八年级我们开始学习二次根式,二次根式是初中学习当中的一个较难的知识点,极客数学帮今天为大家整理了关于二次根式的知识点,希望能帮助大家掌握二次根式。

知识点一:二次根式的概念
形如√a(a≥0)的式子叫做二次根式。
注:在二次根式中,被开放数可以是数,也可以是单项式、多项式、分式等代数式,但必须注意:因为负数没有平方根,所以a≥0是√a是为二次根式的前提条件,
如√5,√(x2+1),√(x-1),(x≥1)等是二次根式,而√-2,√(-x2-7)等都不是二次根式。
知识点二:二次根式√a(a≥0)的非负性
√a(a≥0)表示a的算术平方根,也就是说,√a(a≥0)是一个非负数,即√a≥0(a≥0)
注:因为二次根式√a(a≥0)表示a的算术平方根,而正数的算术平方根是正数,0的算术平方根是0,所以非负数(a≥0)的算术平方根是非负数,即√a≥0(a≥0),这个性质也就是非负数的算术平方根的性质,和绝对值、偶次方类似。这个性质在解答题目时应用较多,如若√a+√b=0,则a=0,b=0;若√a+∣b∣=0,则a=0,b=0;若√a+b2,则a=0,b=0。
知识点三:二次根式(√a)2的性质
(√a)2=a(a≥0)文字语言叙述为:一个非负数的算术平方根的平方等于这个非负数。
知识点四:二次根式的性质
╱a(a≥0)
√(a2)=∣a∣=
╲-a(a<0)
知识点五:取值范围
1.二次根式有意义的条件:由二次根式的意义可知,当a≧0时,√a有意义,是二次根式,所以要使二次根式有意义,只要使被开方数大于或等于零即可。
2.二次根式无意义的条件:因负数没有算术平方根,所以当a﹤0时,√a没有意义。
知识点六:(√a)2与√(a2)的异同点
1、不同点:(√a)2与√(a2)表示的意义是不同的,(√a)2表示一个正数a的算术平方根的平方,
而√(a2)表示一个实数a的平方的算术平方根;在(√a)2中a≥0,
而√(a2)中a可以是正实数,0,负实数。但(√a)2与√(a2)都是非负数,即(√a)2≥0与
√(a2)≥0。因而它的运算的结果是有差别的√(a2)=a,(a≥0),,
╱a(a≥0)
而√(a2)=∣a∣=
╲-a(a<0)
2、相同点:当被开方数都是非负数,即a≥0时 (√a)2 =√(a2),a<0时, (√a)2 无意义
√(a2)=-a;
知识点七:二次根式的运算
(1)因式的外移和内移:如果被开方数中有的因式能够开得尽方,那么,就可以用它的算术根代替而移到根号外面;如果被开方数是代数和的形式,那么先分解因式,变形为积的形式,再移因式到根号外面,反之也可以将根号外面的正因式平方后移到根号里面.
(2)二次根式的加减法:先把二次根式化成最简二次根式再合并同类二次根式.
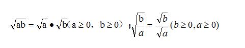
(3)二次根式的乘除法:二次根式相乘(除),将被开方数相乘(除),所得的积(商)仍作积(商)的被开方数并将运算结果化为最简二次根式.

(4)有理数的加法交换律、结合律,乘法交换律及结合律,乘法对加法的分配律以及多项式的乘法公式,都适用于二次根式的运算.
看完了冠以二次根式的知识点,一起来做一下关于二次根式的练习题吧,根据练习结果,总结哪些知识点是自己没有掌握的。




