盐皮质激素受体拮抗剂(MRA)可有效降低心力衰竭患者的住院率及死亡率。然而,目前尚未明确早期启动MRA对急性心力衰竭患者有何影响。近日,EUR HEART J-CARD PHA 发表的EARLIER试验探究了在急性心衰患者中早期启用依普利酮的有效性和安全性。
医脉通编译整理,未经授权请勿转载。
研究方法
EARLIER试验是一项多中心、随机、双盲、安慰剂对照的平行组研究,旨在比较并评估早期启用依普利酮对急性心衰患者的心血管死亡和因心血管疾病而首次入院的影响。
研究中纳入了年龄≥20岁且左心室射血分数(LVEF)≤40%的患者。患者被分为三个亚组:急性心梗后的心衰患者;有急性心衰,但非急性心梗后患者,收缩压>140 mmHg;有急性心衰,但非急性心梗后患者,收缩压≤140 mmHg。每个亚组中的患者均以1:1比例进行依普利酮或安慰剂治疗。
研究的主要终点为6个月内心血管疾病导致的心源性死亡或首次再入院。
研究结果
2013年6月至2018年4月,研究在日本的27个主要机构入选了300例患者,其中149例患者随机进行依普利酮治疗,151例患者进行安慰剂治疗。患者的平均年龄为66.8岁,27.3%为女性,脑利钠肽(BNP)水平为376.0 pg/ml。两组患者在年龄、LVEF、BNP中位数等方面的基线特征相似,如表1。在依普利酮组和安慰剂组,研究药物的平均治疗时间分别为142.5天和147.9天;遵循处方的患者分别为143例(95.9%)和148例(98%)。
表1 患者的基线特征

1.疗效终点
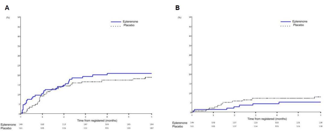
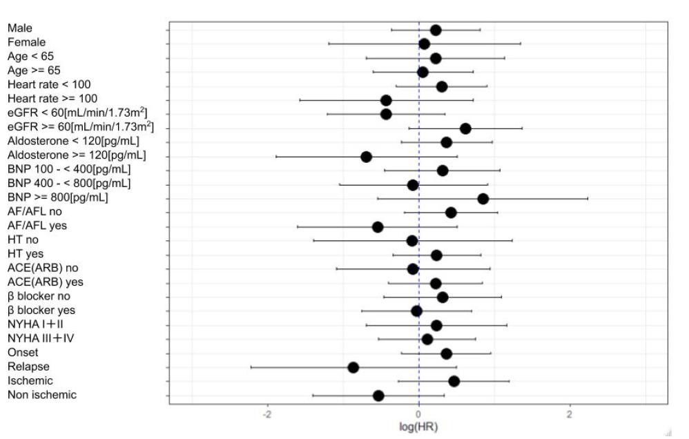
研究显示,患者在6个月内的主要复合终点事件(心源性死亡或因心血管原因首次再住院治疗)无显著差异,依普利酮组和安慰剂组分别有29例(19.5%)和26例(17.2%)患者发生了主要终点事件(HR=1.09;95%CI:0.64–1.86,如表2和图1A。在预先设定的亚组中,依普利酮对主要结局的影响总体一致,如图2。在6个月内,依普利酮组患者有7例(4.7%),安慰剂组有11例(7.3%)发生了因心衰所致的心血管死亡或最初再住院治疗的复合事件结局(HR=0.55;95%CI:0.21-1.43),如图1B。
表2 研究的主要和次要终点事件

图1 Kaplan-Meier图
(A)心源性死亡或因心血管原因首次再住院治疗的主要复合结局;
(B)因心衰所致心血管死亡或最初再住院治疗的复合事件结局

图2 亚组中,心衰所致心血管死亡或首次再住院治疗的复合事件结局的危险比
2.安全性终点
在进行安全性分析时,由于有3例患者(依普利酮组1例,安慰剂组2例)即未进行依普利酮治疗,也未接受安慰剂治疗,故除外了这3例患者。
研究显示,依普利酮组和安慰剂组患者的不良事件发生率分别为79.1%和79.2%;药物不良事件发生率分别为24.3%和18.8%,如表3。依普利酮组和安慰剂组患者的严重不良事件发生率分别为23.0%和20.8%。两组患者间的不良事件或药物不良反应发生率无显著差异。依普利酮组患者更易发生高钾血症(4.1% vs. 2.0%),相比之下安慰剂组患者低钾血症的发生率较低(2.7% vs. 4.7%)。除此之外,依普利酮组有两例患者死亡(均与药物治疗无关),安慰剂组没有患者死亡。
表3 感兴趣的不良事件

3.对超声心动图参数和血浆BNP水平的影响
在入院后6个月,依普利酮组和安慰剂组患者的血浆BNP水平改变分别为64.0 pg/ml和60.8 pg/ml,如表4。超声心动图分析显示,依普利酮组和安慰剂组患者的舒张期左心室大小分别减少4.0%和2.6%,LVEF分别增加18.1%和13.0%,如表4。
表4 超声参数和BNP水平

研究结论
EARLIER试验评估了在急性心衰患者中早期启用依普利酮的疗效。由于没有足够的效力,该试验无法得出依普利酮在6个月内可以降低患者因心衰而发生心血管死亡或首次再住院治疗的风险。两组患者中不良事件的发生率相似,且该试验显示的依普利酮的安全性与其他依普利酮研究相似,包括高钾血症。
医脉通编译自:Masanori Asakura, Shin Ito, Takahisa Yamada, et al. Efficacy and safety of early initiation of eplerenone treatment in patients with acute heart failure (EARLIER trial): a multicenter, randomized, double-blind, placebo-controlled trial. European Heart Journal - Cardiovascular Pharmacotherapy, pvaa132, https://doi.org/10.1093/ehjcvp/pvaa132.