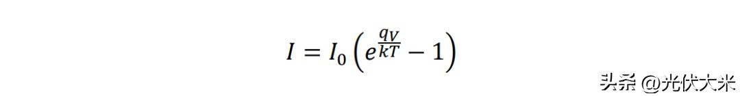
光伏器件作为典型的半导体P-N结,其在光照下会产生光生电流IL,在外接回路的情况下,太阳电池电压电流曲线便是其光生电流与暗态下电压电流曲线的叠加。对于理想半导体而言,其存在如下关系:

其中:I = 流过二极管的净电流;I0 =“暗饱和电流”,无光时的二极管漏电流密度;V = 二极管两端施加的电压;q=电子电荷的绝对值;k =玻尔兹曼常数;T = 绝对温度(K)。
“暗饱和电流” (I0) 是一个极其重要的参数,I0是器件中重组的量度。具有较大复合的二极管将具有较大的I0,它可以区分一个二极管与另一个二极管。I0 随着T的增加而增加;I0随着材料质量的提高而降低。在300 K时,kT/q = 25.85 mV,即“热电压”。
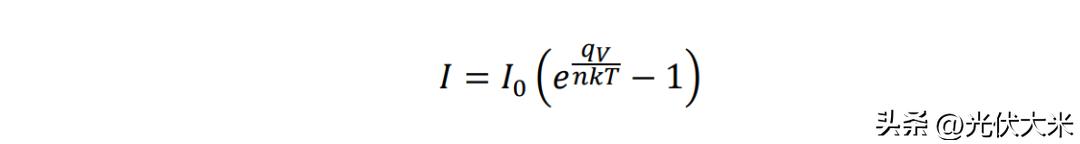
对于非理想半导体而言,二极管定律则改写为:

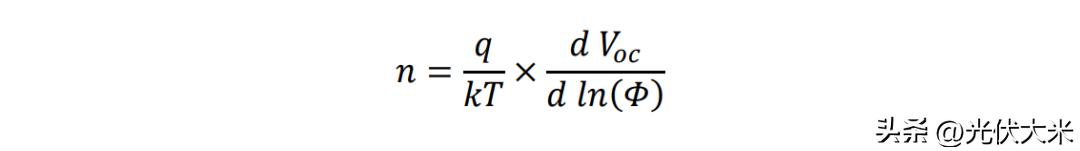
n 即理想因子,一个介于 1 和 2 之间的数字,通常随着电流的减小而增加。同时也反应了器件的半导体性质,在电池器件中可以作为反应缺陷的一种定性指标,一般通过Sun-Voc 测试可以获得器件的理想因子,在文章后续会提到其计算测量方式。
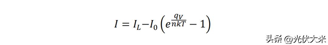
综上所述,太阳能电池的JV曲线则可以表示为:

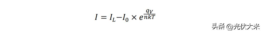
因为暗饱和电流密度相较于光生电流密度而言,其数值较小,可以忽略不记,除电压低于100 mV 外,指数项通常也 >> 1,因而“-1”项可以忽略不记。最终光伏器件的JV曲线则有如下表达式:

太阳能电池的电压电流曲线(J-V Curve)表明了其基本功率输出特性,它反应了器件的光电转换性质和能力。在光照条件下,太阳能电池在外接回路的情况下可以输出直流电,因此我们可以通过测试不同负载下的外电路电压及电流数值来确定器件的输出特性曲线(图9),由此确定光伏器件的最大功率点及光电转化效率。

图9. 太阳能电池的JV曲线
太阳能电池的电压电流曲线表示了其工作输出模式,表示了在当前光照及环境温度下,太阳能电池的电压电流对应关系。其在光照下的输出功率是输出电流和电压(I × V)的乘积。太阳能电池未连接到任何负载时,电流将处于其最小值(零),并且电池两端的电压处于最大值,称为太阳能电池开路电压(Voc)。在另一个极端,当太阳能电池短路时,即正极和负极引线连接在一起,电池两端的电压处于最小值(零),但流出电池的电流达到最大值,称为太阳能电池短路电流(Isc)。
如果对从短路到开路条件的所有电压逐点进行乘法运算,则对于给定辐射水平下可获得上述功率曲线(淡紫色),对该曲线求导为零时,存在一个最大值,图中红色圆圈对应点,此时对应器件最大输出功率(MPP),分别的电压电流为最大功率的电压(VMPP)电流(IMPP),对应光伏组件而言,在此点持续输出可获得最大发电量,因此持续追踪MPP,进而让组件在不同工作条件下保持最大功率输出十分重要。对于太阳能电池而言,其在最大功率点的持续工作稳定性也是衡量其性能的重要指标。针对钙钛矿太阳能电池的稳定性测试,业内权威科学家共同制定了ISOS测试标准。
太阳能电池的光电转化效率是衡量其性能的重要指标,它反应了器件将光能转化为电能的能力。对于其光电转化效率测试计算,我们通常规定使用1个标准太阳光照(AM 1.5G)下,辐照功率密度约为100 mW/cm2,来测试光伏器件的光电转化效率η。

其中:Isc为短路电流;Voc为开路电压;FF是填充因子;η是光电转化效率。
3.1 短路电流
短路电流是当太阳能电池两端的电压为零时(即太阳能电池短路时)通过太阳能电池的电流,通常写为 Isc。短路电流是由于光生载流子的产生和收集。对于理想太阳能的电池,由于其只存在一些电阻损耗,短路电流和光生电流是基本相同的。因此,短路电流是可从太阳能电池汲取的最大电流。
短路电流受以下因素影响:
太阳能器件的面积 ,器件吸光面积越大则可以输出更高电流,为了消除太阳能电池面积的依赖性,更常见的是使用太阳能电池的短路电流密度(Jsc mA/cm2)参数来衡量光伏器件性能;
入射光的强度 ,太阳能电池的Isc直接取决于光强度,光强度越高对应光电流越高;
入射光的光谱 ,不同材料的太阳能电池对光谱响应范围不同,即对不同波段的吸光能力不同,因此对于大多数太阳能电池测量,需要在标准光谱下进行测量即一个标准太阳光(AM1.5);
太阳能电池的少数载流子收集概率 ,主要取决于表面钝化和活性层中少数载流子的寿命。
短路电流也可以通过量子效率积分获得,量子效率是描述光电器件光电转化能力的一个重要参数,对于太阳能电池,通常定义为在某一特定波长激发光激发条件下,单位时间产生的平均光电子数与入射光子数之比。量子效率可根据定义分为外量子效率(external quantum efficiency, EQE)和内量子效率 (Internal quantum efficiency,IQE)。
外量子效率指太阳能电池的光生载流子数目与入射到太阳能电池表面的光子数目之比。外量子效率对于太阳能电池是一个至关重要的参数,它与光子能量有关,太阳能电池的材料吸收系数、光生载流子的分离和输运效率都会影响器件的外量子效率。通过对整个太阳光谱的EQE积分可以得到太阳能电池的短路电流,因此通过衡量不同波长下的EQE值可以判断器件光的吸收及器件内部的载流子复合和利用效率。也能通过积分得到的短路电流密度与测试数据相比较,以此判断器件的短路电流是否获得了正确评估测试。内量子效率指太阳能电池的光生载流子数目与被太阳能电池吸收的外部入射光子数目之比,两者可表示为:


图10. 内量子效率,外量子效率及表面反射的相对关系
内量子效率通常表明太阳能电池对不同波长光子的利用率;外量子效率在表明光子利用率的同时也考虑了太阳能电池器件的光反射和透射损失。当光子被太阳能电池活性层吸收后,一个光子可以产生一对空穴-电子,这些光生载流子通过分离并被收集,未被提取的载流子通常在复合过程中损失。
对于一条EQE曲线,量子效率最高的部分一般在P-N结界面,界面处的内建电场可有效分离电子-空穴;短波长处的量子效率随波长增大而快速提升,因为波长较长的光子在较深处被吸收,载流子产生位置接近P-N结界面,量子效率逐渐升高;较长波段穿透深度逐渐增大,该波段下量子效率随波长下降,一方面由于产生的电子-空穴对远离P-N结,在扩散到界面的过程中可能发生复合;另一方面入射光子能量逐渐降低至无法激发产生光生载流子,所以量子效率快速下降。因此,通过分析不同波长下的量子效率可以间接推测器件内部不同功能层的特性,进而对潜在问题进行改善。
理想的量子效率曲线通常呈正方形,量子效率值在整个光谱范围内在不同波长下均保持不变。但对太阳能电池而言,由于复合过程的存在,一部分光生载流子无法进入外电路,进而会导致量子效率下降。短波长的光(蓝光)一般在接近表面处即被完全吸收,前表面处的缺陷及掺杂会导致蓝光波段的量子效率下降;相同的,较低波长的光在活性层主体内被吸收,如果材料本征载流子扩散长度不支持其扩散到P-N结处,该波段下的量子效率也会降低。
通过量子效率和太阳光谱能量,积分可以得到器件的短路电流,一般与J-V测试曲线获得的电流相差不超过 ±5%。
3.2 开路电压
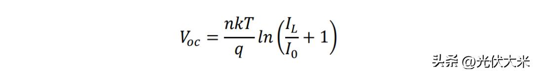
开路电压Voc是太阳能电池可输出的最大电压,即输出电流为0的时候。开路电压对应于太阳能电池上的正向偏压量,是太阳能电池结与光生电流的偏压。在太阳能电池的J-V曲线中,把电流值取0,可以得到开路电压有如下表达式:

值得注意的一点是,由此方程可以看到开压随着温度呈现线性关系,然而事实并非如此,主要由于半导体的本征载流子浓度随着温度上升而急剧增加,这会导致材料的暗饱和电流I0迅速增加,对于不同材料的电池器件,其电压温度曲线规律也不尽相同。
3.2.1 Voc 损失
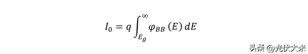
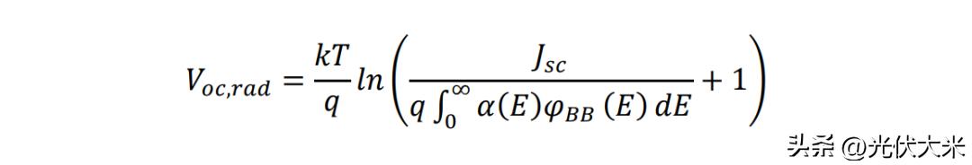
Shockley-Queisser 模型将太阳能电池的最大可实现电压定义为 Voc,sq。该模型的两个重要假设是:(1)太阳能电池吸收所有能量大于太阳能电池带隙(Eg)的光子;(2)辐射复合(通过电子复合释放光子)在导带中,在价带中有一个空穴是唯一发生的辐射复合。
对于暗饱和电流仅考虑黑体辐射产生的电流时,

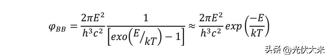
其中ψBB(E)为黑体辐射光谱,

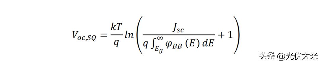
其中h为普朗克常数,c为光速。此时便可以得到SQ理论极限电压的表达式为:

对应的只考虑辐射复合损失的情况下,α(E)为材料吸收率随能量变化的函数,

在真实材料的情况下,光吸收是不完美的,因此由于材料的有限性(吸收材料不是无限的并且呈现表面),并非所有具有足够能量的光子都被吸收,从而将最大电压降低到其辐射极限(Voc,rad)。由于材料质量差和不理想(例如:体积缺陷和晶界),太阳能电池通常还存在非辐射复合机制,诸如表界面缺陷引起的非辐射复合,因此测得的Voc小于Voc,rad。借助光电发光二极管的概念进行理解,非辐射复合的存在意味着只有一部分注入的电子-空穴电流会发生辐射,即发光,这一部分的损失可以通过电致发光测试来进行衡量,进一步地,开路电压则有如下表达式:

因此通过测试器件的电致发光效率,可以定量表征器件的非辐射开压损失,如下图:

图11. 器件的 EL 光谱(红色实线)和EQE 光谱(蓝点)
3.2.2 Sun-Voc 测试
如前文所介绍,太阳能的光生电流IL 与光强存在依赖关系,依据上述公式,可以通过改变光强度Φ,测试太阳能电池开路电压,通过对应关系可以估算材料的理想因子n。


图12. 太阳能电池Sun-Voc测试
如上图所示,较大的n值表明电池器件存在缺陷辅助复合比较严重,从而会有较大的开路电压损失,反之仅存在自由载流子复合的情况下,理想因子则会越接近1。
3.3 填充因子
填充因子(FF)定义为太阳能电池的最大功率与Voc和 Isc的乘积之比:

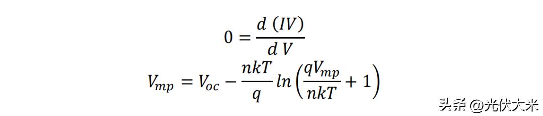
太阳能电池的最大理论 FF 可以通过将太阳能电池的功率与电压进行微分并找出其为零的位置来确定。因此有:

这是一个隐式方程,但它会随着迭代快速收敛。以Vmp = 0.9 × Voc作为初始条件,一次迭代后误差 < 1%,三次迭代后误差可忽略不计(< 0.01%)。将 Vmp的值代入二极管方程得到 Imp和FF。FF更常用的经验表达式是:

其中voc定义为“标准Voc”:

上述等式表明,理论上更高电压的器件将具有更高的填充因子FF,同时也反应了材料的理想因子n的重要性,高 n 值不仅会降低 FF,由于它通常也会产生高重组,也会造成开路电压损失。在实际的器件中,由于寄生电阻不可避免存在,填充因子也会降低。