三角函数正弦函数的定义
百度百科:
定义一:正弦(sine),数学术语,在直角三角形中,任意一锐角∠A的对边与斜边的比叫做∠A的正弦,记作sinA(由英语sine一词简写得来),即sinA=∠A的对边/斜边。

突然发现,这个定义是有问题的。这个定义非常直观,适合入门,但问题是只能将角的取值范围定义为0°到90°之间,而且不包括0°和90°。这个定义不支持自变量的取值范围: 。

另一个高级的定义:在直角坐标系中,给定单位圆,对任意角α,使角α的顶点与原点重合,始边与x轴非负半轴重合,终边与单位圆交于点P(u,v),那么点P的纵坐标v叫做角α的正弦函数,记作v=sinα。

这个定义就没有上述限制了。
三角函数对照表
以前是没有计算器或其他任何电子计算工具,当时人们是计算三角函数值时,常常采用三角函数对照表。

三角函数对照表
但三角函数对照表是近似值,在一些计算精度要求很高的场景,可能并不能满足要求。
三角函数的解析值含义
以正弦函数值求法为例,因为求得正弦函数值,就不难求出其他三角函数的解析值。这里的解析值是指精确解(如 ),而非近似解(如1.41421356237)。
从下文可以看出,1°到90°的三角函数(如正弦函数值)都有解析解,都可以通过正整数的加减乘除、开根号(二次根号、三次根号等)、负号等构成的表达式表示,是精确值,而非三角函数表中的近似值。

求出1°~90°角的三角函数值,再根据三角函数的诱导公式,就不难求出91°-360°角的三角函数解析值了。

0°-90°的三角函数解析值求法
根据正弦函数的定义,不难得到:
道生无,无即0。“道”(Tao)即前面的关于正弦函数的定义。
我们就从0出发给出所有1°到89°的正弦函数的解析值(注意是精确的解析值,而非小数的近似值)的求法。
∵ ,所以
∴
根据正弦函数半角公式,得出:
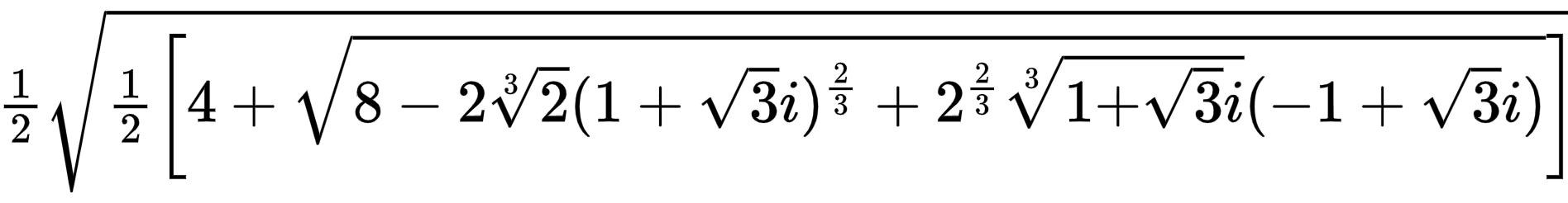
根据正弦函数的三倍角公式得到: ,也即 ,这个是 的一元三次方程。解该方程,得到: ,进而得到 。

15°角的三角函数值的几何求法:

。 也可以根据三倍角公式求得: 是一元三次方程 该方程有 。
根据正弦函数的三倍角公式得到: ,也即 ,这个是 的一元三次方程。根据一元三次方程的求根公式

解该方程,得到:
(舍弃了另外俩不合理的无效根),这是一个用复数表示的实数,其值为 。 形式上之所以是一个复数,是因为采用了一元三次方程的通用求根公式(后面情况类似)。

。
也可以根据三倍角公式求得: 是一元三次方程 的一个根 求得 。

=


下面求18°角的三角函数值:
1)几何方法:做如下等腰三角形 ,并做辅助线 和 , 为 的角平分线, 。

设 、 。不难得到 。故 ,即 ,解得 ;或者因 为 的角平分线,故根据角平分线定理可得 ,也即 ,同样可以解得 。进而得到 。从而, 。
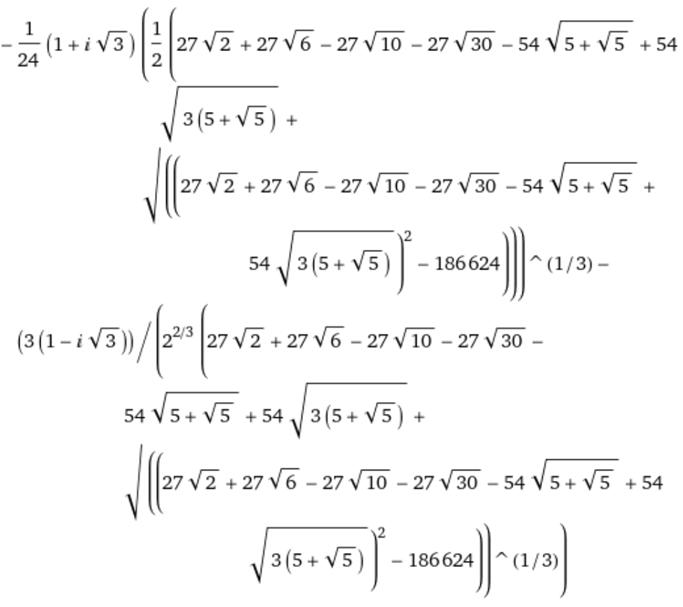
2)代数方法: (两倍角公式),且 是方程 的一个根。而该方程有三个跟: (舍去)、 (舍去)和 。

(三倍角公式) 是一元三次方程 的一个实根。该一元三次方程一定有三个解析解:
验算一下,将
代入,得到
不难排除 、 两个解,而 是合理解,即
也即
其中
如果有强迫症,可以写出 的最终表达式:

注: 虽然是复数表达式,但代入 后,计算出来的值却是一个实数。
道家:无生有!
只要算出了 的值,其他任何整数度数的三角函数就迎刃而解了。正所谓“有生万物”!
(一生二)
,带入 的值,得到
,这个值与 的值 存在神秘的关联!!!
,带入 和 ,计算得到:
,带入 、 、 和 ,计算得到: ,这个值与 的值 有密切的关系。
,带入相关值,得到:
,这个值形式上与 和 神秘关联。
,带入上述已经求出来的相关值,得到
,带入前面的计算结果,得到: ,这个值与形式上与 、 和 神秘关联。
,带入 、 的值,求得:

类似的当 ,因为前面已经求出了 ,故:
;当 时, ;当 时, ;当 时, ;当 时,令 % ,再迭代使用上面公式;当 时, 。
进而可以计算出任意整数角度的正弦函数值(都可以表达为一个精准解析值)。
同时,通过上述计算,我们实际上已经证明了一个结论: 当 为整数时, 函数值是一个代数数。
结论
1°、2°、3°、4°、5°、6°、7°、8°、9°、10°、
11°、12°、13°、14°、15°、16°、17°、18°、19°、20°、
21°、22°、23°、24°、25°、26°、27°、28°、29°、30°、
31°、32°、33°、34°、35°、36°、37°、38°、39°、40°、
41°、42°、43°、44°、45°的正弦函数值都是有精确解 ,在此基础上可以计算出他们的余弦函数值 ,再根据三角函数的诱导公式,计算出46°-90°的正弦函数,进而求出其他任意整数度数的三角函数精确值表达。
求得精确值后,在实际工程应用中,可以根据具体场景需要,计算到任意精度。
当然,人类的计算手段越来越丰富,实际工程中,多半会采用三角函数的泰勒级数展开,如
正弦函数的连分数表示:

这两个公式中的自变量 是弧度,而非度数。如果是弧度,级数展开公式变为:

