,放到工具网站中进行检索,以我们销售的 AAAA 电池为例,将A AAA batt ery 放到工具网中,点击“开始我的关键词搜索”

亚马逊广告关键词多少个合理,亚马逊广告运营小技巧分析

B. 工具会跑出很多相关联词,我们将它们称为核心元素词。

接下来我们就分析这些核心元素词与我们的产品是否相关,如我们销售的是不可重复充电的电池,那 rechargeable 就与我们产品不相关,我们销售的是碱性电池,所以l ithium (锂电池)也与我们产品不相关,以此类推就能收集到很多与我们产品不相关,但买家会搜索的词,此时就将这些不相关的核心元素 词投 放到广告活动中,进行词组否定,这样,所有跟这些核心元素词相关联的买家搜索词都不会匹配我们的广告活动,减少无效曝光和点击。

亚马逊广告关键词多少个合理,亚马逊广告运营小技巧分析

2. 后置否定

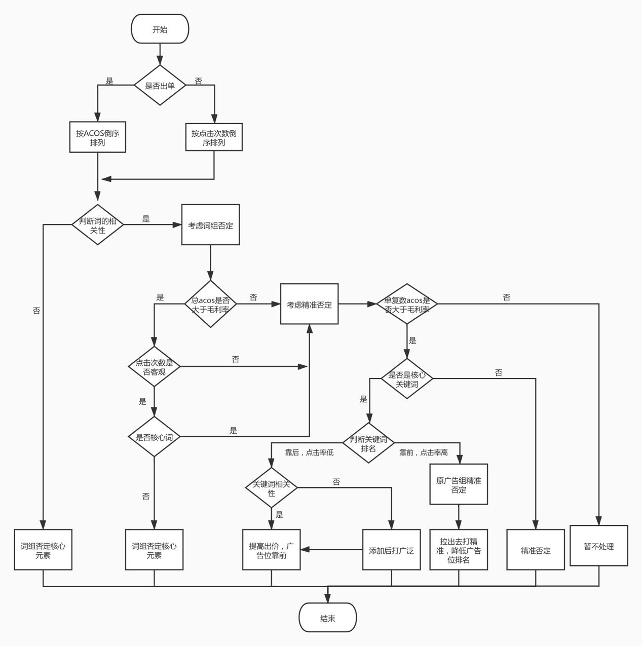
当我们投放一段时间广告活动后,我们可以*载下**广告搜索词报告,此时建议大家*载下**投放时间尽可能长的搜索词报告,投放时间太短的广告活动*载下**的搜索词报告数据不够多,不足以支撑数据。

当拿到买家搜索词报告后,请按以下流程图进行否定词选取和投放。还有不明白的地方,欢迎联系微信 38442610 进行详细咨询哈。

3. 注意:做了关键词否定后不是一劳永逸的,前期新品转化率差的阶段为了避免无效点击和曝光做了否定,把钱花在刀刃上。之后产品成长稳定了,可以逐渐尝试删除否定,让产品能匹配更多关联流量。

亚马逊广告关键词多少个合理,亚马逊广告运营小技巧分析

更多福利干货资料免费给哦

加她 加她 加她