当今社会,图像生成和编辑技术正日益受到人们的关注。随着深度学习技术的不断提高,越来越多的基于深度学习的自动图像生成和编辑算法被开发出来,并且在各个领域得到了广泛的应用。本文将介绍基于深度学习的自动图像生成和编辑技术的原理、应用和未来发展前景。

一、图像生成技术
基于深度学习的图像生成技术主要分为两类:生成对抗网络(GANs)和变分自编码器(VAEs)。
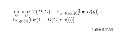
1.1 生成对抗网络 (GANs)
GANs是由Ian Goodfellow等人在2014年提出的,它通过训练一个生成器和一个判别器网络,使得生成器能够生成与真实图像相似的新图像。其中,生成器网络根据输入的潜在向量z生成一张图片,而判别器网络则用来评估生成器生成的图片是否能够通过识别器检测为真实的图片。因此,生成器需要生成尽可能逼真的图片来欺骗判别器,而判别器则需要尽可能准确地识别图片的真假。这样,两个网络就形成了一种对抗的局面,最终生成器的输出质量会逐渐提高,可以生成越来越真实的图像。
GANs的数学模型可以用以下公式表示:

其中,G是生成器,D是判别器。 表示真实数据分布,p_z表示噪声分布。目标是最大化判别器的正确率和最小化生成器生成的图片与真实图片之间的差距。
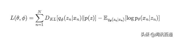
1.2 变分自编码器 (VAEs)
变分自编码器是一种利用神经网络在潜在空间中表达图像的方法。其基本思想是将输入图像编码成一个潜在向量,然后通过解码器将这个向量重新转化为图像。不同于GANs只能生成样本,VAEs可以从生成的样本中抽取高层特征,进而可应用于数据分类等任务上。
VAEs的数学模型如下:

其中, 和 分别表示网络的权重和偏置, 和 分别是编码器和解码器的概率分布, 表示KL散度。目标是最大化图像重建的预测精度,同时最小化潜在向量分布与先验分布之间的KL散度。

二、图像编辑技术
基于深度学习的自动图像编辑技术主要分为两类:GANs和VAEs。
2.1 GANs在图像编辑中的应用
生成对抗网络已经被广泛地应用于各种图像编辑任务中,如去雾、去水印、图像修复、超分辨率等。其中,最主要的方法是使用条件GANs(CGANs)。CGANs是指通过将输入的条件信息传递给生成器和判别器,来训练生成器以生成特定类型的图像。
下面以超分辨率为例,介绍CGANs的应用。
超分辨率是一种将低分辨率图像转换为高分辨率图像的技术。通过训练一个生成器网络和判别器网络,GANs可以生成高质量、高清晰度的超分辨率图像。其数学模型如下:

其中,y是低分辨率图像,x是高分辨率图像,z是噪声向量。目标是最小化判别器的损失和最大化生成器的损失,以提升高分辨率图像的质量。
2.2 VAEs在图像编辑中的应用
VAEs也可以用来实现图像编辑。通过操纵图片的潜在向量,可以改变图像的某个特定属性,如颜色、形状或纹理。
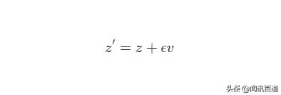
下面以修改颜色为例介绍VAEs在图像编辑中的应用。
首先,需要训练一个VAE模型来学习图像的潜在表示。然后,可以通过操纵潜在向量的特定维度来改变图像的颜色。例如,可以通过将潜在向量的第一维设置为不同的值来改变图像的红色通道。具体地,使用以下公式来计算新的潜在向量:

其中,ε 是一个小数量级的扰动,v是方向向量,控制颜色的改变。通过改变v的取值,可以实现对不同颜色通道的修改。
三、未来发展前景
基于深度学习的自动图像生成和编辑技术在未来有着广泛的应用前景。其对于图像分析、识别、处理和增强等任务具有非常重要的意义,在各个领域都可能会得到广泛的应用。例如,人脸识别、自动驾驶、智能医疗、游戏开发等都可以受益于这些技术的发展。
此外,基于深度学习的自动图像生成和编辑技术还可以与其他技术结合使用,如计算机视觉、自然语言生成等,从而进一步扩大其应用范围。因此,这些技术的未来发展前景非常广阔,相信在未来的研究中,它们将发挥越来越重要的作用。

四、结尾
随着深度学习技术的不断革新,基于深度学习的自动图像生成和编辑技术已经成为人工智能领域的一个重要分支。本文介绍了GANs和VAEs这两种主要的技术,并讨论了它们在图像生成和编辑中的应用。同时,我们也展望未来这些技术的发展前景,相信它们将会在各个领域发挥出越来越重要的作用。