战争理论的核心原则
战争的核心原则是:集中优势兵力F,使用正奇作战方式(方向α),在同一时间t,打击敌人的关键点(作用点),从而兵力的对比优势逐渐扩大,形成正反馈效应,最终以最小的代价获得最大的成果。
如果没有绝对的兵力优势F,那么就应该避免会战,在局部集中优势兵力歼灭敌人,积累兵力优势到绝对兵力反转再进行会战;使用奇袭α,可以出其不意,增加打击的效果;尽可能增加自己准备和打击的时间t,而减少敌人准备和打击的时间,创造时间优势,增大打击成果;如果敌人没有弱点,则通过队形变换,利益引诱,间谍,情报等诡诈(方向α)手段,使敌人做出错误的判断和决策,暴露自己的弱点,然后对弱点(作用点)进行打击,弱点越关键,打击的成果越大。
兰切斯特法则有两个,是军事理论的基础原理,分别为:
第一法则,远距离作战时:战斗力=*器武**性能×兵力数,即E=mv
第二法则,近距离作战时:战斗力=*器武**性能×兵力数的平方,即E=mvv
这里E表示攻击力,m表示*器武**性能,v表示兵力数。战斗力越强,胜利的可能性越大。
兰切斯特第一法则的本质是动量定理,描述逐次投入兵力战斗的情况,是恒力F在时间上的积累效应;第二法则的本质是动能定理,描述同时将所有兵力投入同一地点战斗的情况,是力量F在空间s上的积累效应;第二法则阐述的是力量F在以每一轮战斗来衡量的空间上的积累效应。战斗有逐次投入兵力和同时投入兵力作战的两种基本形式,其他形式的战斗都是这两种基本战斗形式的不同比例组合。

图1 军事学核心原则
在兰切斯特第二法则中,随着命中率的增加,第二法则向第一法则靠近,当命中率百分之百时,第二法则便和第一法则的结果完全相同。第一法则的本质是动量定理,动量定理可以扩展为广义动量定理。在广义动量定理中,有4个要素可以增加成果,分别是力量F、方向α、作用点和时间t,这样就分别有了4个增加成果的主要原则。在力量F中的原则为集中兵力F,尽量争取全局的兵力优势,如果不能,则需要争取局部的兵力优势。在方向α中的原则是奇袭,从而增加兵力优势和精神优势,进而增加成果MV。在作用点中的原则是打击敌人的弱点,一般*队军**的侧翼和背后是弱点,可以通过侧翼战和迂回战来打击这个弱点。在时间t中的主要原则是勿丧失时间,抓住对自己有利的时机进行打击,打击的速度要快,时间要尽量缩短,不给敌人留调整的时间,这样可以有效的增加成果。
第二法则的本质是动能定理,也是一种正反馈效应。集中兵力以产生兵力上的比较优势,随着战斗的进行,比较优势不断加大,最终以较小的代价获得较大的成果。比较优势越大,则付出的代价越小,获得的成果越大。
1 集中兵力 F
1.1 集中兵力获得相对优势
集中兵力,形成局部兵力对比优势,从而以更小的代价获得更大的成果,进而获得胜利。
为什么要集中兵力呢?
集中兵力是为了获得与敌人相比的兵力优势。
为什么要获得对比优势呢?
因为对比优势可以以更小的代价获得更大成果,对比优势越大,代价越小且成果越大,胜利的可能性越大。
为什么对比优势可以以更小的代价获得更大的成果呢?
因为兰切斯特第二法则,在第二法则中,战斗力的大小与兵力的平方成正比,即战斗力大小不是线性增加的而是按照平方增加的。
1.2 兰切斯特第二法则和动能定理
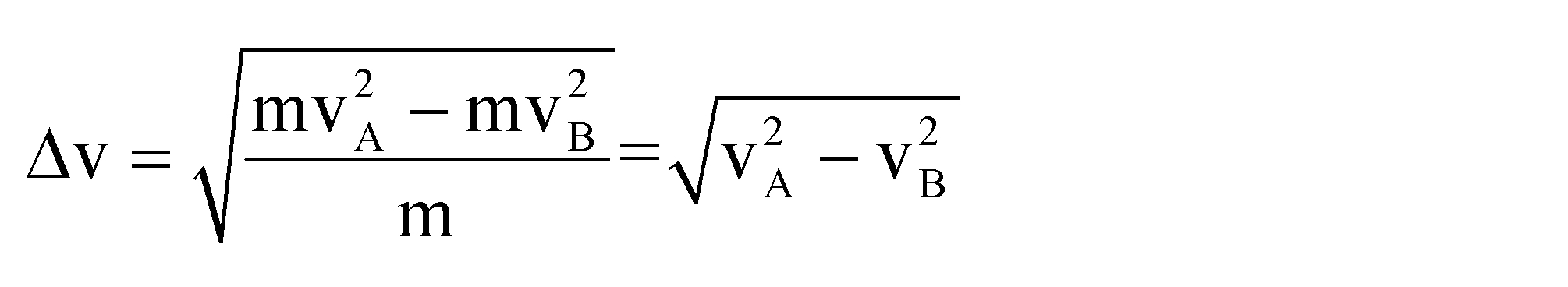
在兰切斯特第二法则中:战斗力=*器武**性能×兵力数的平方,即E=mv2,其中m表示*器武**性能,v表示人数。所以当近距离协同作战时,胜利一方的兵力数量可以通过兰切斯特法则进行计算。

其中Δv表示胜利一方的剩余人数。当双方*器武**性能相同时,可以将*器武**性能m消去,胜利一方的剩余人数如下边公式所示。

当*器武**性能相同时,A方有2000人参战,B方有1000人参战,双方进行近距离的战斗,A方剩余

B方全军覆没。也就是A方使用268人的成本代价换取了乙方1000人。这个状态是一个极限状态。当A方的参战人数是3000人,B方还是1000人时,A方剩余

B方全军覆没。也就是A方使用172人的成本代价换取了B方1000人。
当A方兵力是B方2倍时,A方损失的兵力是B方的26.8%,但是消灭了B方100%的兵力;当A方的兵力是B方的5倍时,A方损失的兵力是乙方的10.1%,但是消灭了B方100%的兵力。

图2 兰切斯特第二法则计算
获得兵力相对优势有2种方法,第一种是自己通过集中兵力来获得兵力的相对优势;第二种是通过分散敌人的兵力,来获得局部的兵力相对优势。
假设A军和B军均有8000人,*器武**性能相同。A军通过1000人来牵制B军的4000人,然后通过剩余的7000人和B军的4000人进行战斗。如果一负一胜,那么A军更占优势。按照兰切斯特第二法则,A军1000人全军覆没,B军4000人剩余3873人;在另一场战斗中,A军7000人剩余5744人,B军4000人全军覆没。A军使用5744人与B军的3873人进行决战,B军全军覆没,A军剩余4242人。兰切斯特第二法则是一种极端情况,现实战争位于兰切斯特第一法则和第二法则之间,兵力相对优势越大,越接近兰切斯特第二法则。所以现实中*队军**都希望尽可能的创造出兵力的相对优势,从而以尽可能小的代价获得更大的成果。
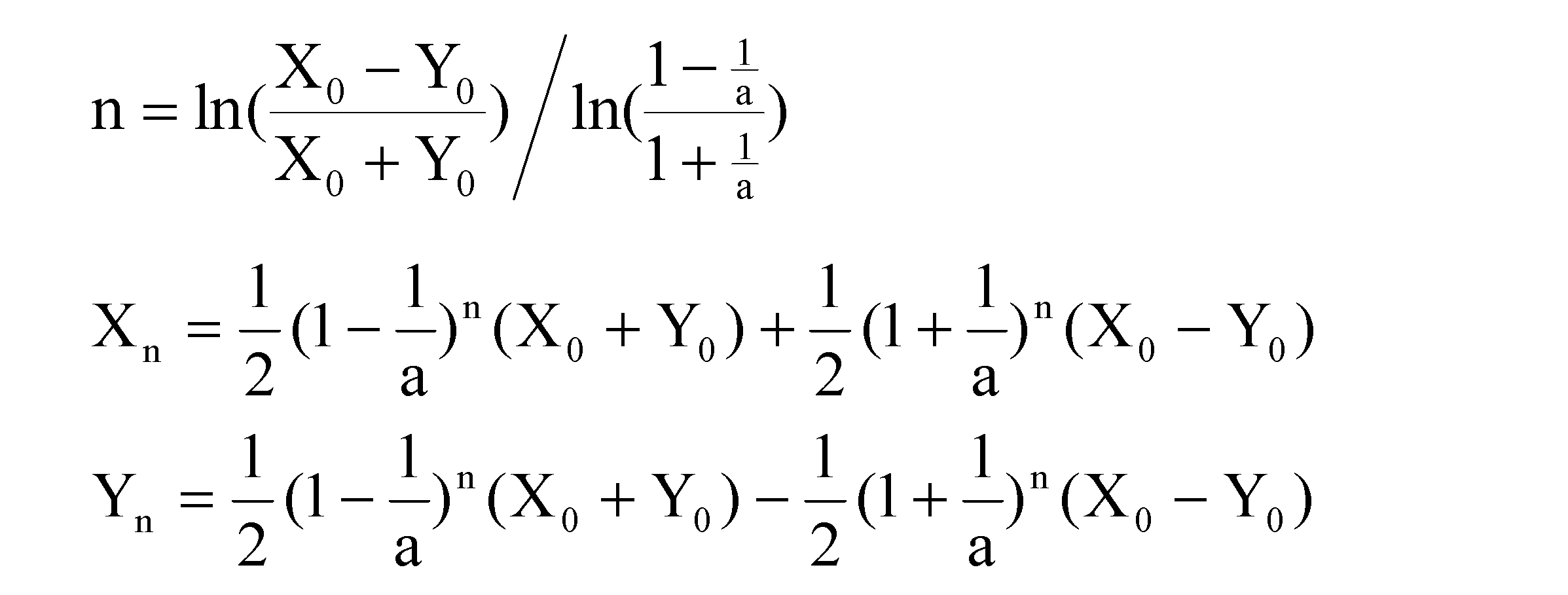
假设A军的初始兵力为X0,B军的初始兵力为Y0,并且X0>Y0,双方的命中率相同,都是中a颗*弹子**阵亡,n表示经过n轮战斗。那么可以通过以下公式求得战斗持续轮数n以及每一轮A军和B军的剩余兵力数。

这两个公式是通过递归方程推导得到,比动能定理的计算结果更准确。
1.3 绝对优势和相对优势
《战争论》的会战四原则的第一条是:用最高的精力使用我们所可能动用的一切兵力。第二条是:尽可能集中兵力在准备作决定性打击的点上。
第一条和第二条原则都是增加力量,从而产生对比优势。从广义动量定理Fαt=MV的角度说,增加力量F可以增加成果。第一条原则是增加全局的兵力,类似于亚当·斯密提出的绝对优势;第二条原则是增加局部的兵力,类似大卫•李嘉图提出了比较优势。
在经济学中,亚当•斯密提出绝对优势理论,各国集中力量生产有绝对优势的产品,然后进行贸易可以增加产出。大卫•李嘉图提出了比较优势理论,处于比较优势的国家,应集中力量生产优势较大的商品,处于比较劣势的国家,应集中力量生产劣势较小的商品然后进行贸易,也可以增加总产出。比较优势理论是国际贸易的基础理论。大卫•李嘉图的比较优势比绝对优势更进一步,即使没有绝对优势,比较优势也可以增加成果。
一个国家的兵力数量在绝对数量上小于另一个国家,这个国家也可以在局部战场,通过集中兵力来获得相对优势,从而赢得局部战争。通过局部战争不断减少与兵力多的国家的对比优势,最终战胜之前有绝对兵力优势的国家。
孙武在《孙子兵法》中写到:“以吾度之,越人之兵虽多,亦奚益于胜哉!故曰:胜可为也。敌虽众,可使无斗。”这段话意思是说:“依我分析,越国的兵虽多,对于决定战争的胜败又有什么帮助呢?所以说,胜利是可以争取到的。敌军虽多,也可以使其无法用全部力量与我交战。”敌人的兵虽多,但是通过各种办法让他们不能参加战斗,那么这部分兵力就被敌人浪费了。参加战斗才能起到*伤杀**敌人的目的,所以克劳塞维茨在《战争论》中写到:“有而不用比用而不当更为不好。一旦需要行动,首先就要使所有的*队军**都行动起来,因为即使是最不恰当的活动,也可以牵制或击败一部分敌人,而完全搁置不用的*队军**,在那时却是完全不起作用的。”
1.4 兰切斯特第二法则和正反馈
假如X队有9名士兵,Y队有6名士兵,双方每人中3颗*弹子**便死亡,双方都是以尽可能多的消灭敌人为目的。X有50%的数量优势。
第一次火拼后,战局发生了戏剧性的变化。X打出9发*弹子**,打死3人;Y打出6发*弹子**,打死2人。X由9:6的优势转变为7:3的优势。X队50%的兵力优势变为大于100%。
第二次交火后,X打出7发*弹子**,打死2人,并且剩余人中有1人中1枪,Y对打出3发*弹子**,打死1人。兵力对比会变为X以6:1占绝对优势。
第三次交战后,X打出6发*弹子**,将Y消灭,Y队打出1发*弹子**,未打死1人。Y队就被彻底歼灭了。
再来看一下双方的伤亡情况。优势兵力(X)伤亡人数仅是劣势兵力(Y队)的一半。
从上边的例子可以看出,最开始X队与Y队的兵力对比是3:2,X队有50%的兵力优势,当经过一轮之后,优势变为了133%,当经过第二轮之后优势变为了500%。相对优势是一个不断加强的正反馈模型。

图3 兰切斯特第二法则和正反馈
在X队和Y队组成的系统中,最开始的输入是X对Y队的相对优势,每一轮交火之后,这个相对优势都在增加,从而使下一轮的相对优势的输入也在增加,最终形成了相对优势不断增大的正反馈过程,从而使得X队以较小的兵力损失,消灭了更多的敌人。
1.5 两面进攻、三面进攻和包围
多面进攻可以增加火力的效果,提高射击的命中率。多面进攻包括两面进攻、三面进攻或者四面进攻,有时也使用包围、口袋阵或者C型包围来表示多面进攻。
三面包围比两面包围所产生的火力协同作用大,四面包围比三面包围产生的火力协同作用大。
三面包围,留有一面不设兵力,这样与四面包围相比,有一面没有抵抗力,敌人有了一条退路。与只能完全抵抗相比,敌人多了一个选择,他们就会更多的选择撤退,减少抵抗的程度,这样会减少我方的伤亡概率,从而增加对方伤亡的概率。并且敌人在边抵抗边撤退的过程中,必然导致队形的散乱,这样就降低了敌人的攻击力。抗战中经常使用的口袋阵就是三面包围。孙武在《孙子兵法》中写道:“围师必阙。”表达的意思就是不要让敌人陷入绝境,如果敌人陷入绝境就会拼死抵抗,这样会增加我方的伤亡。敌人有了逃跑的缺口,敌人一边抵抗一边逃跑,那么敌人就将力量分散在抵抗和逃跑的两个方向上,这样敌人的抵抗战斗力就会大大减弱,从而我方更容易打败敌人。从经济学的角度来说,专业化就是将力量用于一个方向,这样会增加成果。而敌人将力量分散于两个方向上,就会减少敌人的*伤杀**效果。
如果兵力强大到足以四面包围敌人,由于兵力差距较大,敌方容易失去胜利和逃亡的信心,减少抵抗的程度;有时甚至放弃抵抗,彻底投降。中国古时,刘邦层层兵力围困项羽于垓下,四面唱起楚歌,导致项羽*队军**绝望,项羽率小部分人马突围,最后自刎于乌江。四面包围也可能起到反作用,导致敌军认为生存无望,但却不想投降。敌军可能孤注一掷,无畏死亡,提高了敌军的士气,提高了敌军的战斗力,最后敌军虽然被歼灭,但我方伤亡也增加许多。
所以两面包围,三面包围和四面包围要根据环境,敌我之间的力量对比以及推测每种包围产生的效果最大,伤亡最小,最后选择一种合适的包围方式。
2 奇袭 α
《战争论》的会战四原则的第三条是:不可浪费时间,行动快速可以获得先机。奇袭,为获致胜利的最强力因素。
克劳塞维茨在《战争论》中写道:“出敌不意在战略上起的作用比在战术上重要得多;它是导致胜利的最有效的因素。法国皇帝、弗里德里希二世、古斯达夫·阿道夫、凯撒、汉尼拔、亚历山大都是由于行动迅速而得到了极大的声誉的。”
奇袭就是出敌不意地发起进攻,使敌措手不及,以取得战斗力对比优势的行动。奇袭是对兵力不同的使用方式,通过攻击敌人意想不到的地方,可以达到比较优势,即兵力和精神双方面的比较优势,从而以众击寡,达到以少量损失获得大量利益的目的。从广义动量定理Fαt=MV的角度说,在力量F大小不变的情况下,通过改变力量的使用方式α可以改变成果,奇袭是通过改变力量的使用方式来增加成果。
克劳塞维茨认为出敌不意可以获得兵力优势和精神优势,他在《战争论》中写道:“为了达到上一章所谈的到处要争取的相对优势,就必然要到处争取出敌不意。一切行动都是或多或少以出敌不意为基础的,因为没有它,要在决定性的地点上取得优势简直是不可想象的。
因此,出敌不意是取得优势的手段,但除此以外,就其精神效果来看,它还可以看作是一个独立的因素。非常成功的出敌不意会使敌人陷于混乱和丧失勇气,从而会成倍地扩大胜利,这有许多大的和小的例子可以说明。”
日本军事学书籍《作战理论入门》认为奇袭可以达到增加精神和兵力的比较优势的目的。书中写到:“奇袭的效果首先是给敌以精神冲击,削弱其无形战力,即造成敌指挥混乱,士气低落等,其次是通过我方迅速打击,使敌人难以发挥有形战斗力(人员和*器武**等)。两者结合起来,即可达到有效地限制散人发挥战力,使我取得战斗力对比的优势的目的。”
奇袭需要什么因素呢?
克劳塞维茨认为奇袭需要隐蔽和秘密两个因素,他在《战争论》中写到:“秘密和迅速是出敌不意的两个因素,而两者是以政府和统帅具有巨大的魄力和*队军**能严肃地执行任务为前提的。软弱和松懈是不能达到出敌不意的。
进攻战的最重要的原则之一就是出敌不意。越能用奇袭的方式进攻,就越能取得胜利。防御者可以利用他的措施的秘密性,利用他的部队的隐蔽配置做到出敌不意,而进攻者只有利用突然的接敌运动才能做到出敌不意。
不过,这种现象在现代战争中是很少见的。其原因一方面在于,现在人们有了更好的警戒措施,另一方面在于,战争进行得很快,作战中很少出现可以使一方松懈下来和使另一方有机会突然袭击的较长的间歇。”
《作战理论入门》认为奇袭需要力量和速度这两个因素,书中写到:“奇袭首要的是不给敌以应变的时间,因而就需要力量和速度。”这其中速度和时间表达的是相同的意思,不给敌人应变时间就是时间短,而完成的目标是既定的,那么只能通过提高速度来缩短时间,类似于路程=时间×速度,路程不变的前提下,时间越短,速度就需要越快。
综上两种看法,奇袭需要隐蔽、秘密、力量和速度四种要素。要保守自己奇袭想法的秘密,隐蔽的进行部队的兵力配置,并且在兵力的力量上最好可以达到局部的比较优势,并且在执行过程中需要快速,以防止秘密泄露和兵力配置被敌人发现。如果敌人知道了你奇袭的秘密,那么敌人就会有所准备,即使敌人没有知道你奇袭的秘密,但是发现了你的兵力配置,也可以对此进行准备,从而使你的奇袭落空。
克劳塞维茨认为奇袭在战争中少见是因为对方有警戒以及战争进行速度快而无时间奇袭。战争进行的速度是由交战双方共同决定的,那么警戒就成了应对奇袭的一个较好的方法。
3 打击弱点
《战争论》的会战四原则的第二条是:尽可能集中兵力在准备作决定性打击的点上。
克劳塞维茨在《战争论》中写道:“第二个原则是:在将要进行主要进攻的地点上尽可能多地集中兵力,为了在这个主要地点上更有把握地取得胜利,宁可在其他地点上忍受不利。主要地点的胜利将消除其他的一切不利。”
从广义动量定理Fαt=MV的角度说,打击的作用点越关键,获得的成果越大。
在陆军的兵力配置中,一般弱点在侧翼和背后,所以军事学家都争取迂回侧翼或者背后,迂回背后不仅可以攻击敌人的背后,还可以威胁敌人的交通线,从而切断敌人的兵力和物资补给,使得敌人陷入孤立无援的境地。
法国军事学家安德烈·博福尔认为陆军的侧翼是弱点,因为横线队形的两端没有人掩护,所以是个弱点。博福尔在《战略入门》中写道:“会战有多种不同的类型,但是会战的结构可以简化为一个相当简单的公式。陆上会战的主要特征就是两道由战斗人员组成的人墙彼此对立地排列着。产生这种横线队形是由于每个人都需要在他的侧面和后方获得其邻人的掩护。每个人都应掩护他人,同时也应受他人掩护,所以必然的结果是形成这样的横列,其队形的密集程度和纵深的大小根据当时的战术决定。不过,当你达到横列的端点时,那里就不再有侧面保护。所以在整个部署上,侧翼明显是最易于遭受损害的部分。正由于侧翼的易损性,人们企图用迂回和包围对方侧翼的手段寻求胜利,并试图使自己的战斗正面比敌人的长。”
从逻辑上来讲,敌人使用会使用它的强点来攻击你,那么正面的兵力配置肯定是强点,那么相对来说,侧翼和背后就是弱点。
克劳塞维茨在《战争论》中写道:“一个部队如果翼侧和背后都受到敌方的攻击,就会很快陷于完全无法退却的困境。这是一种接近于完全无法继续战斗的处境,必须设法摆脱它,或者预先防止陷入这种境地。为此而采取的行动一开始就具有巨大的作用一一主要是使敌人对后果产生顾虑。因此,兵力配置的几何形式是产生上述作用的一个很重要的因素。
被迫同敌人两面作战,这是危险的;没有退路,这是更严重的危险。这两种情况都可以瘫痪*队军**的运动和削弱其抵抗力,因而影响胜负。而且,在战败时,这两种危险会增大*队军**的损失,甚至往往会使损失增大到最大限度,也就是说,使*队军**达到被消灭的程度。因此,背后受到威胁不仅能使失败的可能性更大,而且能使失败更加严重。
因此,在全部作战过程中,特别是在大大小小的战斗中,人们就本能地要保障自己的背后和威胁敌人的背后。我们认为努力争取保障自己背后和威胁敌人背后是战斗中最紧迫的任务,而且是一个到处都应该努力争取实现的任务。
主要攻击应该指向敌人的一翼,其方法是从正面和侧面攻击这一翼,或者以全部兵力对它进行迂回,从背后进行攻击。只有胜利地切断敌人的退路,才能取得重大的成果。”
李德·哈特说:“朝着敌人‘自然期待的路线’采取行动,必将使敌人得以改善态势,因而增强其抵抗能力。”而敌人的正面是他期待你进攻的路线,敌人准备用他的正面进攻你,也期待你进攻他的正面,所以正面是强点。
4 不丧失时间 t
《战争论》的会战四原则的第三条是:不可浪费时间,行动快速可以获得先机。奇袭,为获致胜利的最强力因素。克劳塞维茨在《战争论》中写道:“第三个原则是:不丧失时间。如果我们从推迟行动中不能得到特别重大的利益,那么尽可能快地行动就很重要。我们行动迅速,就能使敌人的许多措施在其准备过程中就遭到破坏,就能首先得到舆论的支持。”
从广义动量定理Fαt=MV的角度说,增加时间t可以增加成果,因为战争是双方力量的对抗,增加自己的时间,减少敌人的时间,从而产生时间对比优势,就可以比敌人获得更多的成果。
李德·哈特在战争中要获得时间优势,保证自己有时间集中兵力,而不给对手留时间来集中兵力,这样就可以形成兵力上的比较优势。他在《战略论:间接路线》中写到:“集中力量来对付敌人的弱点。假使要使这句话有任何真正的价值,那么我们就要更进一步的解释着说:为了要能集中力量,以来打击敌人的弱点,就先要使敌方的力量分散。要使敌方的力量分散,那么首先你自己至少要作一部分的分散,以造成一种形势来引诱敌人。结果遂变成了下述的一连串程序一一你的分散,他的分散,然后才是你的集中。真正的集中即为有计划分散的后果。这样我们对于这个基本的原则,就有了比较深刻的认识,足以预防我们触犯一种基本错误,也是最普通的错误,那即是:使你的对手,有自由和时间来集中他的兵力,而用以对抗你的集中兵力。”
孙武也强调了缩短战争时间的重要性,因为长时间的作战会导致国家衰亡。他在《孙子兵法》中写道:“其用战也胜,久则钝兵挫锐,攻城则力屈,久暴师则国用不足。夫钝兵挫锐,屈力殚货,则诸侯乘其弊而起,虽有智者不能善其后矣。故兵闻拙速,未睹巧之久也。夫兵久而国利者,未之有也。”孙子的意思是说:动用庞大的*队军**作战,就需要力求速胜。旷日持久就会使*队军**疲惫,锐气挫伤;攻城就会使战斗力耗损,让*队军**长期在外作战,会使国家财政经济难以维持。如果*队军**疲惫、锐气挫伤、军力耗尽和经济枯竭,那么列国诸侯就会乘此危机起兵进攻,到那时即使有能力再高明的人,也无法挽回危局。所以,用兵打仗只听说宁可指挥笨拙而求速胜的,没见过为讲究指挥精巧而使战争旷日持久的现象。战争久拖不下而对国家有利的情形,从来未曾有过。
摘自《可以量化的军事学》

《可以量化的军事学》全书结构