高中数列求和的方法有很多种, 比如公式法、错位相减法、裂项相消法、倒序相加法、数学归纳法、自然数方幂和公式法等。 但是每种方法的 适用情况又各不相同。因此,我们必须认真掌握好每一种方法及其适用情况,才能在解题中灵活应对。
现在,我们就来对这几种方法及其适用情况进行详细介绍,而部分求和方法又有一些公式需要我们熟悉并记忆。希望通过本篇你能熟练掌握数列的常用求和方法。
为了培养孩子的数学学习兴趣,可以让孩子读读这本书:

数学
一、公式法 :适用于最基本的等差、等比数列或可转化为等差、等比数列的数列。公式法是最基本最重要的方法,必须掌握。
例1、 已知{ an }是等差数列, Sn 为其前 n 项和, n ∈N*.若 a 3=16, S 20=20,则 S 10的值为________.

二、错位相减法 :适用于{anbn}其中{an}是等差数列,而{bn}是等比数列。

三、裂项相消法 :




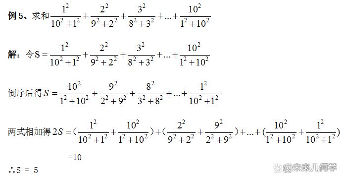
四、倒序相加法 : 类似于等差数列前n项和公式的推导方法. 一般来说,数列 前n项具有与两端等距离项的和相等的数列,可用这种方法求和。


五、 数学归纳法: 数学归纳法是证明与自然数n有关的数学命题或猜想的一种常用的推理方法。
例7、 是否存在常数a,b,c,使得等式:

于是 当n=k+1时等式也成立。
故 当a=3, b=11, c=10时,题设的等式对一切的自然数n都成立。
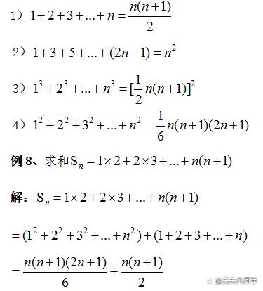
六、自然数方幂和公式法

好了,今天的内容就分享到这里,如果您有疑问,可以在文章下方留言,欢迎继续关注,精彩还将继续!