两个复数的乘积:

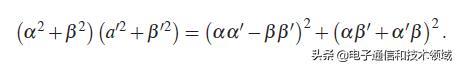
两个实数平方和乘积:



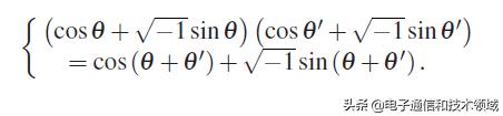
复数之间的等价变换:



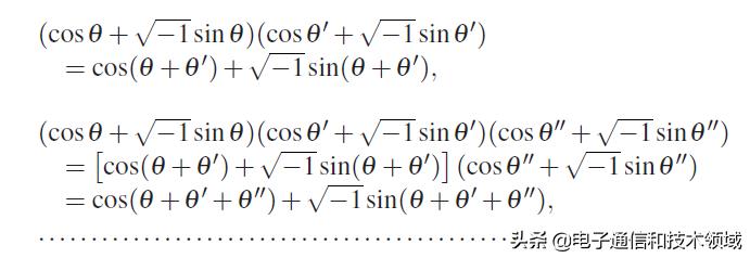
两个三角函数复数乘积:


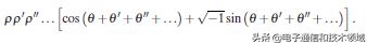
三个角的正弦和余弦函数:

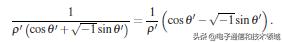
三角函数复数的除法:


正幂的三角函数复数运算:


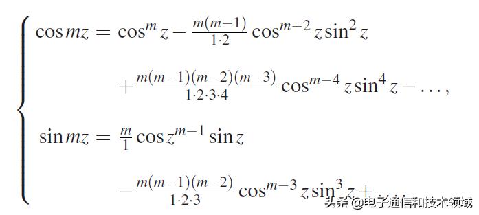
二项式定理展开的三角函数:


负幂的三角函数复数运算:


含旋转半径的复数运算:




含旋转半径的正幂和负幂运算:




两个复数的乘积:

两个实数平方和乘积:



复数之间的等价变换:



两个三角函数复数乘积:


三个角的正弦和余弦函数:

三角函数复数的除法:


正幂的三角函数复数运算:


二项式定理展开的三角函数:


负幂的三角函数复数运算:


含旋转半径的复数运算:




含旋转半径的正幂和负幂运算:



