高等数学常用三角公式大全 (三角倍角公式大全)

【亮子数学】:常用三角公式大全

在学习高等数学和数学分析时,经常会被涉及到的三角函数知识控住手脚。这里,主要罗列了“积化和差公式”、“和差化积公式”、“诱导公式”、“二倍角公式”、“万能公式”、“同角三角函数的基本关系式(包括:倒数关系,商数关系,平方关系)”、“正弦定理”、“余弦定理”、“海伦定理、”反三角函数公式"等。没有补充全的还可以在公众号中私信我,继续补充。

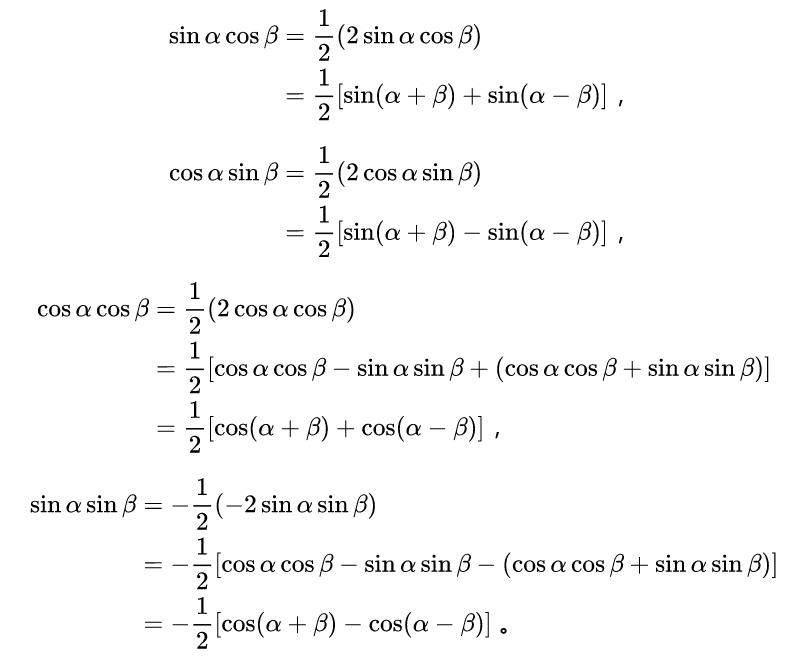
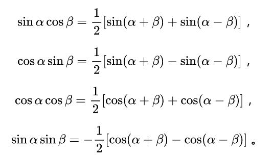
积化和差公式

积化和差公式将两个三角函数值的积化为另两个三角函数值的和的常数倍,达到降次的作用。

量子三角公式大全,三角的最值公式

注:证明方法

量子三角公式大全,三角的最值公式

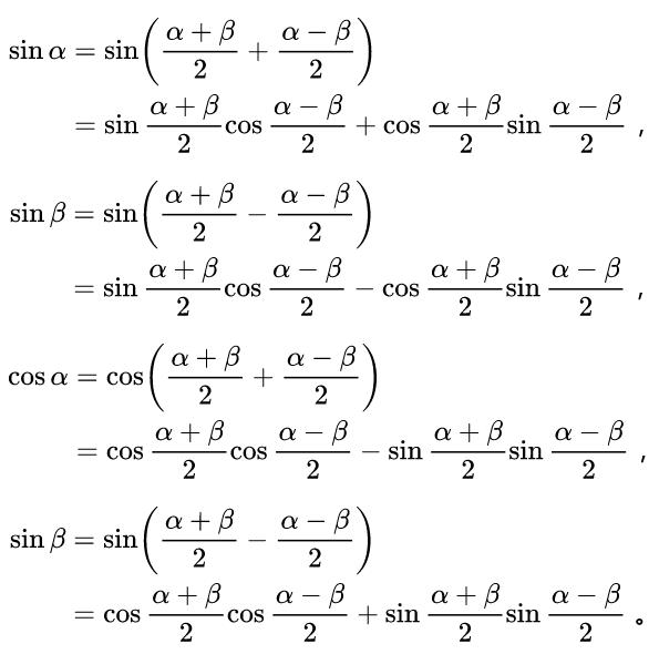
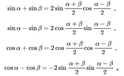
和差化积公式

量子三角公式大全,三角的最值公式

注:和差化积公式的推导技巧

量子三角公式大全,三角的最值公式

诱导公式

量子三角公式大全,三角的最值公式

二倍角公式

量子三角公式大全,三角的最值公式

注:二倍角的余弦公式常有以下变形(规律:降幂扩角,升幂缩角)

量子三角公式大全,三角的最值公式

万能公式

单角的三角函数可以用半角的正切函数来表示:

量子三角公式大全,三角的最值公式

同角三角函数的基本关系式

  • 倒数关系:

量子三角公式大全,三角的最值公式

  • 商数关系:

量子三角公式大全,三角的最值公式

  • 平方关系:

量子三角公式大全,三角的最值公式

正弦定理:

量子三角公式大全,三角的最值公式

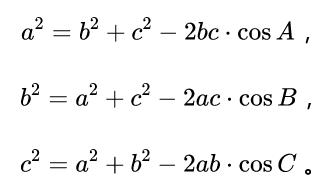
余弦定理:

量子三角公式大全,三角的最值公式

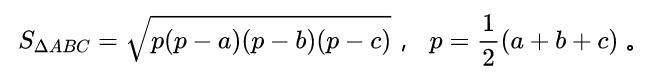
海伦定理

量子三角公式大全,三角的最值公式

反三角函数公式

反三角函数是一种基本初等函数,常见的公式有:

量子三角公式大全,三角的最值公式

量子三角公式大全,三角的最值公式

量子三角公式大全,三角的最值公式

欢迎关注【亮子数学】