
一、自感现象的分析思路
1.明确通过自感线圈的电流的变化情况(增大还是减小)。
2.判断自感电动势方向,电流增强时(如通电时),自感电动势方向与电流方向相反;电流减小时(如断电时),自感电动势方向与电流方向相同。
3.分析线圈中电流变化情况,电流增强时(如通电时),由于自感电动势方向与原电流方向相反,阻碍增加,电流逐渐增大;电流减小时(如断电时),由于自感电动势方向与原电流方向相同,阻碍减小,线圈中电流方向不变,电流逐渐减小。
4.明确电路中元件与自感线圈的连接方式,若元件与自感线圈串联,元件中的电流与线圈中电流有相同的变化规律;若元件与自感线圈并联,元件上的电压与线圈上的电压有相同的变化规律;若元件与自感线圈构成临时回路,元件成为自感线圈的临时外电路,元件中的电流大小与线圈中电流大小有相同的变化规律。
5.分析阻碍的结果,具体见下表

二、对通电自感和断电自感的理解
在处理通断电自感灯泡亮度变化问题时,不能一味套用结论,如通电时逐渐变亮,断电时逐渐变暗,或闪亮一下逐渐变暗,要具体问题具体分析,关键要搞清楚电路连接情况。
断电前,灯泡电流I1取决于灯泡上的电压和灯泡自身电阻,断电后,灯泡电流取决于线圈中的电流,若线圈中电流断电前为I2,断电后逐渐减小,灯泡中电流也由I2逐渐减小。所以,若I2≤I1,灯泡中电流由I2逐渐减小,灯泡逐渐变暗;若I2>I1,灯泡中电流先增大后减小,灯泡先亮一下后逐渐变暗。

【名师点睛】
1.电流减小时,自感线圈中电流大小一定小于原先所通电流大小,自感电动势可能大于原电源电动势。
2. 在电路断开时,自感线圈的自感电动势阻碍原电流的减小,此时自感线圈在电路中相当于一个电源,表现为两个方面:一是自感电动势所对应的电流方向与原电流方向一致;二是在断电瞬间,自感电动势所对应的电流大小与原电流的大小相等,以后在此电流基础上开始缓慢减小到零。关于自感的本质,可以理解为自感的结果使线圈中电流的变化延缓。
3. 磁场的能量
自感现象中的能量转化仍然遵循能量守恒定律,其能量转化过程是这样的:闭合开关时,电源克服自感的阻碍作用做功,把电能储存在线圈中,此时,电能变成了磁场能;断开开关时,储存在线圈中的磁场能释放出来转化成小灯泡的电能,该电能又通过发光、发热,转变成了光能和内能。
自感实验告诉我们:磁场具有能量,磁场能够储存能量。
【典例1】如图所示的电路中,电源电动势为E,内阻r不能忽略.R1和R2是两个定值电阻,L是一个自感系数较大,电阻可忽略的线圈.开关S原来是断开的,从闭合开关S到电路中电流达到稳定为止的时间内,通过R1的电流I1和通过R2的电流I2的变化情况是()

A.I1开始较大而后逐渐变小B.I1开始很小而后逐渐变大
C.I2开始很小而后逐渐变大D.I2开始较大而后逐渐变小
【审题指导】
(1) 电流变化时,电感线圈对电流的变化有阻碍作用。(2)电流稳定时,电感线圈相当于一段导线。
【典例2】(多选)如图甲、乙所示的电路中,电阻R和自感线圈L的电阻值都很小,且小于灯泡A的电阻,接通S,使电路达到稳定,灯泡A发光,则()

A.在电路甲中,断开S后,A将逐渐变暗
B.在电路甲中,断开S后,A将先变得更亮,然后才逐渐变暗
C.在电路乙中,断开S后,A将逐渐变暗
D.在电路乙中,断开S后,A将先变得更亮,然后才逐渐变暗
方法提炼
1.对自感现象“阻碍”作用的理解
(1)流过线圈的电流增加时,线圈中产生的自感电动势阻碍电流的增加,使其缓慢地增加;
(2)流过线圈的电流减小时,线圈中产生的自感电动势阻碍原电流的减小,使其缓慢地减小。
2.分析自感现象应注意
(1)通过自感线圈中的电流不能发生突变,即通电过程中,电流逐渐变大,断电过程中,电流逐渐变小,此时线圈可等效为“电源”,该“电源”与其他电路元件形成回路;
(2)断电自感现象中灯泡是否“闪亮”的判断:若断电后通过灯泡的电流比原来强,则灯泡先闪亮,再慢慢熄灭。
【典例3】某同学为了验证断电自感现象,自己找来带铁芯的线圈L,小灯泡A ,开关S和电池组E,用导线将它们连接成如图所示的电路。检查电路后,闭合开关S,小灯泡发光;再断开开关S,小灯泡仅有不显著的延时熄灭现象。虽经多次重复,仍未见老师演示时出现的小灯泡闪亮现象,他冥思苦想找不出原因。你认为最有可能造成小灯泡未闪亮的原因是()

A.电源的内阻较大 B.小灯泡电阻偏大 C.线圈电阻偏大 D.线圈的自感系数较大
【精选针对训练】
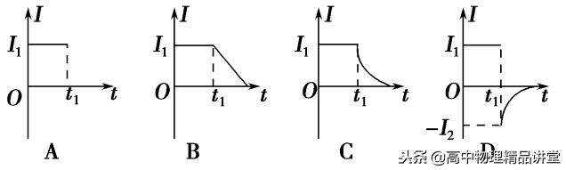
1. (多选)如图所示的电路中,L为一个自感系数很大、直流电阻不计的线圈,D1、D2是两个完全相同的灯泡,E是一内阻不计的电源。t=0时刻,闭合开关S,经过一段时间后,电路达到稳定,t1时刻断开开关S。I1、I2分别表示通过灯泡D1和D2的电流,规定图中箭头所示的方向为电流正方向,以下各图中能定性描述电流I随时间t变化关系的是()


2. 在如图所示的电路中,LA、LB为两个完全相同的灯泡,L是自感线圈,在S闭合状态下,LA、LB都能正常发光。现突然断开S,则()

A.LA、LB会突然亮一下再熄灭 B.LA会突然亮一下再熄灭,LB突然熄灭
C.LA、LB同时熄灭 D.LB先熄灭,LA后熄灭
3. 在如图14所示的电路中,A1、A2、A3为额定功率、额定电压均相同的三个灯泡,L为电阻不计、自感系数很大的线圈。则下列说法正确的是()

A.开关S闭合的瞬间,三个灯同时亮
B.开关S闭合的瞬间,A2、A3同时亮,A1逐渐变亮
C.开关S断开的瞬间,A2、A3同时熄灭,A1逐渐熄灭
D.开关S断开的瞬间,A3立即熄灭,A2闪亮一下再逐渐熄灭
4. 如图所示的电路,开关原先闭合,电路处于稳定状态,在某一时刻突然断开开关S,则通过电阻R1中的电流I1随时间变化的图线可能是下图中的()


5. 如下图所示,闭合电路中的螺线管可自由伸缩,螺线管有一定的长度,这时灯泡具有一定的亮度,若将一软铁棒从螺线管左边迅速插入螺线管内,则将看到()

A. 灯泡变暗 B.灯泡变亮 C.螺线管缩短 D.螺线管长度不变
7. 如图所示的电路中A1和A2是两个相同的小灯泡,L是一个自感系数相当大的线圈,其阻值与R相同。在开关S接通和断开时,灯泡A1和A2亮暗的顺序是()

A.接通时A1先达最亮,断开时A1后灭B.接通时A2先达最亮,断开时A1后灭
C.接通时A1先达最亮,断开时A1先灭D.接通时A2先达最亮,断开时A2先灭