
第一作者:Svetltana Menkin
通讯作者:Clare P. Grey
通讯单位:英国剑桥大学,伦敦帝国理工学院
研究亮点:
1. 本文中作者研究了固体电解质中间相(SEI)在Cu上的形成及其对Li镀层的影响,了解Cu集流体表面化学和镀锂形态之间的相互作用。
2. 作者利用固态核磁共振波谱(ssNMR)和电化学阻抗谱(EIS)观察到铜集流体上的天然界面层(N-SEI);循环伏安法(CV)和飞行时间二次离子质谱法(ToF-SIMS)研究表明,N-SEI的性质受铜界面成分的影响;X射线光电子能谱(XPS)研究确定了施加电压与SEI组成之间的关系;扫描电子显微镜(SEM)研究揭示了电镀锂的形态与沉积前电解液中的SEI均匀性、电流密度和静止时间之间的相关性。
3. 作者发现除了典型的SEI成分外,SEI还包含氧化铜(CuxO)及其还原反应产物。作者通过锂电镀效率的原位核磁共振测量观察到寄生电化学反应。
4. 作者提出通过集流体预处理和在第一次电池充电期间控制SEI形成来减轻枝晶形成的策略。
【研究背景】
寻找更高能量密度的可充电锂电池引起了人们对锂金属负极的兴趣。但在全电池中使用过厚的锂金属层会降低实际能量密度并增加安全问题。“无阳极”或“无锂”电池旨在解决这些挑战。“无阳极”或“无锂”电池由锂离子阴极和铜(Cu)集流体组成,阴极包含锂源。然后在充电过程中在集流体上电镀一层薄薄的锂金属。这种类型的电池具有更高的能量密度和在干燥的空气中更易于组装的优势。
固体电解质中间相(SEI)决定了LMB的性能和安全性。它作为金属和电解质之间的中间相,具有复合固体电解质的特性。文献中已经广泛证明,不均匀的SEI成分和形态会引发锂金属负极的不均匀电镀和剥离,产生枝晶导致短路和较低的库仑效率。
现有的关于在铜上形成的SEI的研究表明,与在锂金属负极上形成的SEI相比,SEI的化学成分不同。铜上形成的SEI化学物质包括碳化锂(Li2C2)、碳酸锂(Li2CO3)、CuF2、CuxO、Li2O、OH-(或醇盐)、LiF、聚(乙二醇)和Cu纳米颗粒等物质。有趣的是,由于HF在2V下在Cu表面电催化还原,LiF在Cu上形成,而相同的反应发生在传统石墨负极(~0.25 V)的较低电位下。
虽然已经广泛研究了锂电镀和铜上的SEI形成,但集流体的作用尚未完全确定。本研究着眼于铜集流体的表面化学及其对锂负极性能的影响。主要目标是将化学和电化学反应产物分配给特定过程,量化可逆电沉积和电隔离的锂沉积物(通常称为“死锂”),检测寄生反应和SEI形成反应,并解释电镀锂的不均匀形态。对这些过程的研究有助于了解在Cu上电镀和剥离Li金属的机制以及开发高能量、长寿命、安全的“无阳极”电池。
碱金属阳极上的天然表面氧化膜通常称为天然SEI(N-SEI)。在本研究中,N-SEI的定义扩展到在施加电流或电位步骤之前在Cu集流体上表面形成的但超出Cu上已经存在的钝化层,这是由于浸入电解质中发生的自发反应。在开始电镀锂之前,当电流通过时,Cu集电器上的SEI会进一步演变,这在本研究中被称为电化学SEI(e-SEI)。
文献中铜集流体的典型制备程序是用稀盐酸或浓乙酸进行预处理(集流体分别称为d-HCl-Cu和c-AcH-Cu)。作者对d-HCl表面处理和形成的相应SEI与c-AcH-Cu上的SEI进行了比较,选择了后者。因为据报道c-AcH表面处理会产生更厚和更均匀的Cu氧化物表面层。作者用ssNMR和EIS表明,当Cu集电器浸入基于LiPF6的电解质中时,会在其上立即形成天然中间相(N-SEI)。通过原位NMR在Cu-LiFePO4(LFP)电池的前五个循环过程中观察到寄生电化学反应,导致在Cu上镀锂的效率低于电化学测量的效率。镀锂的形态和镀锂-剥离过程的效率取决于铜氧化物层的均匀性和铜上老化的N-SEI。ToF-SIMS和XPS证明了锂的优先镀层,由SEI的局部组成及其离子电导率决定。
【结果与讨论】

图1
电化学性能
为了研究Cu氧化物层组成对Li金属镀层的影响,作者使用两种不同的氧化物去除程序来去除未处理的Cu金属上的不均匀氧化物-氢氧化物层。图1a显示了两种方法对Cu进行表面处理得到的d-HCl-Cu和c-AcH-Cu用于Cu-Li半电池恒电流电镀的典型锂沉积曲线。图1a中使用的程序被选择用于模拟无阳极锂电池的实际首次充电。该程序用来制备用于SEM和XPS分析的样品,目的是探索Cu上沉积锂的形貌和SEI组成。
为了使用XPS研究在特定电位(e-SEIXV)下形成的SEI的组成,作者施加恒定电流直到达到所需电压;然后在恒定电压保持(图1b,阶段I和II)。为了研究是否存在优先镀锂,恒定电压之后是在相对高的电流(1.2 mA cm-2)下镀锂(图1b,阶段III)。高的锂电镀电流目的在于在较低电压下最大化金属电镀并最小化SEI形成。在电压保持期间,随着适用于施加电压的还原反应发生,电流呈指数衰减(图1c)。电压保持恒定,直到电流信号衰减到可忽略的值(图1b和1c)。选择合适的电压以保持Cu氧化物还原和锂化以及在LiPF6基电解质中形成SEI。然后使用TOF-SIMS研究这些样品。
对于两种表面处理方法,在未施加任何电流之前,Cu-Li半电池中的OCV值都在2.8±0.4V左右波动。OCV的差异归因于Cu表面上氧化铜和氟化铜层的变化以及N-SEI钝化层的自发形成。在纽扣电池之间观察到OCV值的广泛分布,这表明N-SEI形成过程是动态的并且对表面化学和电池组装都很敏感。

图2
为了探索N-SEI的特性,在电池组装后1小时开始对Cu-Cu对称纽扣电池进行EIS测试(图2)。对称d-HCl-Cu电池的Nyquist图显示了对阻塞电极的线性受限扩散的典型响应(图2a)。相比之下,对称c-AcH-Cu电池的奈奎斯特图(图2b)显示出Voigt型等效电路,即典型的表面(钝化)膜。这可能是由于c-AcH-Cu上的Cu(II)氧化物更均匀的钝化或者是形成了更致密的N-SEI。在电池休息5天后,作者发现此时需要额外的RC组件来拟合阻抗响应。尽管总阻抗没有显着变化,但这一结果表明延长休息时间后N-SEI的异质性增加。

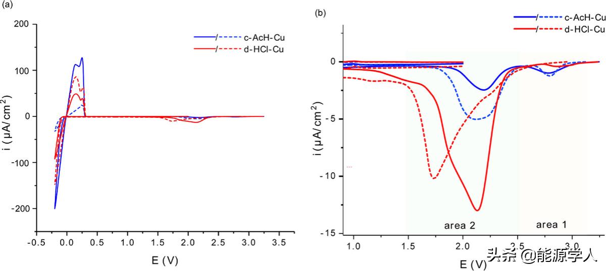
图3
在三电极电池中,在OCV至-0.2V vs Li的电位范围内测量了在c-AcH-Cu和d-HCl-Cu上第一次电镀锂的循环伏安图(CV)(图3)。CV结果显示了三个主要电压范围内的还原峰值。2.5-3.1 V范围内的弱峰(区域1)归因于CuF2的还原反应:2Li++2e-+CuF2Cu+2LiF。有趣的是,在区域1中看到的峰强度在d-HCl-Cu上较低(图3b,红色)。2.3-1.3 V附近的峰值(区域2)归因于氧化铜的还原、CuxO锂化以及通过电催化途径形成的LiF。对于d-HCl-Cu,2V附近的峰面积较大(图3b)。大约0.4到-0.2V的峰值(图3a)是部分可逆的,对应于SEI形成、锂电镀和剥离。在前十个循环中出现了0.4-1V附近的部分可逆峰(以及锂电镀和剥离)。这些峰可归因于可逆的SEI形成反应,例如Li2CO3的可逆还原。
XPS分析

图4
作者通过XPS研究了d-HCl-Cu和c-AcH-Cu箔的表面(图4)。仅在d-HCl-Cu光谱中可见的俄歇铜金属峰(565.0、568.0和572.6 eV)表明裸露区域具有较薄的氧化物层或者没有氧化物形成。并且与c-AcH-Cu和未经处理的Cu金属相比,在d-HCl-Cu表面有一个更异质的氧化层(图4a)。在Cu 2p光谱中观察到931.0-932.4 eV (Cu2p3/2)和951.9-952.2 eV (Cu 2p1/2)处的峰(图4b)和530.2 eV处的O1s峰归结于铜金属和铜(I)铜氧化物。在c-AcH-Cu样品和未处理的铜集流体在Cu2p光谱中观察到的在934.0-935.0 eV处的肩峰、941.0-945.0 eV处的轻微抖动特征以及O1s光谱中的531.0-531.2 eV峰(图4b)表示存在Cu(II)化合物,例如Cu(II)(羟基)氢氧化物。
然后作者进一步使用XPS研究在Cu上形成的N-SEI和e-SEI。N-SEI的XPS分析表明它由Cu氧化物和LiPF6分解产物、LiF和LiPOxFy组成。
e-SEI1.4V(由保持在1.4V的恒定电压形成的SEI)被认为由C-O物种主导,这可以分别从286.6和533.4 eV处的强烈XPS C1s和O1s峰中看出。约10nm的溅射导致了约284.4 eV 处C1s C-C/C-H峰以及C1s 289.7eV和O1s 532.5eV处峰的产生。这些发现可归因于在e-SEI1.4V的表面形成了短的和中等长度的聚(环氧乙烷)类聚合物物质,而在e-SEI1.4V的内层中形成了Li2CO3。同时在e-SEI2V上也观察到了聚合物物质。
e-SEI1.4V的F 1s的XPS谱表明与N-SEI和e-SEI2V的光谱相比,归因于LiF的信号明显不那么显著。然而,在e-SEI1.4V上溅射大约20nm的结果显示,与表面相比,LiF:LiPF6比率增加了近3倍。因此判断LiF主要存在于e-SEI1.4V中间相的内部,其中LiF的形成最有可能发生在静止期和高于1.4 V的电压下。这一发现同时也得到了在2-0.1 V形成的N-SEI和e-SEI上LiF的ToF-SIMS深度剖面的支持。
NMR分析

图5
作者通过19F和7Li ssNMR研究了Cu上的N-SEI和e-SEI。为了增加ssNMR光谱中的信噪比并模拟N-SEI,作者将酸处理的铜金属薄片浸泡在LP30电解质中,然后干燥并装入MAS转子。然而,金属样品的MAS具有挑战性,因为磁场中的旋转会感应涡流,从而导致不稳定的旋转。为了缓解这个问题,作者将样品用干燥的KBr粉末稀释。图5显示了浸在LP30电解液中的锂金属和d氧化物(Cu2O和CuO)粉末的N-SEI的19F NMR谱图。
如图5c所示,对于干燥KBr中的固化电解质,仅观察到对应于LiPF6的信号,表明LiF的产生是电解液在金属表面反应的结果,而不是由于本体电解液的分解或与KBr的反应。这表明含氟N-SEI可以在不施加任何电压的情况下将金属和氧化物浸泡在电解质中形成。该反应可能是由氧化物钝化膜中的水或氢氧化物引发的。-225 ppm处的弱共振是浸泡铜所独有的样品,即Cu上的N-SEI(见图5a)。这种共振没有明显的归属:它通常归属于NaF。然而,在相同样品的23Na ssNMR光谱中并没有看到NaF。
为了比较d-HCl-Cu和c-AcH-Cu上的N-SEI,作者将c-AcH-Cu薄片浸泡在LP30中1-24小时,并用ss NMR进行研究。浸泡24小时后的样品在-131、-142、-151、-170和-184 ppm附近有额外的尖锐共振。这表明N-SEI的形成和LiPF6盐的分解是一个动态过程,高度依赖于Cu表面化学和浸泡时间。

图6
Cu薄片上N-SEI的7Li NMR光谱由10至-10 ppm范围内的单一、相对宽泛的共振组成(图6),对应于SEI内的各种抗磁性含锂物质。c-AcH-Cu浸泡时间短(1小时)的7Li共振与浸泡时间较长的样品(18小时)相比明显更宽(图6)。然而,对于d-HCl-Cu,这种趋势不那么显着。所有N-SEI样品的共振都符合宽分量和窄分量的组合,并且两者具有大致相同的偏移。图6中尖峰中心的位移为-0.7 ppm。共振随浸泡时间变窄可能是由于锂化合物种类的减少,或者更可能是由于形成了更多流动的锂物质。在1h光谱中看到的位移分布大于Li的典型化学位移范围,这表明对展宽的贡献来自顺磁性Cu2+离子或由Cu金属引起的体磁化率效应。因此,共振随浸泡时间变窄可能表明随着时间的推移,Cu上的N-SEI增厚,其中含锂物质离Cu表面更远,并且经历了减小的体磁化率效应。1小时d-HCl-Cu样品上7Li共振的较小展宽可能是由于d-HCl-Cu钝化速度较快。
锂电镀原位核磁共振

图7
作者使用之前开发的原位NMR方法对Cu-LFP电池进行测量以研究Li的电镀和剥离。在电镀之前,7Li NMR光谱显示了来自接近0 ppm的抗磁性物质(即电解质和SEI)的信号和LFP的宽信号。电镀后,在约260 ppm处出现与锂金属沉积物相对应的新信号,向更高频率的转变是奈特位移的结果。图7b显示在d-HCl-Cu上电沉积过程中的锂金属信号在电镀过程中强度增加,在剥离时强度降低。作者在220-300 ppm范围内对7Li光谱进行积分,可以得出NMR测量检测到的锂金属信号的总强度(图7c)。结果表明放电结束时锂金属峰仍然存在,表明形成了死锂。在进一步循环后,在剥离结束时看到的锂金属峰的强度增加,表明死锂在电池中进一步积累,在第五次循环中达到初始镀锂的15%左右(图7c)。电镀和剥离的库仑效率(CE)为92-95%(图7d)。d-HCl-Cu或c-AcH-Cu的实验也产生了类似的趋势。
作者之前的工作表明无负极电池的容量损失归因于SEI、死锂形成和恒电流腐蚀的综合影响,这些都会影响锂在负极上的俘获程度。由于LFP正极大量过剩,并且在每个电镀半周期中通过的电荷是恒定的,因此Li强度的变化反映了三个过程:Li电镀(Liplate),Li失去SEI形成(LiSEI),Li腐蚀(Licorr),即Li信号=Liplate−Licorr−LiSEI。在这里,核磁共振测量的锂强度被归一化为第一次电镀循环。因此,电镀效率的增加(即LiSEI的减少)或后续循环中腐蚀程度的增加预计会导致锂强度的增加。对于第一个循环,通过恒电流循环测量的CE为92%,随着电流的增加增加到94%,然后在四个循环后增加到95%。核磁共振测得的死锂是第一次循环后初始强度的2%,而锂金属信号在第一次和第二次循环之间增加了20%。这种锂金属强度的增加不能仅仅用第一个循环中SEI形成导致锂金属信号的更大损失来解释,因为CE效率的差异不够大。因此,恒电流腐蚀必须在第一个循环中发挥重要作用。在第五个循环结束时,强度增加了44%,可以用SEI形成和死锂增加导致的累积容量损失来解释(达到初始强度的15%)。
SEM分析

图8
作者通过SEM研究了Cu预处理对所得锂金属形态的影响(图8)。在低电流密度和高电流密度(0.03和1.2 mA cm-2,图8,顶部和中间)下,经过短时间(<1小时)后,Li被镀在Cu上。较低的电镀电流产生了更平滑和更致密的锂形态(图8,顶部)。在c-AcH-Cu上,Li对Cu基板的覆盖更好;因此,与d-HCl-Cu相比,c-AcH-Cu上的锂电镀更均匀(分别为图8a和8b)。当锂沉积在c-AcH-Cu上时,在沟槽和铜箔表面都会发生锂电镀(图8a)。在具有复杂几何形状的样品上产生均匀厚度的电镀涂层的能力被称为“高均镀能力”,并且表面膜与电解质相比电阻明显更高。在基于SEI的系统中,使用均质SEI钝化的电极满足此条件。当电镀前的N-SEI形成时间延长至12小时,然后在1.2 mA cm-2下进行电镀时,会形成更厚的锂沉积物(图8,底部)。
镀锂铜上的XPS分析
为了了解SEI中的哪些化合物促进锂电镀,接下来作者通过在d-HCl-Cu箔上电镀锂后制备的样品上使用XPS来研究SEI的空间分布。测量结果显示暴露的Cu表面上的SEI和电镀的锂是由相似的碳复合材料组成的,具有相似的C 1s光谱(图9a和9c)。C 1s光谱主要由表面上的C−C/C−H和−C−O和−O−C-O物种主导,而在10nm溅射额外的峰值出现在289.3和282.2 eV,主要是由于Li2CO3和Li2C2的存在。暴露的Cu表面的O1s光谱在~10nm溅射后显着变化,在528 eV处的新峰归因于Li2O(图9b)。无论是在表面上还是在~10nm溅射后,在镀锂区域的O1s光谱上也观察到了528 eV处的Li2O峰(图9b和9d)。53-54 eV处的Li 1s的峰进一步证实了Li2O的存在。
暴露的Cu区域上SEI的O 1s光谱(图9b)由531.5和532.5 eV的两个宽峰组成,分别归属于表面的OH-和Li2CO3。溅射10nm后,OH−峰占主导地位(大约531.0 eV)。ToF-SIMS在暴露的Cu表面观察到OH−浓度增加。
仅在镀锂区域观察到O 1s峰值为531.2 eV,对应于LiOH或Li2O2因为Li2O2和LiOH的O 1s和Li 1s特征结合能非常接近(图9d)。然而,由于已知Li2O2在XPS光束中更稳定,并且由于该信号在溅射过程中持续存在(图9d),因此该峰暂定为Li2O2。

图9
ToF-SIMS分析
ToF-SIMS用于更深入地了解电压特定的SEI成分对锂电镀的影响。作者在2-0.1 V范围内的恒定电压下形成e-SEI,然后在 1.2 mA cm-2下将 0.1 mAh的锂镀在Cu上(在恒定电压XV下形成的SEI表示为e-SEIXV)。ToF-SIMS样品制备的电压分布如图1b所示。CuO、LiF和OH−(检测到分别为65CuO−、LiF2−和OH−)被映射到250×250 μm2面积的镀锂样品(图10)。 映射是在样品上的一个区域上进行的,该区域明显包含镀锂区域和暴露的铜表面。
图10a和10b描绘了薄膜的镀锂和暴露的Cu区域上的CuO图。有趣的是,在含有锂金属的区域观察到明显的CuO−信号,这表明CuxO存在于锂金属的SEI中。此外,与c-AcH-Cu上的Li相比,在d-HCl-Cu上镀的Li上,Li金属上的Cu氧化物的强度明显更高。为了确定Cu氧化物信号是源自Cu集流体还是源自SEI中的Cu氧化物,作者对Cu图进行了3D重建。因为在整个SEI的深度剖面中都观察到了CuO−信号,甚至在其外层也能发现。所以似乎铜氧化物与SEI混合在一起。当比较电镀和非电镀区域(图10d、f)时,作者发现发现氢氧根(OH-)会产生高对比度图和大不相同的深度剖面。对于暴露的铜区域上的SEI观察到明显更高的OH-信号强度。e-SEI2V和e-SEI0.1V都显示了类似的图。c-AcH-Cu和d-HCl-Cu样品为1V。两个区域的顶面都覆盖着一层薄薄的OH-(图10f)。该层归因于镀锂后沉淀的OH-。在顶层下方,信号强度降低,可能是由于没有OH-基团的SEI化合物沉淀所致。对于d-HCl-Cu和c-AcH-Cu样品,YX平面的更深层显示非电镀表面上的OH−信号强度明显更高。d-HCl-Cu上的e-SEI0.1V中LiF(检测为Li2F3-或LiF2-)信号图(图10c和10e)表明,与OH-信号类似,LiF信号的强度为在没有镀锂的区域中始终较高。这表明在LiF和OH−浓度较低的区域存在优先电镀Li。c-AcH-Cu样品的LiF图也观察到了类似的趋势。

图10
【结论】
1. 由LiF、LiPF6组成的天然无机类SEI层分解产物、Cu氧化物和氟化物,在Cu集流体浸入基于LiPF6的电解液中时自发形成。天然SEI中的LiF是由LiPF6与痕量水的多步反应形成的,并以固体形式和游离Li+和F-离子形式存在。N-SEI的钝化性能受Cu氧化物层的均匀性和化学成分的影响。电池的OCV由铜界面成分、均匀性和形成时间决定。在Cu上电化学形成的SEI由N-SEI作为主层、Cu氧化物还原和锂化产物(LixCuO、Li2O和LiOH)和溶剂还原产物组成。
2. 氧化铜在其形成过程中混合在SEI中并转移到阳极-电解质界面。界面处铜氧化物的还原决定了锂电镀前SEI的组成和电池循环期间SEI的演变。SEI中过渡金属氧化物的存在可能会促使SEI在循环过程中增厚,从而导致快速降解。原位NMR用于研究Cu上的锂电镀效率,揭示了导致容量损失的寄生反应,以及SEI和死锂的形成。
3. XPS和ToF-SIMS分析表明锂沉积优先受低离子导电化合物(LiF、LiOH和Li2O)而不是电子导电化合物(Cu、CuO和Li2C2)的分布控制。因此,作者认为优先电镀的原因是SEI组分离子电导率的显着变化,导致Cu表面电流密度分布不均匀,导致锂覆盖和形态不均匀。
4. Cu上的锂电镀受SEI组分和SEI均匀性之间相互作用的影响。均匀的SEI组成将产生均匀的电流密度和更平滑的锂形态。因为富含OH-的Cu表面促进了SEI的均匀性,尽管它的阻抗较高,但它是优选的。因此,集流体的选择及其处理对于实现实用的“无阳极”电池至关重要。
Svetlana Menkin, Christopher A. O’Keefe, Anna B. Gunnarsdóttir, Sunita Dey, Federico M. Pesci, Zonghao Shen, Ainara Aguadero, and Clare P. Grey*, Toward an Understanding of SEI Formation and Lithium Plating on Copper in Anode-Free Batteries, J. Phys. Chem. C 2021, https://doi.org/10.1021/acs.jpcc.1c03877