袁晓静
邢台市交通运输综合行政执法支队
摘 要: 为解决目前软土路基沉降监测方法去除噪声数据不完全、对沉降规律监测造成干扰的问题,提出一种物联网环境下桥梁工程过渡段软土路基监测方法,对物联网监测设备结构、监测终端和监控中心的结构组织、通信选择GPRS进行设计,并对设计的监测设备结构下的监测过程进行研究。使用嵌入式小波神经网络模型对获取监测数据进行去噪,经过计算得到阈值,剔除监测数据中的噪声数据。在监测方法的性能分析实验中,分别使用传统监测方法和设计的沉降监测方法在三个软基路段进行测试,实验结果表明,设计的监测方法得到的观测曲线经过数据降噪后趋近于平滑,更加符合实际情况。
关键词: 物联网环境;桥梁工程;过渡软基;路基沉降监测;
作者简介: 袁晓静(1988—),女,工程师,研究方向为道路桥梁工程。;
0 引言
在桥梁施工中,部分地基会发生置换,因此利用喷粉桩对软基进行加固成为了常用的软土路基加固手段。但在桥梁建设过程中,软土路基会发生一定的沉降,在桥梁建成后的运营期,由于承受路面荷载,也会出现沉降的情况。当过渡段的软土路基发生沉降时,会导致桥梁形变,存在一定的安全隐患。为保证工程寿命和行车安全,对软土路基进行沉降监测是非常必要的。
在研究路基沉降监测的方法中,文献1[1]方法主要应用了回弹模量指标代替压实度,该指标能在监测的过程中反映路基抗变形能力,设计实时在线监测,实现软土路基沉降的监测。文献2[2]中主要根据顶管施工的一般规律,利用高精度的Trimble S9/S9 HP全站仪和圧差式静力水准仪进行沉降监测的方案布设,并进行了性能分析。两种监测方法在应用中均取得了一定效果。传统的软土路基沉降监测中,得到的沉降监测数据中会存在噪声,对沉降规律的研究造成一定干扰。因此,本文设计一种物联网环境下桥梁工程过渡段软土路基监测方法。
1 物联网环境下桥梁工程过渡段软土路基沉降监测研究
1.1 设计物联网监测设备结构
对于物联网环境下的桥梁工程过渡段软土路基沉降监测,图像式的在线监测可监测复杂多变的软土路基,获得观测数据,从而发现其沉降形变量[3,4,5]。沉降监测的关键是路基断面上所发生的沉降变形,但在桥梁工程中,路基软基的施工监测条件较差。因此在监测过程中,需先对物联网环境下的监测设备(图1)进行设计。

图1 物联网环境下的监测设备的测量示意图 *载下**原图
图1中主要包括桥梁工程过渡段路基软基的沉降变形监测终端及监控中心。在监测终端里,主要的辅助装置有蓄电池、倾角传感器等,数字信号处理器等嵌入式系统可完成数据存储及光斑图像采集等工作,对于光斑的中心定位有较好的监测效果,该监测装置主要利用GPRS进行通信。监控中心主要由报警装置、图像数据处理及控制中心构成,通过修正靶面的位置计算出沉降量,并剔除数据中的噪声。在监测过程中,将图1中的激光器放置在软土路基上,由激光器发射激光,照射到靶面上,形成光斑。当软土路基发生形变或沉降,激光器的位置就会发生改变,光斑也会相应发生位移。监测过程示意图如图2所示。
在沿着桥梁方向的两侧放置沉降监测终端,并在其正前方安装投影靶面。至此完成物联网监测设备结构的设计。
1.2 沉降数据处理
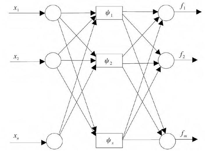
沉降监测的环境恶劣,导致观测数据中会存在很多的噪声数据。这些噪声数据虽在整体的监测结果中影响不大,但会对工作人员造成一定的困扰。因此在本文的沉降监测方法中,需对数据进行处理。本文引入小波神经网络模型对沉降监测数据进行去噪,主要使用阈值去噪法,较适合沉降监测数据中心混入白噪声的情况。该方法通过设置一个阈值作为门限,将低于该阈值的数据视为噪声,从而达到去噪的目的,本文使用的小波神经网络模型为嵌入式模型(见图3)。

图2 监测过程 *载下**原图

图3 嵌入式小波神经网络 *载下**原图
此种嵌入式小波神经网络是将小波变换与人工神经网络进行嵌套的一种网络模型。利用小波函数、尺度因子与平移因子代替传统人工神经网络中的激活函数、权值与阈值。假设在沉降监测中的样本形式为{x(i),i=1,2,...,n},得到的样本与预测值之间存在的非线性映射关系,进一步得到目标函数:

式(1)中:f为样本与预测值之间的映射函数;k为大于0的自然数。
根据小波神经网络的嵌入式结构,可以将连续小波函数进行分解。为提高去噪算法的收敛速度,需要将学习步长进行优化,输入训练样本,计算出输入值的梯度,完成阈值的设定。至此完成物联网环境下桥梁工程过渡段软记录及沉降监测的研究。
2 试验与分析
2.1 工程概况
为验证本文设计的物联网环境下桥梁工程过渡段软土路基沉降监测方法具有一定的有效性,选择某桥梁施工段作为监测对象。该工程为A市到B市铁路站前5标,线路全长28.201km。桥梁17座,共计8 094.3延米;隧道5座,共计14 989m;区间路基22段,长度4 120.6m;车站1座(除站房、雨棚);框架桥2座;涵洞4座;梁场1座(大观制(存)梁场);南川北综合工区(站前工程);无砟道床56.15km。路基地段岩溶塌陷分区表如表1所示。
表1 路基地段岩溶塌陷 *载下**原图

本文的方法性能测试将在此工程路段下,分别使用本文设计的监测方法和传统监测方法进行测试。
2.2 沉降变形监测点布置
在选择的工程区段中,将混凝土预制桩作为实验中工作基点的标识。在软土路基的两侧,距离线路中心线50~200m范围内埋设72个监测基点,沉降监测点的布置要求需要满足规范的要求。观测点的布置如图4所示。

图4 观测点布置 *载下**原图
在观测过程中,根据工程的施工进度,将沉降的监测周期设置为7d,分别得到两种方法的观测数据,数据经过处理后,与该观测点的实际沉降结果进行对比。
2.3 试验结果对比与分析
在以上工程环境下,选择沉降观测点的两种监测结果进行数据对比,如表2所示。
表2 沉降监测结果 *载下**原图

将表2的观测结果进行数据处理,图5为本文监测方法经过数据处理后的沉降监测信号与传统的数据处理信号的对比曲线。

图5 两种沉降监测数据对比 *载下**原图
从图5的数据可看出,本文设计的沉降监测方法得到的沉降观测数据经过去噪后,得到的观测曲线趋*平近**滑,由于较好地去除了监测数据中的噪声,沉降数据更加符合实际情况,易于发现其中规律。
3 结语
本文针对现有的桥梁工程过渡段软土路基沉降监测方法所存在的缺陷,在物联网环境下对沉降监测方法进行了改进。设计物联网监测设备结构与监控中心结构组织,通信选择GPRS,并对设计的监测设备结构下的监测过程进行研究;在得到监测数据后使用嵌入式小波神经网络模型对得到的监测数据进行去噪,经过计算得到阈值,剔除监测数据中的噪声数据。试验结果表明,设计的监测方法具有一定的有效性。本文方法仍存在一些缺陷,在今后的研究中需进一步探索。
参考文献
[1] 荣智,李浩.基于回弹模量法施工的公路路基工后沉降监测[J].施工技术,2020,49(S1):1316-1319.
[2] 宋中华,田慧,宋帅. Trimble S9/S9 HP全站仪在铁路顶管施工路基面的精密沉降监测中的应用[J].测绘通报,2020(6):153-155.
[3] 王春雷,陈澍洋,张晓春.桥头软基不均匀沉降的管桩处治设计研究与仿真分析[J].公路交通科技(应用技术版),2019,15(2):141-144.
[4] 陕耀,陆义,周顺华,等.有轨电车桩板结构路基与道路路基横向差异沉降离心试验研究[J].岩石力学与工程学报,2020,39(5):1049-1060.
[5] 章苏亚,赵腾飞,周洁.长短桩加筋路基在处治桥头差异沉降中的研究[J].中外公路,2020,40(1):17-21.

声明: 我们尊重原创,也注重分享。有部分内容来自互联网,版权归原作者所有,仅供学习参考之用,禁止用于商业用途,如无意中侵犯了哪个媒体、公司、企业或个人等的知识产权,请联系删除(邮箱:glyhzx@126.com),另本头条号推送内容仅代表作者观点,与头条号运营方无关,内容真伪请读者自行鉴别,本头条号不承担任何责任。