(2018010122)
巴哈马是一个北美洲的群岛国家,地处美国佛罗里达州以东,古巴和加勒比海以北,佛罗里达州东南海岸对面,古巴北侧。
群岛由西北向东南延伸,陆地面积13878平方公里,由700多个岛屿及2400多个珊瑚礁组成。海洋法的发展对巴哈马这一群岛国家也有着重要影响,本文将基于LIS128号海洋界限报告,并结合《联合国海洋法公约》对有关巴哈马群岛的海洋边界和主张进行阐述。
关键词:巴哈马群岛;群岛基线;海洋主张;海洋边界
一、巴哈马群岛概述
巴哈马群岛是一个群岛国家,位于美国大陆东南部的北大西洋,在古巴的北部,海地、土耳其和凯科斯群岛(英国)的西北部。群岛由西北向东南延伸,长1223公里,宽96公里,国土总面积(含水域)25.9万平方公里。巴哈马人口36万,85%为黑人、黑白混血种人,12%为白人,其它是少数西班牙裔、印度人和印第安人,还有少数华裔,通用英语。首都拿骚(Nassau),人口25.9万,7月10日为其国庆日(独立日)。
巴哈马群岛由700多个岛屿及2400多个珊瑚礁组成,其中一些用于绘制巴哈马群岛的群岛基线。但700多个岛屿中仅有30至40个有人居住。许多珊瑚礁或因为太小,或缺乏淡水等原因不能住人。群岛的主岛叫新普罗维登斯岛,这个岛并不是巴哈马群岛中最大的,但它的综合条件好,开发得早。因此,巴哈马联邦的首都拿骚,就在这个岛上。巴哈马最大的岛屿是安德罗斯岛。该岛北侧有大巴哈马岛,也是该国第二大城市自由港的所在地。其东侧是阿巴科群岛。巴哈马的最南侧是因那瓜岛。巴哈马的陆地面积有13,878 km2(5,358 sq mi)。由于巴哈马岛屿众多,其专属经济区面积达654,715 km2(252,787 sq mi),排名世界第41位。
巴哈马群岛大部分的地区都属温和的亚热带气候,北回归线横贯中部。在一年之中8月为最热月份,平均气温介于摄氏24度至32度之间;1、2月为最冷月份,平均气温17至25度之间。巴哈马的年均气温约为摄氏23.5度,年平均降水量则在1000毫米上下。
巴哈马是加勒比地区最富裕的国家之一。巴哈马不仅是旅游者的天堂,还是国际金融的中心,被人们称为“ 加勒比海的苏黎士 ”。巴哈马排名全球77个金融中心的第75位。巴哈马的国际金融机构有500多家,仅在 拿骚就有近 400家外资银行。它的国际放贷业务仅次于英、美、日而居于世界的第四位。
2008年12月8日 《巴哈马群岛水域和海洋管辖权(群岛基线)令》 生效,并建立了巴哈马群岛群岛基线的坐标。[1]该法令的生效是为了具体行使巴哈马第37条法令——1993年《群岛水域和海洋管辖权法案》第3.2节所规定的巴哈马的海洋权利。[2] 第37条法令还规定了巴哈马群岛12海里的领海和200海里专属经济区。 此外,巴哈马于1983年7月29*批日**准了1982年《联合国海洋法公约》(海洋法公约),并于1 995年7月28日同意受1994年关于执行《公约第十一部分的协定》的约束 。[3]
二、《联合国海洋法公约》关于群岛国家的规定
《海洋法公约》载有与群岛国家有关的某些规定。 第46条规 定,“群岛国”是指全部由一个或多个群岛构成的国家,并可包括其他岛屿;“群岛”是指一群岛屿,包括若干岛屿的若干部分、相连的水域或其他自然地形,彼此密切相关,以致这种岛屿、水域和其他自然地形在本质上构成一个地理、经济和政治的实体,或在历史上已被视为这种实体。
只有“群岛国家”才能绘制群岛基线。第47条规定了群岛国家在建立群岛基线时必须遵守的地理标准。
根据第47.1条,“群岛国可划定连接群岛最外缘各岛和各干礁的最外缘各点的直线群岛基线,但这种基线应包括主要的岛屿和一个区域,在该区域内,水域面积和包括环礁在内的陆地面积的比例应在一比一至九比一之间。”为了计算这个比率,“土地面积可能包括水域位于岛屿和环礁的边缘珊瑚礁,包括陡峭的海洋高原的一部分封闭或几乎封闭的石灰岩岛屿和干燥珊瑚礁”(第47.7条)。[4]此外,这种基线的长度不应超过一百海里。但围绕任何群岛的基线总数中至多百分之三可超过该长度,最长以一百二十五海里为限(第47.2条)。
第47条还规定,这种基线的划定不应在任何明显的程度上偏离群岛的一般轮廓;除其他例外情况外,不得使用该基线;不得致使另一国的领海同公海或专属经济区隔断(第47.3-47.5条)。
《海洋法公约》进一步反映了群岛国家对其土地和水域领土的具体权利和义务。第五十三条“群岛国可指定适当的海道和其上的空中航道,以便外国船舶和飞机继续不停和迅速通过或飞越其群岛水域和邻接的领海”。此外,第53.12条规定,“如果群岛国没有指定海道或空中航道,可通过正常用于国际航行的航道,行使群岛海道通过权”。
三、巴哈马群岛的海洋边界
(一)巴哈马群岛的群岛基线系统

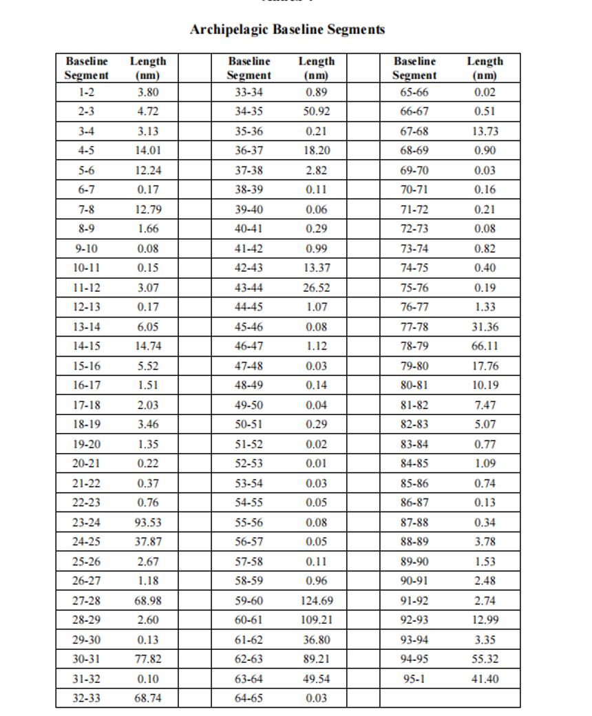
图 1巴哈马群岛群岛基线图
巴哈马群岛是一个群岛国家,由 近700个岛屿、许多较小的领土和水下 河岸组成。巴哈马群岛的群岛基线系统由 95个基线段 组成,长度范围从 0.01海里(52-53段)到124.69海里(59-60段),总长度为 1257海里。 巴哈马群岛的群岛基线系统符合第47.1条规定的陆地面积比。

根据《海洋法公约》第47.2条,两个基线段(第59-60和60-61段)占段总数的2.11%, 长度超过100海里;没有一个段超过125海里。附件4列出了每个部分的长度。

表 1巴哈马群岛群岛基线段
基线的划定没有明显偏离群岛的一般轮廓(第47.3条)。并且没有一个基线是以低潮高低为起讫点划定的(第47.4条)。基线的划定方式也不会切断公海或其他一国领海(第47.5条) 。
因此,2008年《群岛水域和海洋管辖权(群岛基线)令》中规定的巴哈马群岛的群岛基线系统基本符合《海洋法公约》第47条。
(二)领海、专属经济区、大陆架
根据 巴哈马1993年第37号 法令,巴哈马群岛的群岛水域包括被群岛基线所包围的水域。该法进一步确立了巴哈马群岛的领海和专属经济区,分别为12海里和200海里。每个区域的宽度都是从群岛基线开始测量的。
第37号法令没有涉及毗连区或大陆架。2009年5月12日,巴哈马群岛向大陆架界限委员会提交了关于其200海里以外大陆架界限的初步信息。[5]
(三)海洋边界
巴哈马群岛已与古巴建立了海洋边界。2011年签订的巴哈马与古巴的海上边界协议,确定了一个长度约为475海里,由连接69个点的大地测量线组成的边界。边界是基于等距的。

图 2巴哈马-古巴海上边界
截至2014年1月,巴哈马群岛尚未与其他邻国: 美国、海地和联合王国(特克斯和凯科斯群岛)达成海上边界协议。 虽然美国和巴哈马没有商定的海洋边界,但美国根据1976年《渔业保护和管理法》的规定,在1977年《联邦公报》中公布了其渔业执法线。这条线,现在受到美国专属经济区的限制,在1995年《联邦公报》的通知中被重申并公布。2014年1月,巴哈马政府和美国政府正在进行海上边界谈判。
巴哈马1993年第37号法案的一项规定解决了未划定边界的情况。具体来说,关于专属经济区,该 法案第8条规定“这里的中线……距离最近的基线不到200英里,并且目前没有其他线被指定。则巴哈马群岛专属经济区 的外部边界一直延伸到中线。”
四、巴哈马群岛的海洋主张
(一)航行
巴哈马在1993年第37号法案中承认外国船只和飞机在巴哈马海域内的某些航行权利,包括群岛海道通过权以及无害通过群岛水域和领海的权利。在该法案的第11.1条中,巴哈马群岛规定群岛海上通道和空中通道,规定外国船只和飞机通过或飞越群岛水域和邻近领海的航道和航线。第12条规定了巴哈马群岛在群岛海航道内为船舶通行规定分道通航制。
《联合国海洋法公约》中,群岛国可指定适当的海道和其上的空中航道,但“群岛国家应向主管国际组织提出建议,以期得到采纳”(第53条第1和第9款)。作为主管国际组织,国际海事组织“该组织仅可采纳同群岛国议定的海道和分道通航制;在此以后,群岛国可对这些海道和分道通航制予以指定、规定或替换”(第53.9条)。然而,截至2014年1月,巴哈马群岛还没有指定海上航道或规定分道通航制,也没有向国际海事组织提出这方面的建议,也符合《海洋法公约》第53.12条。
巴哈马1993年第37号法案第11.5条规定,“如没有根据第11.1条作出指定,可通过通常用于国际航行的航道,行使群岛海道通过权”。
(二)巴哈马浅滩群争议
巴哈马浅滩群的争议出现在20世纪70年代。1975年,巴哈马受正在进行的第三次联合国海洋法会议启发,提出创新性的海洋权益拓展理念,对巴哈马浅滩群的所有资源提出主张,认为巴哈马浅滩群“不仅是一个独特的地质现象,也不仅限于一个大陆架,而是巴哈马群岛不可分割的部分。”基于此,巴哈马于1975年启用新的渔业法,规定大螯虾(spiny lobster)是巴哈马大陆架的产物,禁止外国人捕捞。美国表示抗议,甚至发生渔船之间的冲突。
对于巴哈马对其浅滩群提出的整体主权主张,美 国采取了搁置争议 的方式,没有就此展开双边磋商。1982年,《联合国海洋法公约》文本磋商完成,巴哈马于1983年7月批准实施《公约》,对浅滩群的海洋权益主张也 调整到公约的法理框架内,争 议不复存在。
在巴哈马 浅滩群 的资源归属权问题上,巴哈马提出的主张是受第三次联合国海洋法会议关于扩大 国家管辖权讨论的启发,具有一定的创新性。然而,该主张既不符合当时海洋法的规定,也未得到国际社会的呼应,被纳入新海洋法体系的可能性很小。美国采取拖延战术,待到新海洋法公约 出台 后,该争议就会自然消解。[6]
五、结语
海洋权益的维护历来是各国所关心的问题。海洋边界涉及到沿海国行使与每个区域法律地位相一致的授权、调整和控制活动的各种海洋区域的不同能力。此外,海洋边界分配了在水体、海床和底土中的国家之间的资源。因此,巴哈马群岛也不例外,其在海洋主张中积极维护本国权益,力求采取和平稳妥的方式来解决海洋边界冲突。
附件1:
《联合国海洋法公约》第四十七条 群岛基线
1. 群岛国可划定连接群岛最外缘各岛和各干礁的最外缘各点的直线群岛基线,但这种基线应包括主要的岛屿和一个区域,在该区域内,水域面积和包括环礁在内的陆地面积的比例应在一比一至九比一之间。
2. 这种基线的长度不应超过一百海里。但围绕任何群岛的基线总数中至多百分之三可超过该长度,最长以一百二十五海里为限。
3. 这种基线的划定不应在任何明显的程度上偏离群岛的一般轮廓。
4. 除在低潮高地上筑有永久高于海平面的灯塔或类似设施,或者低潮高地全部或一部与最近的岛屿的距离不超过领海的宽度外,这种基线的划定不应以低潮高地为起讫点。
5. 群岛国不应采用一种基线制度,致使另一国的领海同公海或专属经济区隔断。
6. 如果群岛国的群岛水域的一部分位于一个直接相邻国家的两个部分之间,该邻国传统上在该水域内行使的现有权利和一切其他合法利益以及两国间协定所规定的一切权利,均应继续,并予以尊重。
7. 为计算第1款规定的水域与陆地的比例的目的,陆地面积可包括位于岛屿和环礁的岸礁以内的水域,其中包括位于陡侧海台周围的一系列灰岩岛和干礁所包围或几乎包围的海台的那一部分。
8. 按照本条划定的基线,应在足以确定这些线的位置的一种或几种比例尺的海图上标出。或者,可以用列出各点的地理座标并注明大地基准点的表来代替。
9. 群岛国应将这种海图或地理座标表妥为公布,并应将各该海图或座标表的一份副本交存于联合国秘书长。
[1] 该命令的文本可从联合国海洋事务和海洋法司(DOALOS)获得,地址为:
http://www.un.org/Depts/los/LEGISLATIONANDTREATIES/PDFFILES/DEPOSIT/bhs_mzn65_2008.pdf.
[2] 法案文本No.37可从DOALOS网站获得,网址为:
http://www.un.org/Depts/los/LEGISLATIONANDTREATIES/PDFFILES/BHS_1993_37.pdf.
[3] 联合国海洋法公约,蒙特哥湾,1982年12月10日开放签署。1994年11月10日,开始生效。1833UNTS397,可从DOALOS获得,在:.http://www.un.org/Depts/los/convention_agreements/texts/unclos/closindx.htm.
[4] 增加第47.7条的引文“是为了适应巴哈马等国家的关切。”DOALOS,《海洋法:群岛国家--《联合国海洋法公约》第四部分的立法史》,1990年,第78页。1974年8月12日,在第三次联合国海洋法会议第二委员会关于群岛议程项目的会议上,巴哈马代表解释了需要这样的规定:“巴哈马银行……提出了一个特别的划界的问题,因为非常浅的水与旱地面积的比例和斜坡的陡度似乎都是无可比拟的。”第三次联合国海洋法会议的正式记录,第1卷,可在:http://legal.un.org/diplomaticconferences/lawofthesea-1982/Vol2.html(第36次会议)。
[5] 巴哈马群岛的初步信息可从DOALOS获得:
http://www.un.org/Depts/los/clcs_new/commission_preliminary.htm.
[6] 李聆群.海上挑战与地区秩序:20世纪美国处理加勒比海地区海洋争端的策略研究[J].太平洋学报,2020,28(05):29-39.DOI:10.14015/j.cnki.1004-8049.2020.05.003.
