胡不归问题,是一个非常古老的数学问题,曾经是历史上非常著名的“难题”。近年来陆续成为各地中考及各类模拟题的小热门考点,学生感觉其构造性解法有超级难度,不易把握,感觉十分困惑。今天给大家普及讲解一下,期待你有所掌握 。
何谓“胡不归”?
话说,从前有一小伙子外出务工,某天不幸得知老父亲病危的消息,便立即赶路回家.小伙子略懂数学常识,考虑到“两点之间线段最短”的知识,就走布满沙石的路直线路径,而忽视了走折线虽然路程多但速度快的实际情况,当赶到家时,老人刚咽了气,小伙子追悔莫及失声痛哭.邻居告诉小伙子说,老人弥留之际不断念叨着“胡不归?胡不归?…”
这个问题引起了人们的思索,小伙子能否节省路上时间提前到家?如果可以,他应该选择一条怎样的路线呢?这就是流传千百年的“胡不归问题。

“胡不归”情境剖析
我们将上面的故事用数学语言来表达:如图,A是出发点,B是目的地,直线AC是一条驿道,而驿道靠目的地一侧全是砂土,为了选择合适的路线,根据不同路面速度不同(驿道速度为米/秒,砂土速度为米/秒,),小伙子如何安排路线才能在最短时间内到达目的地?



胡不归”解答思路剖析
“胡不归”问题是“PA+k•PB”(k取不为1的正数)型的最值问题中的一种,当动点P在直线上运动时,就属于“胡不归”问题,解答过程中,需要利用通过构造(往往使用锐角三角函数或相似)使得k•PB转换成某条特定线段(如PC),则可把问题转化成PA+PC的将军饮马问题。

上面故事中就是将BD+kAD转化成了BD+DE,从而使得问题明了化。

经典考题
1.(2019•长沙中考题)如图,△ABC中,AB=AC=10,tanA=2,BE⊥AC于点E,D是线段BE上的一个动点,则CD+√5/5BD的最小值是( )

A.2√5B.4√5C.5√3D.10
解析:本题有已知tan4=2,联想到1、2、√5这组常见构成直角三角形的数据;CD+√5/5BD符合“PA+k•PB”类题型,且动点D在直线BE上,所以想到“胡不归”模型;最值往往在三点共线时取得。

2.如图,抛物线y=x²﹣2x﹣3与x轴交于A,B两点,过点B的直线与抛物线在第二象限交于点C,且tan∠CBA=4/3,点D为线段BC上一点(不含端点).现有一动点P从点A出发,沿线段AD以每秒1个单位长度的速度运动到D点,再沿线段DC以每秒5/4个单位长度的速度运动到C点,则动点P运动到C点的最短时间需( )秒.

A.7B.64/9C.10D.75/8
【分析】由题意,动点P运动的路径为折线AP+PC,运动时间:t=AP+4/5PC,作辅助线,将AP+4/5PC转化为AP+PG;再由垂线段最短,得到垂线段AH与直线BC的交点,即为所求的P点.
【解答】:过点C作CK∥x轴,则∠KDF=∠DBA.过点P作PG⊥CK于点G,作AH⊥CK于H,直线BC交y轴于M.

∵A(﹣1,0),B(3,0).∴OB=3,
∵tan∠ABC=4/3,∴OM=4,

由题意,动点P运动的路径为折线AP+PC,运动时间:t=AP+4/5PC,
∵CG∥AB,∴∠GCP=∠ABC,∴tan∠GCP=tan∠ABC,∴PG=4/5PC,
∴t=AP+PG,即运动的时间值等于折线AP+PG的长度值.
由垂线段最短可知,折线AP+PG的长度的最小值为CK与x轴之间的垂线段.
∴则动点P运动到C点的最短时间需64/9s,故选:B.
3.如图1,在平面直角坐标系中将y=2x+1向下平移3个单位长度得到直线l₁,直线l₁与x轴交于点C;直线l₂:y=x+2与x轴、y轴交于A、B两点,且与直线l1交于点D.
(1)填空:点A的坐标为 ,点B的坐标为 ;
(2)直线l₁的表达式为 ;
(3)在直线l₁上是否存在点E,使S△AOE=2S△ABO?若存在,则求出点E的坐标;若不存在,请说明理由.
(4)如图2,点P为线段AD上一点(不含端点),连接CP,一动点H从C出发,沿线段CP以每秒1个单位的速度运动到点P,再沿线段PD以每秒√2个单位的速度运动到点D后停止,求点H在整个运动过程中所用时间最少时点P的坐标.

【解答】:(1)直线l₂:y=x+2,令y=0,则x=﹣2,令y=0,则x=2,
故答案为(﹣2,0)、(0,2);
(2)y=2x+1向下平移3个单位长度得到直线l₁,则直线l₁的表达式为:y=2x﹣2,故:答案为:y=2x﹣2;

则点E的坐标为(3,4)或(﹣1,﹣4);
(4)过点P、C分别作y轴的平行线,分别交过点D作x轴平行线于点H、H′,H′C交BD于点P′,

直线l2:y=x+2,则∠ABO=45°=∠HBD,PH=√2/2PD,
点H在整个运动过程中所用时间=PC/1+PD/√2=PH+PC,
当C、P、H在一条直线上时,PH+PC最小,即为CH′=6,点P坐标(1,3),
故:点H在整个运动过程中所用最少时间为6秒,此时点P的坐标(1,3).

4.(2019•重庆中考题)如图,在平面直角坐标系中,抛物线y=x²﹣2x﹣3与x轴交于点A,B(点A在点B的左侧),交y轴于点C,点D为抛物线的顶点,对称轴与x轴交于点E.
(1)连结BD,点M是线段BD上一动点(点M不与端点B,D重合),过点M作MN⊥BD,交抛物线于点N(点N在对称轴的右侧),过点N作NH⊥x轴,垂足为H,交BD于点F,点P是线段OC上一动点,当MN取得最大值时,求HF+FP+1/3PC的最小值;
(2)在(1)中,当MN取得最大值,HF+FP+1/3PC取得最小值时,把点P向上平移√2/2个单位得到点Q,连结AQ,把△AOQ绕点O顺时针旋转一定的角度α(0°<α<360°),得到△A′OQ′,其中边A′Q′交坐标轴于点G.在旋转过程中,是否存在一点G,使得∠Q'=∠Q'OG?若存在,请直接写出所有满足条件的点Q′的坐标;若不存在,请说明理由.



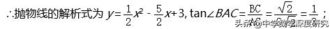
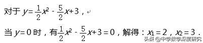
5.(2019•恩施州中考题)如图,抛物线y=ax²﹣2ax+c的图象经过点C(0,﹣2),顶点D的坐标为(1,﹣8/3),与x轴交于A、B两点.
(1)求抛物线的解析式.
(2)连接AC,E为直线AC上一点,当△AOC∽△AEB时,求点E的坐标和AE/AB的值.
(3)点F(0,y)是y轴上一动点,当y为何值时,√5/5FC+BF的值最小.并求出这个最小值.
(4)点C关于x轴的对称点为H,当√5/5FC+BF取最小值时,在抛物线的对称轴上是否存在点Q,使△QHF是直角三角形?若存在,请求出点Q的坐标;若不存在,请说明理由.


6.(2019•天津中考题)已知抛物线y=x²﹣bx+c(b,c为常数,b>0)经过点A(﹣1,0),点M(m,0)是x轴正半轴上的动点.
(Ⅰ)当b=2时,求抛物线的顶点坐标;
(Ⅱ)点D(b,yD)在抛物线上,当AM=AD,m=5时,求b的值;
(Ⅲ)点Q(b+ 1/2,yQ)在抛物线上,当√2AM+2QM的最小值为33√2/4时,求b的值.
【解答】:(Ⅰ)∵抛物线y=x²﹣bx+c经过点A(﹣1,0),
∴1+b+c=0,即c=﹣b﹣1,
当b=2时,y=x²﹣2x﹣3=(x﹣1)2﹣4,
∴抛物线的顶点坐标为(1,﹣4);
(Ⅱ)由(Ⅰ)知,抛物线的解析式为y=x²﹣bx﹣b﹣1,
∵点D(b,yD)在抛物线y=x²﹣bx﹣b﹣1上,
∴yD=b²﹣b•b﹣b﹣1=﹣b﹣1,
由b>0,得b>b/2>0,﹣b﹣1<0,
∴点D(b,﹣b﹣1)在第四象限,且在抛物线对称轴x=b/2的右侧,
如图1,过点D作DE⊥x轴,垂足为E,则点E(b,0),
∴AE=b+1,DE=b+1,得AE=DE,
∴在Rt△ADE中,∠ADE=∠DAE=45°,∴AD=√2AE,
由已知AM=AD,m=5,
∴5﹣(﹣1)=√2(b+1),∴b=3√2﹣1;
第(3)设问的背景是“胡不归”问题,在这个知识背景下,在难度上也“发挥”了作用。该问题的设置不是求最值,而是用最值去求相应的变化参数值。学生需要想清楚何时取得最值,然后再利用最值结合方程求解,对学生能力要求比较高。
方法一:
问题中出现的√2AM+2QM表面来看与胡不归不太一样,但当我们提一个2倍出来后可得到:2(√2/2AM+QM),括号里面的式子就是胡不归的标准形式了。此处要注意胡不归问题的标准形式PA+kPB”中的k指的是一个三角形内角的正弦值,即-1<k<1,所以此处不能提√2,只能提2出去。

方法二:按照上面的思路,需要去求取得最值时点M的坐标,过程比较麻烦。因为33√2/8这个数据指的其实是点Q到直线1的距离,或者说是l平移了33√2/8个单位,经过点Q,那么我们可以考虑求出平移后的直线解析式,然后把点Q坐标代入,也可求出b的值。


7.(2019•张家界中考题)已知抛物线y=ax²+bx+c(a≠0)过点A(1,0),B(3,0)两点,与y轴交于点C,OC=3.
(1)求抛物线的解析式及顶点D的坐标;
(2)过点A作AM⊥BC,垂足为M,求证:四边形ADBM为正方形;
(3)点P为抛物线在直线BC下方图形上的一动点,当△PBC面积最大时,求点P的坐标;
(4)若点Q为线段OC上的一动点,问:AQ+1/2QC是否存在最小值?若存在,求岀这个最小值;若不存在,请说明理由.

【分析】本题是二次函数综合运用,涉及到一次函数、特殊四边形性质、图形的面积计算等,其中(4),过点C作与y轴夹角为30°的直线CH,则HQ= CQ,是本题的难点.
【解答】:(1)函数的表达式为:y=a(x﹣1)(x﹣3)=a(x²﹣4x+3),
即:3a=3,解得:a=1,
故抛物线的表达式为:y=x2﹣4x+3,则顶点D(2,﹣1);
(2)∵OB=OC=3,∴∠OBC=∠OCB=45°,
AM=MB=ABsin45°=√2=AD=BD,
则四边形ADBM为菱形,而∠AMB=90°,
∴四边形ADBM为正方形;
(3)将点B、C的坐标代入一次函数表达式:y=mx+n并解得:
直线BC的表达式为:y=﹣x+3,
过点P作y轴的平行线交BC于点H,

(4)存在,理由:
如上图,过点C作与y轴夹角为30°的直线CH,过点A作AH⊥CH,垂足为H,

8.(2019•绵阳中考题)在平面直角坐标系中,将二次函数y=ax²(a>0)的图象向右平移1个单位,再向下平移2个单位,得到如图所示的抛物线,该抛物线与x轴交于点A、B(点A在点B的左侧),OA=1,经过点A的一次函数y=kx+b(k≠0)的图象与y轴正半轴交于点C,且与抛物线的另一个交点为D,△ABD的面积为5.
(1)求抛物线和一次函数的解析式;
(2)抛物线上的动点E在一次函数的图象下方,求△ACE面积的最大值,并求出此时点E的坐标;
(3)若点P为x轴上任意一点,在(2)的结论下,求PE+3/5PA的最小值.

【解析】主要考查了二次函数的解析式的求法和与几何图形结合的综合能力的培养.要会利用数形结合的思想把代数和几何图形结合起来,利用点的坐标的意义表示线段的长度,从而求出线段之间的关系,解决相关问题
(1)先写出平移后的抛物线解析式,经过点A(﹣1,0),可求得a的值,由△ABD的面积为5可求出点D的纵坐标,代入抛物线解析式求出横坐标,由A、D的坐标可求出一次函数解析式;

(2)作EM∥y轴交AD于M,如图,利用三角形面积公式,由S△ACE=S△AME﹣S△CME构建二次函数,利用二次函数的性质即可解决问题;

(3)作E关于x轴的对称点F,过点F作FH⊥AE于点H,交x轴于点P,则∠BAE=∠HAP=∠HFE,利用锐角三角函数的定义可得出EP+3/5AP=FP+HP,此时FH最小,求出最小值即可。


9.(2015•日照中考题)如图,抛物线y=1/2x²+mx+n与直线y=﹣1/2x+3交于A,B两点,交x轴于D,C两点,连接AC,BC,已知A(0,3),C(3,0).
(Ⅰ)求抛物线的解析式和tan∠BAC的值;
(Ⅱ)在(Ⅰ)条件下:
(1)P为y轴右侧抛物线上一动点,连接PA,过点P作PQ⊥PA交y轴于点Q,问:是否存在点P使得以A,P,Q为顶点的三角形与△ACB相似?若存在,请求出所有符合条件的点P的坐标;若不存在,请说明理由.
(2)设E为线段AC上一点(不含端点),连接DE,一动点M从点D出发,沿线段DE以每秒一个单位速度运动到E点,再沿线段EA以每秒√2个单位的速度运动到A后停止,当点E的坐标是多少时,点M在整个运动中用时最少?

【解析】(Ⅰ)只需把A、C两点的坐标代入y=1/2x²+mx+n,就可得到抛物线的解析式,然后求出直线AB与抛物线的交点B的坐标,利用勾股定理逆定理判断出三角形ABC是直角三角形,从而得到∠ACB=90°,然后根据三角函数的定义就可求出tan∠BAC的值;


(Ⅱ)(1)过点P作PG⊥y轴于G,则∠PGA=90°.设点P的横坐标为x,由P在y轴右侧可得x>0,则PG=x,易得∠APQ=∠ACB=90°.若点G在点A的下方,①当∠PAQ=∠CAB时,△PAQ∽△CAB.此时可证得△PGA∽△BCA,根据相似三角形的性质可得AG=3PG=3x.则有P(x,3﹣3x),然后把P(x,3﹣3x)代入抛物线的解析式,就可求出点P的坐标②当∠PAQ=∠CBA时,△PAQ∽△CBA,同理,可求出点P的坐标;若点G在点A的上方,同理,可求出点P的坐标;
∴满足题意的点P的坐标为(11,36)、(13/3,14/9)、(17/3,44/9);

(2)方法一:
过点E作EN⊥y轴于N,如图3.

作点D关于AC的对称点D′,连接D′E,
则有D′E=DE,D′C=DC,∠D′CA=∠DCA=45°,
∴∠D′CD=90°,DE+EN=D′E+EN.
根据两点之间线段最短可得:
当D′、E、N三点共线时,DE+EN=D′E+EN最小.
此时,∵∠D′CD=∠D′NO=∠NOC=90°,
∴四边形OCD′N是矩形,
∴ND′=OC=3,ON=D′C=DC.

方法二:
作点D关于AC的对称点D′,DD′交AC于点M,显然DE=D′E,
作D′N⊥y轴,垂足为N,交直线AC于点E,如图4,

方法三:如图,过A作射线AF∥x轴,过D作射线DF∥y轴,DF与AC交于点E.
∵A(0,3),C(3,0),∴lAC:y=﹣x+3.
∵OA=OC,∠AOC=90°,∴∠ACO=45°,


10.【问题提出】如图①,已知海岛A到海岸公路BD的距离为AB的长度,C为公路BD上的酒店,从海岛A到酒店C,先乘船到登陆点D,船速为a,再乘汽车,车速为船速的n倍,点D选在何处时,所用时间最短?

(2)请在图②中画出所用时间最短的登陆点D′.
【问题解决】(3)请你仿照“特例分析”中的相关步骤,解决图①中的问题.(写出具体方案,如相关图形呈现、图形中角所满足的条件、作图的方法等)
【综合运用】(4)如图③,抛物线y=﹣3/4x²+9/4x+3与x轴分别交于A,B两点,与y轴交于点C,E为OB中点,设F为线段BC上一点(不含端点),连接EF.一动点P从E出发,沿线段EF以每秒1个单位的速度运动到F,再沿着线段FC以每秒5/3个单位的速度运动到C后停止.若点P在整个运动过程中用时最少,请求出最少时间和此时点F的坐标.

【解析】:(1)如图①,∵DE⊥CM,∴∠DEC=90°,
在Rt△BCM中,DE=CDsin30°=1/2CD;

(2)如图①过点A作AE′⊥CM交BC于点D′,则点D′即为所用时间最短的登陆点;
(3)如图②,过点C作射线CM,使得sin∠BCM=1/n,
过点A作AE⊥CM,垂足为E交BC于点D,则点D为为所用时间最短的登陆点;

当H、F、E三点共线时,EF+FH=OC=3,即:最小时间为3秒.
方法总结
现在,我们来理一下思路,一起总结一下步骤和过程
胡不归模型的特点:
1.两定点一动点;
2.动点运动轨迹为一条直线;
3.求其中一条线段含系数k的线段和的最小值(0<k<1).
常见类型:
1. 单动点胡不归问题,化为三点共线,点到直线的距离最智短;
2. 双动点胡不归问题,化为将军饮马问题。先作一动点关于另一动点所在直线的对称点,角,化为点到直线的距离最短;
3. 两种情况:由特定的线段,作出图后人为的制造“权”,一种是由“权”在在不加权线段的另一侧构造特殊角.
问题简化,实质:已知A、B是定点,P是动点.
当P的轨迹是直线时,PA+kPB型属于“胡不归”问题;
(1)k=1时,PA+PB就是一般的“将军饮马”问题,利用对称解决;
(2)k≠1时,是“胡不归”问题.

核心思想:构造含特殊角度(30°,45°,60°)的直角三角形,将“kPA”转化成“sinθ•PA”的形式。