定义式

函数公式
倒数关系:
①

②

③

商数关系:
①

②

平方关系:
①

②

③

诱导公式
公式1:设

为任意角,终边相同的角的同一三角函数的值相等:

公式2:设

为任意角,

与

的三角函数值之间的关系:

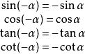
公式3:任意角

与

的三角函数值之间的关系:

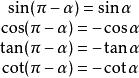
公式4:

与

的三角函数值之间的关系:

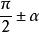
公式5:

与

的三角函数值之间的关系:

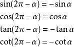
公式6:

及

与

的三角函数值之间的关系:

记背诀窍:奇变偶不变,符号看象限,即形如(2k+1)90°±α,则函数名称变为余名函数,正弦变余弦,余弦变正弦,正切变余切,余切变正切。形如2k×90°±α,则函数名称不变。
基本公式
【和差角公式】
◆ 二角和差公式


◆ 三角和公式

【和差化积公式】

口诀:
正加正,正在前,余加余,余并肩,
正减正,余在前,余减余,负正弦.
【积化和差公式】




【倍角公式】
◆ 二倍角公式

◆ 三倍角公式





◆ 四倍角公式
sin4a=-4*[cosa*sina*(2*sina^2-1)]
cos4a=1+(-8*cosa^2+8*cosa^4)
tan4a=(4*tana-4*tana^3)/(1-6*tana^2+tana^4)
◆ 五倍角公式



◆ 半角公式

(正负由

所在的象限决定)
◆ 万能公式

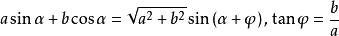
◆ 辅助角公式

◆ 余弦定理

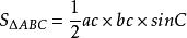
◆ 三角函数公式算面积
定理:在△ABC中,其面积就应该是底边对应的高的1/2,不妨设BC边对应的高是AD,那么△ABC的面积就是AD*BC*1/2。而AD是垂直于BC的,这样△ADC就是直角三角形了,显然

,由此可以得出,AD=ACsinC,将这个式子带回三角形的计算公式中就可以得到:

,同理,即可得出三角形的面积等于两邻边及其夹角正弦值的乘积的一半。
◆ 公式:
若△ABC中角A,B,C所对的三边是a,b,c:
则S△ABC=1/2absinC=1/2bcsinA=1/2acsinB.
◆ 反三角函数
反三角函数主要是三个:
y=arcsin(x),定义域[-1,1] ,值域[-π/2,π/2]
y=arccos(x),定义域[-1,1] , 值域[0,π]
y=arctan(x),定义域(-∞,+∞),值域(-π/2,π/2)
sinarcsin(x)=x,定义域[-1,1],值域 【-π/2,π/2】
◆ 反三角函数公式:
arcsin(-x)=-arcsinx
arccos(-x)=π-arccosx
arctan(-x)=-arctanx
arccot(-x)=π-arccotx
arcsinx+arccosx=π/2=arctanx+arccotx sin(arcsinx)=x=cos(arccosx)=tan(arctanx)=cot(arccotx)
当x∈〔—π/2,π/2〕时,有arcsin(sinx)=x
当x∈〔0,π〕,arccos(cosx)=x
x∈(—π/2,π/2),arctan(tanx)=x
x∈(0,π),arccot(cotx)=x x〉0,arctanx=arctan1/x,arccotx类似
若(arctanx+arctany)∈(—π/2,π/2),
则arctanx+arctany=arctan(x+y/1-xy)
内容来源于网络,如有侵权请联系删除