大家好,我是徽乡小居。在这里分享七上期末复习资料。资料分两个版本,学生版本和教师版本。学生的没有习题解析和答案,老师的有。资料编辑了每一章的知识网络导图,知识点和精选习题(习题不多,高效练习)。这是我教学中给学生用的资料,效果不错,分享给大家。习题根据学生的情况,收录有所变动。知识导图在自己复习时还可以扩展延伸。
七上期末总复习
一、二章复习
【知识网络】

【要点梳理】
要点一、有理数的相关概念
1.有理数的分类:
(1)按定义分类: (2)按性质分类:

2.数轴:规定了原点、正方向和单位长度的直线.
3.相反数:只有符号不同的两个数互称为相反数,0的相反数是0.
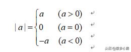
4.绝对值:
(1)代数意义:一个正数的绝对值是它本身;一个负数的绝对值是它的相反数;0的绝对值是0. 数a的绝对值记作

(2)几何意义:一个数a的绝对值就是数轴上表示数a的点与原点的距离.
要点二、有理数的运算
1 .法则:
(1)加法法则:①同号两数相加,取相同的符号,并把绝对值相加.②绝对值不相等的异号两数相加,取绝对值较大的加数的符号,并用较大的绝对值减去较小的绝对值.③一个数同0相加,仍得这个数.
(2)减法法则:减去一个数,等于加这个数的相反数.即a-b=a+(-b) .
(3)乘法法则:①两数相乘,同号得正,异号得负,并把绝对值相乘.②任何数同0相乘,都得0.
(4)除法法则:除以一个不等于0的数,等于乘这个数的倒数.即a÷b=a·
(b≠0) .
(5)乘方运算的符号法则:①负数的奇次幂是负数,负数的偶次幂是正数;②正数的任何次幂都是正数,0的任何非零次幂都是0.
(6)有理数的混合运算顺序:①先乘方,再乘除,最后加减;②同级运算,从左到右进行;③如有括号,先做括号内的运算,按小括号、中括号、大括号依次进行.
2.运算律:
(1)交换律: ① 加法交换律:a+b=b+a; ②乘法交换律:ab=ba;
(2)结合律: ①加法结合律: (a+b)+c=a+(b+c); ②乘法结合律:(ab)c=a(bc)
(3)分配律:a(b+c)=ab+ac
要点三、有理数的大小比较
比较大小常用的方法有:(1)数轴比较法;(2)法则比较法:正数大于0,0大于负数,正数大于负数;两个负数,绝对值大的反而小;(3) 作差比较法.(4)作商比较法;(5)倒数比较法.
要点四、科学记数法、近似数及精确度
1.科学记数法:把一个大于10的数表示成的形式(其中是正整数),此种记法叫做科学记数法.
2.近似数:接近准确数而不等于准确数的数,叫做这个精确数的近似数或近似值.如长江的长约为6300㎞,这里的6300㎞就是近似数.
3.精确度:一个近似数四舍五入到哪一位,就称这个数精确到哪一位,精确到的这一位也叫做这个近似数的精确度.
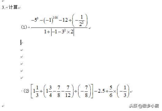
习题讲练
1.若一个有理数的:(1)相反数;(2)倒数;(3)绝对值;(4)平方;(5)立方,等于它本身.则这个数分别为(1)________;(2)________;(3)________;(4)________;(5)________.
2.已知x与y互为相反数,m与n互为倒数,|x+y |+(a-1)2=0,求a2-(x+y+mn)a+(x+y)2009+(-mn)2010的值.


5.一个跳蚤在一条直线上,从O点开始,第1次向右跳1个单位,紧接着第2次向左跳2个单位,第3次向右跳3个单位,第4次向左跳4个单位...依此规律跳下去,当它跳第100次落下时,求落点处离O点的距离(用单位表示).


第三章复习
【知识网络】

【要点梳理】
要点一:平方根和立方根

要点二:实数
有理数和无理数统称为实数.
1.实数的分类
按定义分:
按与0的大小关系分:
2.实数与数轴上的点一 一对应.
数轴上的任何一个点都对应一个实数,反之任何一个实数都能在数轴上找到一个点与之对应.
3.实数的三个非负性及性质:
在实数范围内,正数和零统称为非负数。我们已经学习过的非负数有如下三种形式:
(1)任何一个实数的绝对值是非负数,即|a|≥0;
(2)任何一个实数的平方是非负数,即a2≥0;
(3)任何非负数的算术平方根是非负数。
非负数具有以下性质:
(1)非负数有最小值零;
(2)有限个非负数之和仍是非负数;
(3)几个非负数之和等于0,则每个非负数都等于0.
4.实数的运算:
数a的相反数是-a;一个正实数的绝对值是它本身;一个负实数的绝对值是它的相反数;0的绝对值是0.
有理数的运算法则和运算律在实数范围内仍然成立.实数混合运算的运算顺序:先乘方、开方、再乘除,最后算加减.同级运算按从左到右顺序进行,有括号先算括号里.
5.实数的大小的比较:
有理数大小的比较法则在实数范围内仍然成立.
法则1. 实数和数轴上的点一一对应,在数轴上表示的两个数,右边的数总比左边的数大;
法则2.正数大于0,0大于负数,正数大于一切负数,两个负数比较,绝对值大的反而小;
法则3. 两个数比较大小常见的方法有:求差法,求商法,倒数法,估算法,平方法.
【习题讲练】


第四章复习
【知识网络】

【要点梳理】
要点一、整式的相关概念
1.单项式:由数或字母的积组成的代数式叫做单项式,单独的一个数或一个字母也是单项式.
2.多项式:几个单项式的和叫做多项式.在多项式中,每个单项式叫做多项式的项.
3. 多项式的降幂与升幂排列:
把一个多项式按某一个字母的指数从大到小的顺序排列起来,叫做把这个多项式按这个字母降幂排列.另外,把一个多项式按某一个字母的指数从小到大的顺序排列起来,叫做把这个多项式按这个字母升幂排列.
4.整式:单项式和多项式统称为整式.
要点二、整式的加减
1.同类项:所含字母相同,并且相同字母的指数也相同的项叫做同类项.所有的常数项都是同类项.
2.合并同类项:把多项式中的同类项合并成一项,叫做合并同类项.
3.去括号法则:括号前面是“+”,把括号和它前面的“+”去掉后,原括号里各项的符号都不改变;括号前面是“-”,把括号和它前面的“-”号去掉后,原括号里各项的符号都要改变.
4.添括号法则:添括号后,括号前面是“+”,括号内各项的符号都不改变;添括号后,括号前面是“-”,括号内各项的符号都要改变.
5.整式的加减运算法则:几个整式相加减,通常用括号把每一个整式括起来,再用加、减号连接,然后去括号,合并同类项.
【习题讲练】



第五章复习
【知识网络】

【要点梳理】
知识点一、一元一次方程的概念
1.方程:含有未知数的等式叫做方程.
2.一元一次方程:只含有一个未知数(元),未知数的次数都是1,这样的方程叫做一元一次方程.
3.方程的解:使方程的左、右两边相等的未知数的值叫做这个方程的解.
4.解方程:求方程的解的过程叫做解方程.
知识点二、等式的性质与去括号法则
1.等式的性质:
等式的性质1:等式两边加(或减)同一个数(或式子),结果仍相等.
等式的性质2:等式两边乘同一个数,或除以同一个不为0的数,结果仍相等.
2.合并法则:合并时,把系数相加(减)作为结果的系数,字母和字母的指数保持不变.
3.去括号法则:
(1)括号外的因数是正数,去括号后各项的符号与原括号内相应各项的符号相同.
(2)括号外的因数是负数,去括号后各项的符号与原括号内相应各项的符号相反.
知识点三、一元一次方程的解法
解一元一次方程的一般步骤:
(1)去分母:在方程两边同乘以各分母的最小公倍数.
(2)去括号:依据乘法分配律和去括号法则,先去小括号,再去中括号,最后去大括号.
(3)移项:把含有未知数的项移到方程一边,常数项移到方程另一边.
(4)合并:逆用乘法分配律,分别合并含有未知数的项及常数项,把方程化为ax=b(a≠0)的形式.
(5)系数化为1:方程两边同除以未知数的系数得到方程的解
(a≠0).
(6)检验:把方程的解代入原方程,若方程左右两边的值相等,则是方程的解;若方程左右两边的值不相等,则不是方程的解.
知识点四、用一元一次方程解决实际问题的常见类型
1.行程问题:路程=速度×时间
2.和差倍分问题:增长量=原有量×增长率
3.利润问题:商品利润=商品售价-商品进价
4.工程问题:工作量=工作效率×工作时间,各部分劳动量之和=总量
5.银行存*款贷**问题:本息和=本金+利息,利息=本金×利率×期数
6.数字问题:多位数的表示方法:
【习题讲练】


5.某校七年级社会实践小组去商场调查商品销售情况,了解到该商场以每件80元的价格购进了某品牌衬衫500件,并以每件120元的价格销售了400件,商场准备采取促销措施,将剩下的衬衫降价销售.请你帮商场计算一下,每件衬衫降价多少元时,销售完这批衬衫正好达到盈利45%的预期目标?
6.学校校办工厂需制作一块广告牌,请来师徒二人,已知师傅单独完成需4天,徒弟单独完成需6天,现由徒弟先做一天,再两人合作,完成后共得到报酬450元,如果按各人完成的工作量计算报酬,那么该如何分配?
7.一个车队共有n(n为正整数)辆小轿车,正以36km/h的速度在一条笔直的街道上匀速行驶,行驶时车与车的间距均为5.4m.甲在路边等人,他发现该车队从第一辆车的车头到最后一辆车的车尾经过自己身边共用了20s的时间,假设每辆车的车长均为4.87m.
(1)求n的值;
(2)若乙在街道一侧的人行道上与车队同向而行,速度为v(m/s),当车队的第一辆车的车头从他身边经过了15s后,为了躲避一只小狗,他突然以3v(m/s)的速度向前跑,这样从第一辆车的车头到最后一辆车的车尾经过他身边共用了35s,求v的值.
第六章复习
【知识网络】

【要点梳理】
要点一、多姿多彩的图形

要点二、直线、射线、线段



要点三、角
1.角的度量
(1)角的定义:有公共端点的两条射线组成的图形叫做角,这个公共端点是角的顶点,这两条射线是角的两条边;此外,角也可以看作由一条射线绕着它的端点旋转而形成的图形.
(2)角的表示方法:角通常有三种表示方法:一是用三个大写英文字母表示,二是用角的顶点的一个大写英文字母表示,三是用一个小写希腊字母或一个数字表示.例如下图:

要点诠释:
①角的两种定义是从不同角度对角进行的定义;
②当一个角的顶点有多个角的时候,不能用顶点的一个大写字母来表示.
(3)角度制及角度的换算
1周角=360°,1平角=180°,1°=60′,1′=60″,以度、分、秒为单位的角的度量制,叫做角度制.

3.角的互余互补关系
余角补角
(1)若∠1+∠2=90°,则∠1与∠2互为余角.其中∠1是∠2的余角,∠2是∠1的余角.
(2)若∠1+∠2=180°,则∠1与∠2互为补角.其中∠1是∠2的补角,∠2是∠1的补角.
(3)结论: 同角(或等角)的余角相等;同角(或等角)的补角相等.
要点诠释:
①余角(或补角)是两个角的关系,是成对出现的,单独一个角不能称其为余角(或补角).
②一个角的余角(或补角)可以不止一个,但是它们的度数是相同的.
③只考虑数量关系,与位置无关.
④“等角是相等的几个角”,而“同角是同一个角” .
对顶角
如果一个角的两边分别是另一个角的两边的反向延长线,且这两个角有公共顶点,那么这两个角是对顶角。
性质:两直线相交,对顶角相等。
4.方向角
以正北、正南方向为基准,描述物体运动的方向,这种表示方向的角叫做方向角.
习题讲练
1. 在长方形、长方体、三角形、球、直线、圆中,是平面图形的有( ).
A.3个 B.4个 C.5个 D.6个
2.下列四个生活、生产现象:
①用两个钉子就可以把木条固定在墙上;
②植树时,只要确定两棵树的位置,就能确定同一行树所在的直线;
③从A地到B地架设电线,总是尽可能沿着线段AB架设;
④把弯曲的公路改直,就能缩短路程.
其中可用“两点之间,线段最短”来解释的现象有( )
A.①② B.①③ C.②④ D.③④


最后,希望这份资料帮到大家提高复习效率,期末考出理想的成绩。欢迎收藏,转发。资料也不是尽善尽美,欢迎评论。更多精彩内容,下期见。