作者:王诗琪 徐先港 董建锴 刘京 王昭俊
哈尔滨工业大学建筑学院 寒地城乡人居环境科学与技术工业和信息化部重点实验室
摘要
Abstract
油烟机是控制厨房污染的重要设备,其捕集性能作为评价油烟机的重要指标,已经得到国内外的广泛认可。总结捕集性能的代表参数捕集效率和气味降低度的测试方法,分析安装高度、补风方式、热源特征等对捕集性能的影响。研究表明,在一定范围内降低安装高度和热源强度、增大风量风压、使用后热源并采取适当的补风可以有效提升油烟机的捕集性能,而超过该范围后,捕集性能变化不明显,还会增加能耗与噪声。
关键词
Keywords
油烟机;捕集效率;示踪气体;风量;影响因素
DOI: 10.19784/j.cnki.issn1672-0172.2022.01.002
0 引言
厨房烹饪是住宅内污染物的重要来源之一。厨房内空气品质的下降,一部分是由于燃料(天然气、液化气等)燃烧释放有害气体和废热,另一部分来自于食材加热过程中产生的油烟、油雾滴、水蒸气和异味等[1],其中含有大量的CO、CO2、NOx、SO2、可吸入颗粒物和多环芳烃、醛类、酮类、脂肪酸等多种致癌组分[2-4]。因此,需要采取有效措施来减轻污染物扩散、营造良好厨房环境、保障人体生命健康。
当前,住宅厨房污染物排除方式主要有被动式开窗通风与油烟机机械排风[5, 6]两种。其中,油烟机是目前住宅厨房内普遍使用的吸排污染物设备,其内部电机带动叶轮旋转,在进风口处形成一定范围的负压区,烹饪过程中产生的油烟、蒸汽和废热在压差的作用下向油烟机吸风口聚集,经油烟机分离过滤后排放到室外[7]。
国内相关标准中油烟机的性能指标包括安全性能、空气性能(风量、风压、全压效率)、气味降低度(常态气味降低度、瞬时气味降低度)、油脂分离度、噪声、调速六项[8, 9]。其中,气味降低度多用于评价油烟机捕集污染物的性能。然而,气味降低度的实验室测试条件与实际应用条件间存在差异[10],实验室数据难以衡量真实工况下油烟机的实际性能。针对该问题,国内外众多学者进行了大量研究并提出了捕集效率的概念,并对其影响因素进行分析。
为掌握国内外对于油烟机捕集性能的研究进展,明晰未来油烟机捕集性能的研究方向,本文调研油烟机捕集性能评价指标,总结不同评价指标的测试方法,分析捕集性能影响因素,以期完善油烟机标准评价体系,提出研究新思路。
因此,目前亟需一些结构上的改进,可以利用腔体型结构防止结垢、阻塞流道的优势,在此基础上结合增大换热面积或增强换热系数的方式来提高热效率。本研究将进行一种改进型蒸汽发生器的结构设计,通过模拟计算选择合适的进出水方式进行实验,比较改进前后的热效率,分析改进后热效率的提升效果及原因。
1 捕集效率
1.1 定义
捕集效率通常定义为油烟机捕集的污染物量与污染源散发的污染物总量的比值。如图1所示,假设油烟机排风量为qf,污染源持续散发的污染物总量为Sp,排风罩捕集的污染物量为Sc,排风罩罩口的污染物浓度为Cc,则油烟机的捕集效率CE定义如式(1)所示[11]。

未被油烟机捕获的污染物量称为逃逸量Se,根据式(2)计算。

由于Sc、Sp、Se难以准确测量,Wolbrink等人[12]在此基础上提出改进公式(3),将区域划分为烹饪区和房间其他区域。

式中,cr为房间其他区域的污染物浓度,c0为室外环境中的污染物浓度,cc为排气管处污染物浓度。
考虑到烹饪区与房间其他区域之间存在空气交换,Li等人[13]对公式(3)做出改进,提出公式(4)。

式中,qv为全面通风率,qf为通过排气管的流量。可见,若qv=0,式(4)将与式(3)相同。图2为相应的模型,qe为从排风罩前部逃逸的流量,污染源处产生的总污染物量为S0p+(qf+qc)cr,油烟机所捕集的污染物量为qfcc。

图1 经典厨房排烟模型

图2 考虑空气交换的厨房排烟两区模型
1.2 测试方法
捕集效率的测试一般不在实际烹饪过程中进行。实际烹饪过程所产生的油烟组分极为复杂,各组分之间可能互相影响,而且烹饪方式、加热温度、食物种类等的变化较大,此时的污染物散发量较难直接测量和计算。且传感器等测量仪器长期暴露在油烟中,容易受到损坏,使测量结果产生较大误差。因此,通常在实验室条件下采用示踪气体法、煮水法和颗粒物法进行捕集效率的测试。
1.2.1 示踪气体法
示踪气体法通常使用CO2和SF6等无毒、不燃、化学性质稳定、易测量的高纯度示踪气体来模拟污染物[14],并由一套稳定可操控的装置进行释放,是目前ASTM(美国材料实验协会,American Society of Testing Materials)标准所用的方法,也是近年来所提出的一种较为新颖的方法[15]。
测试室由操作台、示踪气体散发装置、机械排风系统和机械送风系统4部分组成,见图3。机械排风系统有油烟机、排气管道、流量测试装置、流量控制装置和辅助风扇5大部件。油烟机运行时会在室内形成较大负压,为避免未经处理的气体通过门窗缝隙等渗入,测试时需要设置机械送风系统。机械送风主要分为天花板送风和操作台下侧送风两种形式。测试过程中需保持较低风速(ASTM标准推荐值<0.5 m/s),以免对测试环境形成扰动;同时在50 Pa泄漏量下,测试室每小时的换气次数应小于2.5次。此外,送风管道需设置过滤装置,以免送入空气影响测试结果。

图3 测试室示意图
示踪气体散发装置主要由示踪气体气瓶、流量控制装置、风机、电加热器、散发锅体及各阀门、连接管道组成,以创建一个在热量上和几何上与实际烹饪等价的过程。而ASTM所采用的方法中,示踪气体散发系统前部与国内行业标准相似,但在末端处由上下均匀布满圆孔的均流板代替散发锅体,示踪气体通过圆孔均匀被释放,与热羽流充分混合。圆孔直径为3.5 mm,上表面至少需要30个孔,下表面至少需要15个孔。
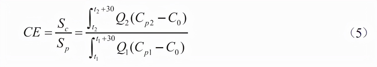
在计算捕集效率时,一般分为两种方法。一种是直接法,根据行业标准T/CAS 337-2019《吸油烟机捕集性能测试与评价》[16],由所测数据直接求出油烟机捕集量和散发装置散发量,如公式(5)所示。首先将散发装置安装在油烟机正下方10 cm的位置,油烟机风量调整至Q2,保证散发物全部被油烟机抽吸而排出,稳定后连续测试30 min内特征污染物的排风管浓度及测试室背景浓度;然后调整散发装置的位置至灶台处,风量调整至Q2,稳定后连续测试30 min内特征污染物的排风管浓度及测试室背景浓度。该方法可实现高精度测量,保证数据的稳定性和复现性。

式中:Q1为散发量测试时的油烟机风量;Q2为捕集量测试时的油烟机风量;C0为房间的污染物背景浓度;Cp1为散发量测试时排气管内污染物浓度;Cp2为捕集量测试时排气管内污染物浓度;t1为散发量测试时污染物浓度达到稳定的时刻;t2为捕集量测试时污染物浓度达到稳定的时刻。
另一种是间接法,由逃逸率得出捕集效率。根据稳态时各测点的污染物浓度进行计算。假设排气管内浓度为Ce,厨房背景浓度为Cc,送风口处浓度为Ci。排气管处和送风口处可在其截面上均匀布置多个测点求平均值。背景浓度测点位于灶台中心线上,高度和与灶台距离的选取应能具有代表性。则计算如公式(6)所示[13]。

使用示踪气体模拟特征污染物的方法,对测试仪器、测试用具和测试环境等的要求较高,尤其是示踪气体释放装置,需要保证示踪气体能与热羽流充分混合。释放装置与家用燃气灶、电磁炉等存在一定差异,使用该方法时热源性能的测试将受到限制,与实际家庭烹饪情况不太相符。但该方法有利于形成一套标准化的测试流程,实验的稳定性和重复性较好,受额外因素的影响较小,污染物的释放较为可控和稳定,更适合应用于实验室内对油烟机的测试。
1.2.2 煮水法
煮水法采用煮沸的方式,该过程人员操作方便,所产生污染物的组分相对简单,主要为燃料的燃烧产物和水蒸气,一般采用CO2作为燃烧器的污染物标志。该方法也分为直接法和间接法。
直接法认为产生的CO2仅为燃料燃烧时产生的污染物散发量,在假设燃料完全燃烧的情况下,CO2散发量通过化学计量法求得,CO2捕集量为油烟机风量与排气浓度的乘积。捕集效率计算如公式(7)所示。

式中:Qe为油烟机风量;Ce为排气管内CO2浓度;Cr为房间的CO2背景浓度;Qfuel为燃料流量;N为燃料中碳的摩尔分数(每摩尔燃料中含有碳的摩尔数),基于燃料组分。
间接法与示踪气体法的间接法原理相似。但煮水法所测试的污染物主要来源于燃料燃烧,因此不适用于使用电磁炉的情况。该方法具有操作方便的优点,适用于一般的测试或作为其他实验的附属实验。但该方法也存在一些缺点,CO2传感器对水蒸气较为敏感,会影响测试结果的准确性。实际烹饪过程更为复杂,人员活动更频繁会带来扰动。用锅煮水需要更多热量用于液态水到水蒸气的相变,因此在对锅输入相同热量的情况下所产生热羽流更少。两种方法中部分参数需在数据达到稳定状态时再进行读取。
1.2.3 颗粒物法
颗粒物法是以烹饪时产生的颗粒物为测试对象的方法。Lunden[17]的测试中以765 L/s的体积流量向房间内送入经过过滤的空气,并在室内设置两台风扇均匀混合空气,气流在两处分别降低至292 L/s和552 L/s。考虑到颗粒物扩散时会在排风罩和管道内附着,使得在排气管处测得的颗粒物浓度与实际存在一定偏差,因此通过测试油烟机开启和关闭状态时房间内的颗粒物浓度得到逃逸率,从而间接计算出油烟机的捕集效率,如公式(8)所示。

式中:Croom,hood_on为烹饪时油烟机开启状态下房间中的颗粒物浓度;Croom,hood_off为烹饪时油烟机关闭状态下房间中的颗粒物浓度;Cbkg为无烹饪活动时房间背景颗粒物浓度。
颗粒物在扩散、传播的过程中,易于沉降、附着,无法准确测量油烟机捕集的颗粒物浓度,只能通过测量油烟机处于不同状态时厨房内的浓度而间接求出捕集效率。厨房内的干扰因素较多,易造成结果不准确。且颗粒物传感器的成本较高,因此使用该方法的实际测试研究较少。
2 气味降低度
2.1 定义
气味降低度是指油烟机在规定的实验条件下,降低室内异常气味的能力,又可分为常态气味降低度和瞬时气味降低度[8]。
常态气味降低度是指在规定的实验条件下,实验室持续、定量产生异味时,油烟机同步运转,30 min内降低室内异常气味的能力,如公式(9)所示。瞬时气味降低度是指在规定的实验条件下,实验室异味浓度达到最大时,开启油烟机,3 min内降低室内异常气味的能力,如公式(10)所示。国家标准中要求常态气味降低度应不小于90%,瞬时气味降低度应不小于50%。

式中:b1为实验室最大气味浓度;b2为油烟机运转3 min时实验室最大气味浓度;b3为油烟机运转30 min时实验室最大气味浓度。
2.2 测试方法
GB/T 17713-2011《吸油烟机》[8]中气味降低度的测试装置由温控系统、滴液系统和采样系统三部分组成。温控系统提供热源并进行控制,用电炉为试验锅加热,通过该系统自动监测使锅底保持(170±10)℃;滴液系统采用液体为(300±1)g的室温蒸馏水和(12±1)g的丁酮组成的混合液;采样系统在垂直于地面每隔500 mm等间距布置四个采样点,将四个采样管汇合成一根总管进行测试采样。实验条件为,环境条件达到环境温度(20±5)℃,相对湿度40%~70%,大气压力86~106 kPa。实验室应具有一定的密封性,封闭实验室进行采样测得最大气味浓度,1 h之后再次采样,其下降值应不大于5%。油烟机默认安装高度为制造商随机提供的用户使用说明书中标识出的最小安装高度。
为方便操作,如图4所示,气味降低度的测试形式可以采用示踪气体法的实验装置和实验形式,在此基础上增加采样系统和搅拌的风扇。根据实验室尺寸和特征污染物散发量,垂直于地面均匀布置多个采样点。

图4 气味降低度测试流程
3 影响因素
在针对捕集性能的相关研究中,关注点多集中在捕集效率上,油烟机的捕集效率与安装高度、风量、风压、排风罩类型、补风、热源位置和强度等因素有关。
3.1 安装高度
安装高度决定了烹饪污染物到排风罩的运动距离,对油烟机的捕集效率造成直接影响。6种排风量在187 m3/h~594 m3/h具有高低档位的油烟机在61 cm、69 cm和76 cm的安装高度下,捕集效率值为42.8%~96.2%。其中,在50%的时间中61 cm工况的捕集效率最高,在67%的时间中76 cm工况的捕集效率最低,在52%的时间中69 cm工况的捕集效率介于其他安装高度工况之间。当安装高度由76 cm下降至69 cm和由69 cm下降至61 cm时,分别有50%和25%的配置表现出捕集效率有显著变化[18]。对于同一油烟机,燃烧器输入功率为450 W,在360~720 m3/h区间内改变油烟机风量,安装高度为61 cm的捕集效率普遍大于安装高度为81 cm的捕集效率,且在风量小于540 m3/h时更明显[19]。但对于具有深凹或其宽度扩展到覆盖前燃烧器排风罩的油烟机,其在低安装高度和高安装高度的捕集性能差异较小[20]。
因此,适当降低油烟机的安装高度可以提高其捕集性能,且安装高度的变化对于较高安装高度下的捕集性能影响更大。但是,过低安装高度的油烟机也存在一些问题。人员的操作空间受到限制,易造成碰撞。对于大功率灶具存在温升超标问题,火苗有被风口吸入的风险,易导致火灾发生,也会给炉灶造成不必要的热损失。
3.2 风量与风压
在低风量范围内,风量是影响捕集性能的重要因素。将风量从180 m3/h增加到540 m3/h,捕集效率可提高30%[21]。风量为300~600 m3/h时,捕集效率随风量增大而增大,倒锥深腔型油烟机的捕集效率从68.1%逐渐增长到88.7%,增量为20.6%;平板导烟型油烟机的捕集效率从74.1%逐渐增长到91.3%,增量为11.2%。但当风量大于600 m3/h时,两种油烟机的捕集效率均无明显变化[22]。
对8种型号油烟机在不同风量范围和不同安装高度下的捕集效率进行测试,所测得的值为58%~97%。在一定范围内,风量与捕集效率之间存在一般正相关关系。但无论是在相同型号油烟机(不同的安装高度)的测试中,还是在不同型号油烟机的测试中,都表现出捕集效率在较高的风量下有减小的趋势。当风量≥540 m3/h时,全部油烟机的捕集效率均超过80%;当风量小于540 m3/h时,捕集效率随风量的变化显著[20]。
可见,存在某一风量可以使油烟机捕集效率达到峰值。并且,过度追求大风量并不能有效增大油烟机的捕集效率,并且满足大风量需要更高性能的风机,往往易带来更多的噪声、更高的成本和能耗,厨房内的新鲜空气也会随着油烟一同被油烟机抽吸,不适合日常在住宅中使用。从整体来看,若某一住户采用风量过大的油烟机,会使得烟道内压力不均,给使用小风量油烟机的住户带来油烟倒灌的困扰[23]。所以使油烟机在相对较低的流量下具有足够高的捕集效率是很重要的。
风压对于捕集性能的作用效果与风量类似。通过数值模拟的手段,在原型机压力-300 Pa前后选取4个等距压力点-200 Pa、-250 Pa、-350 Pa、-400 Pa来探究风机抽吸压力对集成灶捕集效率的影响。-300 Pa时最低捕集效率为84.52%,-400 Pa时最低捕集效率为97.27%[24]。随着风机压力绝对值的增大,捕集效率的最低值有明显提升,且捕集效率总体上也有一定提升。但风压的增加同风量一样,会带来能耗、噪声和油烟倒灌等问题。
3.3 排风罩类型
排风罩是油烟机的重要组成部分,如表1所示,采取加装导烟、整流装置或改变罩的深浅等措施,对排风罩的结构进行合理优化,可以在一定程度上提高油烟机的捕集效率。

表1 对排风罩采取优化措施后的捕集效率
从表1可以看出,数值模拟的结果较实际测试结果偏大,由于没有考虑运行时的阻力等情况,数值模拟的结果更加理想化。数值模拟的方法可以研究更多工况下的捕集效率,尤其是在实际中由于条件限制无法测试到的工况,可以验证实际测试的结果可行性。因此,该方法一般可以用于油烟机的设计优化阶段,或者作为实际测试的辅助来验证实际测试的可行性和准确性。
3.4 补风参数
单独使用抽油烟机作为厨房排风系统时易产生负压区,从而无法有效地将烹饪产生的油烟快速排向室外,往往依靠自然送风也无法完全解决。因此有时需要合理的补风系统来改善厨房气流组织[30]。增设空气幕系统是目前常用的且逐渐成熟的一种补风方式[31]。如图5所示,主要有三种形式。

图5 空气幕示意图
合理使用空气幕可以有效改善油烟机的捕集效率。使用图5 b)形式的空气幕进行研究,结果表明:窗户开启时的改善程度大于窗户关闭时;窗户关闭时,当空气幕关闭时,捕集效率为78.25%~82.5%;当空气幕速度为0.5 m/s、1.0 m/s和1.5 m/s时,捕集效率分别为82.12%~86.52%、79.81%~86.73%和72.20%~77.46%。空气幕在较低速度范围内,速度越大则捕集效率越高;而在高速度范围内,捕集效率随速度增大而有所降低。同时,当窗户关闭时,大多数情况下捕集效率随档位的升高而增大。当窗户关闭时,捕集效率的最高值86.3%出现在油烟机高速档、补风速度1.0 m/s的工况。而当油烟机为低速档、补风速度为0.5 m/s时捕集效率为85.25%,非常接近最高值,从节能的角度考虑,可以认为此时为最佳工况[32]。
3.5 热源位置和强度
热源的强度和位置会对烹饪活动的污染物散发产生影响,从而影响油烟机的捕集性能。
由表2可得,在一定范围内,捕集效率随热源输入功率的增大而减小。当热源强度大时,形成的热羽流较粗壮,增加了逃逸率。在使用家用燃气灶时,国内家庭多数使用单眼灶或双眼灶,而国外家庭使用多眼灶居多。在使用双眼灶时,排除开窗位置等扰动因素外,热源位置对捕集效率的影响较小。而在使用多眼灶时,由于排风罩不能完全覆盖住前热源,会造成部分热羽流的逃逸,后热源能被很好地覆盖,使得在使用后热源时油烟机的捕集效率大于使用前热源时,使用左侧和右侧热源时的捕集效率值相当。

表2 不同热源位置和强度的捕集效率
4 讨论
由于受测试方法、测试条件、测试对象和测试工况等因素的影响,捕集效率值的研究结果差异较大。影响油烟机捕集效率各因素之间的关系还不够明确,可以考虑进行交互作用的正交实验,对影响因素做显著性排序,并对显著因素做单因素分析,从而发掘关键影响因素并设法改进。
由于使用电磁炉时无明火,所以热源处不会产生污染物,可以通过能产生污染物排放的实际烹饪过程来进行捕集效率测试。中式烹饪多为煎炸、爆炒等高强度方式,烹饪时的污染物浓度、温湿度较高,在进行捕集效率测试以及将来对油烟机捕集性能优化时,应该根据这些实际情况对已有方法进行相应调整。
在测试时,为防止厨房内负压过大,往往需要对厨房进行送风,这也是影响油烟机捕集效率的一个因素。然而现有研究中有的采用自然送风,有的设置专门的机械送风系统,对于送风方式和送风量并没有规范化的要求。为解决由此差异性对结果的影响,应该根据房间大小和油烟机工况对送风方式和送风量进行明确规定。目前的测试多基于封闭式厨房展开,对开放式厨房环境中的油烟机捕集性能研究较少。而开放式厨房中的污染物更容易扩散到客厅等邻室,这对油烟机的捕集性能将要求更高。
在设计或评价油烟机时,需要将捕集性能与噪声、能耗、空气性能等其他指标相结合,得到整体最优工况。厨房油烟机还需要形成一套综合性的测试与评价体系,在各个性能指标均达到标准的基础上,对每个指标进行权重划分,得到一个反映油烟机综合性能的评价分数。同时,在日常烹饪中油烟机与燃气灶通常是配套使用的,它们之间的联系紧密,可以考虑设计一种综合油烟机捕集效率与燃气灶热效率的测试与评价方法。
5 结论
提高油烟机的捕集性能,有效控制污染物的捕集与排放是目前亟需解决的问题。研究总结了关于油烟机捕集性能评价指标与测试方法,并分析不同影响因素对油烟机捕集性能的影响,主要结论可归纳如下:
(1)捕集性能评价指标体系有捕集效率和气味降低度。捕集效率的概念应用更加广泛,而气味降低度的概念被国家标准所采用。
(2)捕集效率的测试方法主要有示踪气体法、煮水法和颗粒物法。示踪气体法有利于形成一套标准的测试流程;煮水法操作简便;颗粒物法由于涉及颗粒物的沉降、附着,易造成结果不准确。
(3)气味降低度可分为常态气味降低度和瞬时气味降低度。为方便操作,可以采用示踪气体法的测试装置进行测试。
(4)影响捕集性能的因素主要有安装高度、风量、风压、排风罩类型、热源位置和强度。在一定范围内降低安装高度和热源强度、增大风量风压、使用后热源并采取适当的补风可以有效提升油烟机的捕集性能,而超过该范围后,捕集性能变化不明显,还会增加能耗与噪声。
参考文献
[1] Karimatu L A, Juana M D, Roy M H. Emissions and indoor concentrations of particulate matter and its specific chemical components from cooking: A review[J]. Atmospheric Environment. 2013, 71.
[2] 赵玉娇. 厨房污染物控制原理与局部排烟罩性能研究[D]. 西安:西安建筑科技大学, 2013.
[3] Siao W S, Rajasekhar B. Physical Characteristics of Ultrafine Particles Emitted from Different Gas Cooking Methods[J]. Aerosol and Air Quality Research, 2006, 6(01).
[4] Zhao Y, Hu M, Slanina S, et al. Chemical compositions of fine particulate organic matter emitted from Chinese cooking.[J]. Environmental science & technology, 2007, 41(01).
[5] Ye Y, Zhiwen L, Jing L, et al. Health and economic benefits of building ventilation interventions for reducing indoor PM2.5 exposure from both indoor and outdoor origins in urban Beijing, China[J]. Science of the Total Environment, 2018, 626.
[6] 果海凤, 钱嘉宏, 宋昂扬, 等. 住宅厨房内的被动式通风系统研究[J]. 建筑热能通风空调, 2020, 39(07): 70-73.
[7] 厨房“利器”:吸油烟机[J]. 福建质量技术监督, 2015(08): 59-60.
[8] 中国国家标准化管理委员会中华人民共和国国家质量监督检验检疫总局. GB/T 17713-2011吸油烟机[S]. 2011.
[9] 冯黔军, 徐茂青. 吸油烟机性能指标及关键技术分析[J]. 家电科技, 2012(12): 44-46.
[10] 武政, 刘蓉, 顾小平. 吸油烟机能效检测中的问题分析[J]. 质量与认证, 2014(12): 63-65.
[11] Ou H, Angui L, Risto K. Hood performance and capture efficiency of kitchens: A review[J]. Building and Environment, 2019, 161.
[12] Wolbrink D, Sarnosky J. Residential kitchen ventilation-a guide for the specifying engineer[J]. Ashrae Transactions, 1992, 98(01): 1187-1198.
[13] Li Y, Delsante A, Symons J. Residential kitchen range hoods-Buoyancy-capture principle and capture efficiency revisited[J]. Indoor Air, 1997, 7(03): 151-157.
[14] 史义平, 邹志军, 黄晨. 不同示踪气体对房间通风量测试效果的探讨[J]. 建筑节能, 2019, 47(06): 66-69.
[15] ASTM E3087-2018 Standard Test Method for Measuring Capture Efficiency of Domestic Range Hoods[S]. 2018.
[16] 高军, 孟永哲, 艾希顺, 等. T/CAS 337—2019 吸油烟机捕集性能测试与评价[S]. 2019.
[17] Lunden M M, Delp W W, Singer B C. Capture efficiency of cooking-related fine and ultrafine particles by residential exhaust hoods[J]. Indoor air, 2015, 25(01): 45-58.
[18] Sammy M, Michael P, Axel J. The influence of range hood mounting height on capture efficiency[J]. Science and Technology for the Built Environment, 2020, 27(03).
[19] Jordan D C, Gabriel R, Iain S W. Towards the development of a standardized testing protocol for overhead island kitchen exhaust devices: Procedures, measurements and paths forward[J]. Building and Environment, 2018, 142.
[20] Walker I S, Stratton J C, Delp W W. Development of a tracer gas capture efficiency test method for residential kitchen ventilation[J]. 2016.
[21] Benchikh L H A E, Poncet S, Fellouah H. Numerical Investigation of the Capture Efficiency of a Domestic Range Hood[J]. ASME 2020 Heat Transfer Summer Conference collocated with the ASME 2020 Fluids Engineering Division Summer Meeting and the ASME 2020 18th International Conference on Nanochannels, Microchannels, and Minichannels, 2020.
[22] 曹昌盛, 吕立鹏, 高军, 等. 家用吸油烟机捕集率实验研究[J]. 暖通空调, 2019, 49(07): 24-30.
[23] 朱培根, 朱明亮, 蔡浩, 等. 住宅厨房油烟浓度的数值模拟和实测[J]. 解放军理工大学学报(自然科学版), 2006(02): 153-156.
[24] 邓鹏飞, 汪雪棚, 吴勇, 廖标建, 龚东巧, 郑健, 汪一. 基于CFD方法的集成灶吸烟区结构优化[C]// 2020年中国家用电器技术大会, 2020.
[25] 霍星凯. 吸油烟机箱体优化及厨房排烟效率的研究[D]. 武汉: 华中科技大学, 2017.
[26] 董倩. 厨房油烟机油烟高效捕集技术优化研究[D]. 天津: 天津大学, 2018.
[27] 卜维平, 彭荣, 林芳, 等. 厨房排油烟机油烟捕集效率的测定[J]. 暖通空调, 1992(05): 7-9.
[28] Delp W W, Singer B C. Performance assessment of U.S. residential cooking exhaust hoods[J]. Environmental science & technology, 2012, 46(11).
[29] B. C S, W. W D, P. N P, et al. Performance of installed cooking exhaust devices[J]. Indoor Air, 2012, 22(03).
[30] 陈锋, 周斌, 刘金祥, 等. 条缝型空气幕对抽油烟机污染控制的辅助作用[J]. 中国环境科学, 2016, 36(03): 709-718.
[31] 李健. 基于新型通风方式的家用厨房环境模拟研究[D]. 哈尔滨: 哈尔滨工业大学, 2019.
[32] Bin Z, Peng W, Meilan T, et al. Capture efficiency and thermal comfort in Chinese residential kitchen with push-pull ventilation system in winter-a field study[J]. Building and Environment, 2019, 149.
[33] ASTM F1704-2012 Standard Test Method for Capture and Containment Performance of Commercial Kitchen Exhaust Ventilation Systems[S]. 2012.
[34] VDI 2052 Ventilation Equipment for Kitchens[S]. 1999.
[35] Yang-Seon K, Iain S W, William W D. Development of a standard capture efficiency test method for residential kitchen ventilation[J]. Science and Technology for the Built Environment, 2018, 24(02).
[36] Donghyun R, Lance W, Steven N, et al. Reduction of exposure to ultrafine particles by kitchen exhaust hoods: The effects of exhaust flow rates, particle size, and burner position[J]. Science of the Total Environment, 2012, 432.
(责任编辑:张晏榕)