1.开普勒第一定律(轨道定律)
内容:所有行星绕太阳运动的轨道都是椭圆,太阳处在椭圆的一个焦点上

否定了行星圆形轨道的说法,建立了正确的轨道理论,给出了太阳准确的位置。
2.开普勒第二定律(面积定律) 对任意一个行星来说,它与太阳的连线在相等的时间内扫过的面积相等

描述了行星在其轨道上运行时,线速度的大小不断变化。解决了行星绕太阳运动的速度大小问题
开普勒第三定律(周期定律)
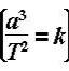
内容:所有行星轨道的半长轴的三次方跟它的公转周期的二次方的比都相等

值得注意的是:
(1)行星绕太阳运行的轨道严格来说不是圆而是椭圆,行星与太阳间的距离是不断变化的。不同行星轨道半长轴不同,即各行星的椭圆轨道不同,但太阳是所有椭圆轨道的共同焦点。
(2)同一行星,当其离太阳较近的时候,运行的速度较大,而离太阳较远的时候速度较小。近日点、远日点分别是行星距离太阳的最近点、最远点,同一行星在轨道上近日点速度最大,在轨道上远日点速度最小。

表明了行星公转周期与轨道半长轴间的关系,椭圆轨道半长轴越长的行星,其公转周期越长;反之,其公转周期越短
(3)开普勒行星运动定律不仅适用于行星绕太阳的运动,也适用于行星绕其他恒星的运动,还适用于卫星绕行星的运动。其中公式

对于同一中心天体,k的数值相同;对于不同的中心天体,k的数值不同。
