
功率因数是针对不同的负载说的,在之前的直流电时代,是没有功率因数这一说的,那时候功率因数都是1。后来特斯拉将我们带入了交流电时代,从此以后功率因数就常常伴随着我们的身边(一般功率因数都是小于1的)。 下面就给大家讲一讲无功补偿的原理、补偿形式,供大家学习参考。

(1)为什么要进行无功补偿
无功功率绝不是无用功率,在交流供电系统中,电感和电容都是必不可少的负载,如电动机、变压器等铁磁性负载,如果没有感性无功的励磁,设备无法正常工作,比如定距离送电的线路本身,就是容性负载,只要是送电当中就会相当于电容器在工作。那么也就是说在交流供电系统中,无功的存在对能量的传输和交换有着巨大意义,不可缺少,或者说离开无功功率的交换系统就不能正常工作。
那么,大量的无功由哪里来?系统中众多的无功负载,尤其是感性无功负载,正常来讲,这些负载所吸收的无功功率是由发电厂提供的,也就是说发电机在工作时就会向系统释放有功电能,同时对感性负载提供相应的无功电能。发电机运行时必须要保持适当的无功输出,如果没有无功输出就会对发电系统造成破坏性的影响,也就是说保护系统的无功平衡至关重要。
当系统中无功功率需求增大时,如果不在系统人为地安装无功补偿装置,发电厂要通过调相的方式来加大无功功率输出,由于发电机的容量是有限的,那么就势必要减少有功功率的输出量,也就是降低发电机的输出能力,为满足用电的要求,发电机、供电线路和变压器的容量需增大,这样不仅增加供电投资、降低设备利用率,也将增加线路损耗。

为了降低发电厂的无功供给压力,我们在供电系统中感性负载消耗较大的点投入相应的电容器来为感性负载提供无功功率,这样就极大的减轻了发电厂的无功供给压力。用户应在提高用电自然功率因数的基础上,设计和装设无功补偿装置,并做到随其负荷和电压变动及时投入或切除,防止无功倒送。同时将用户的功率因数达到相应的标准,以避免供电部门加收力率电费。因此,无论对供电部门还是用电部门,对无功功率进行自动补偿以提高功率因数,防止无功倒送,对节约电能、提高运行质量都具有非常重要的意义。
(2)无功补偿的基本原理
一般在系统中所说的无功负载大部分是感性无功负载,把具有容性功率负荷的装置与感性功率负荷并联接在同一电路,当感性无功负载吸收能量时,容性负载释放能量,而感性负载释放能量时,容性负荷却在吸收能量,能量在容性负载和感性负载之间交换,这样容性负载所吸收的无功功率可以从容性负荷装置输出的无功功率中得到补偿,无功功率就地平衡掉,以降低线路损失,提高带载能力,降低电压损失及缓解发电厂的供电压力,这就是无功补偿的基本原理。

相位分析无功补偿的基本原理:
电感负载中电流IL滞后电压90°,而纯电容的电流Ic则超前电压90°。电容中的电流与电感中的电流相位相差180°,可以相互抵消。
电力系统中的负载大部分是感性负载,因此总电流I将滞后电压一个角度Φ1,如果将并联电容器与负载并联,这时I′=I+IC,电容器的电流将抵消一部分电感电流,从而使总电流从I降低到I′,相位角由Φ1减少为Φ2,可以提高功率因数,无功就地平衡掉。
(3)无功补偿的补偿形式
1)个别补偿
个别补偿就是对单台用电设备所需的无功就近补偿的办法,把电容器直接接到单台用电设备的同一个电气回路,用同一台开关控制,同时投运或断开。这种补偿方法的效果最好,电容器靠近用电设备,就地平衡无功电流,可避免无负荷时的过补偿,使供电质量得到保证。这种补偿方式常用于高低压电动机等用电设备。但这种补偿方式在用户设备非连续运转时,电容器利用率低,不能充分发挥其补偿效益。
2)分散补偿
分散补偿是将电容器分组安装在车间配电室或变电所各分路的出线上,它可与根据系统负荷的变化投入或切除电容器组,补偿效果也比较好。但造价相对较高。

3)集中补偿
集中补偿是所电容器组集中安装在变电所的一次或二次侧的母线上。这种补偿方式安装简单,运行可靠,但补偿效果较前两种补偿方式差,造价也相对较高。
(4)无功补偿的收益
1) 补偿无功功率,提高功率因数(如下图所示)

2) 降低输电线路及变压器的损耗
合理的补偿可以有效的降低系统电流,以系统自然功率0.7为例,如通过补偿装置将系统功率因数提高到接近1的水平,系统电流将下降30%左右,即线路和变压器的损耗可降为P=I2R=(1-30%)2R=0.49R,即线路和变压器损耗可降低51%。
用电企业的自然功率因数一般在0.7左右,功率因数从0.7提高到0.95以上线损降低率和变压器的铜损降低率如下表:

降低线路及变压器损耗,节约有功电度,是重要的节能措施。如在石油行业中,线路比较长,而且比较复杂,那么可以通过增加无功补偿设备来降低运行电流,从而降低线路损耗,节约有功电度,节能效果明显。
3) 增加电网的传输能力,提高设备利用率
由于补偿装置可以有效的降低系统电流和视在功率,故可以有效的降低电网建设中所有相关设备的容量,从而降低电网建设中的投资。功率因数在0.7左右的系统,由于有效的补偿可使系统电流下降30%,即提高发电厂、变配电设施30%的带载能力。

如果变压器及线路小容量不足时,可以通过安装无功补偿装置的方法解决。安装无功补偿装置可以使无功功率就地平衡,从而减小流过线路及变压器的电流,减缓导线及变压器的绝缘老化速度,延长使用寿命。同时可以释放变压器及线路的容量,增加变压器及线路带负荷能力。
如,有一台100KVA变压器,目前负载率为85%,COSΦ=0.7。如果加装无功补偿设备,可使变压器释放30%的带载量,用户可在变压器不增容的情况下,增加负载,进行扩大再生产。
4) 改善电压质量
由于系统存在的大量感性负载将造成供电线路压降,尤其在供电线路末端更为严重,通过合理的补偿可以有效的缓解线路压降,改善电能质量。
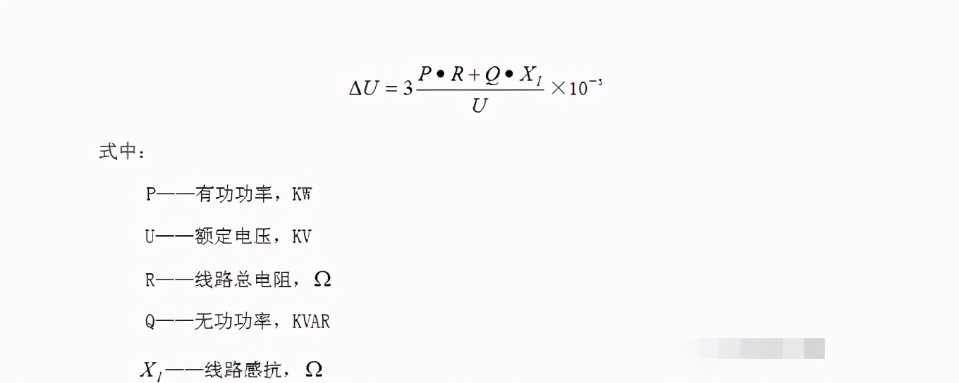
线路中的电压损失的计算公式如下:

由于系统的感抗远远大于阻抗,从上式中可以看到,无功的变化会引起电压产生很大的变化。当线路中,无功功率Q减小以后,电压损失也就减少了。
对于供电线路末端电压一般较低,可通过增加无功补偿装置来提升线路末端电压,使用记设备安全可靠运行。
另一方面,随着工业的发展,大量的自控设备及非线性负载的使用,使大量谐波在供配电网络中的流动,污染电网。通过合理的配置补偿滤波设备,抑制或大幅度降低谐波对供电系统和用电设备的影响是改善电能质量的主要手段之一。
5)节约电费支出
通过合理的补偿,,使计量点的功率因数达到国家标准的要求,可以消除力率电费,从而使电力用户电费支出大幅度降低。

注:动态无功功率补偿装置的有功节能只是降低了补偿点至发电机之间的供配电的损耗。所以高压网侧的无功补偿不能减少低压阀侧的损耗,亦不能使低压供电变压器的利用率提高,根据最佳补偿理论,就地动态无功功率补偿节能效果最为显著。
