涂料的涂布率是指单位重量的涂料可以涂刷的施工面积。对于用户来说,涂布率是计算涂料用量和成本的关键因素,是用户最关心的问题之一。
涂布率有两种,分别为理论涂布率和实际涂布率。
根据标准:EN ISO 23811
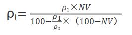
干膜密度的计算公式:

ρt干膜密度,g/ml;ρ1原漆密度,g/ml;ρ2涂料主溶剂的密度,g/ml;NV原漆质量固含,%;
理论涂布率计算公式:

St,m理论涂布率,m2/kg;ρt干膜密度,g/ml;NV原漆质量固含,%;td是干膜厚度,μm;
实际涂布率计算公式:
实际涂布率是用理论涂布率减去损耗的百分数,计算公式如下:
实际涂布率=理论涂布率(1-损耗%)
如果已经计算出理论涂布率,又能估算出涂料的损耗百分数,例如:某无机富锌底漆75μm的厚度,理论涂布率是8.4m2/kg,涂料损耗为40%,那么实际涂布率为:实际涂布率=理论涂布率(1-40%) =8.4 (1-40%) =5.04m2/kg。
实际上,这个损耗百分数是不确定的,因为实际施工中会受到多种因素的影响,比如施工方法,工作的技术,被涂物的形状,表面的粗糙程度,工作环境和漆膜的分布程度等。
以上就是涂料涂布率计算公式的相关介绍,希望对您有所帮助。