
一、一般规定
《混凝土结构设计规范》GB50010-2010(2015 年版)
3.5.2 混凝土结构暴露的环境类别应按表 3.5.2(表略)的要求划分。
3.5.3 设计使用年限为 50 年的混凝土结构,其混凝土材料宜符合表 3.5.3(表略)的规定。
4.1.2 素混凝土结构的混凝土强度等级不应低于 C15;钢筋混凝土结构的混凝土强度等级不应低于 C20;采用强度等级 400MPa 及以上的钢筋时,混凝土强度等级不应低于 C25。
预应力混凝土结构的混凝土强度等级不宜低于 C40,且不应低于 C30。承受重复荷载的钢筋混凝土构件,混凝土强度等级不应低于 C30。
《建筑抗震设计规范》GB50011-2010(2016 年版)
6.1.3 钢筋混凝土房屋抗震等级的确定,尚应符合下列要求:
1 设置少量抗震墙的框架结构,在规定的水平力作用下,底层框架部分所承担的地震倾覆力矩大于结构总地震倾覆力矩的 50%时,其框架的抗震等级应按框架结构确定,抗震墙的抗震等级可与其框架的抗震等级相同。
注:底层指计算嵌固端所在的层。
2 裙房与主楼相连,除应按裙房本身确定抗震等级外,相关范围不应低于主楼的抗震等级;主楼结构在裙房顶板对应的相邻上下各一层应适当加强抗震构造措施。裙房与主楼分离时,应按裙房本身确定抗震等级。
3 当地下室顶板作为上部结构的嵌固部位时,地下一层的抗震等级应与上部结构相同,地下一层以下抗震构造措施的抗震等级可逐层降低一级,但不应低于四级。地下室中无上部结构的部分,抗震构造措施的抗震等级可根据具体情况采用三级或四级。
4 当甲乙类建筑按规定提高一度确定其抗震等级而房屋的高度超过本规范表 6.1.2 相应规定的上界时,应采取比一级更有效的抗震构造措施。
6.1.4 钢筋混凝土房屋需要设置防震缝时,应符合下列规定:
1 防震缝宽度应分别符合下列要求:
1) 框架结构(包括设置少量抗震墙的框架结构)房屋的防震缝宽度,当高度不超过 15m 时不
应小于 100mm;高度超过 15m 时,6 度、7 度、8 度和 9 度分别每增加高度 5m、4m、3m 和 2m,宜加宽 20mm;
2) 框架-抗震墙结构房屋的防震缝宽度不应小于本款 1)项规定数值的 70%,抗震墙结构房屋
的防震缝宽度不应小于本款 1)项规定数值的 50%;且均不宜小于 100mm;
3) 防震缝两侧结构类型不同时,宜按需要较宽防震缝的结构类型和较低房屋高度确定缝宽。
2 8、9 度框架结构房屋防震缝两侧结构层高相差较大时,防震缝两侧框架柱的箍筋应沿房屋全高加密,并可根据需要在缝两侧沿房屋全高各设置不少于两道垂直于防震缝的抗撞墙。抗撞墙的布置宜避免加大扭转效应,其长度可不大于 1/2 层高,抗震等级可同框架结构;框架构件的内力应按设置和不设置抗撞墙两种计算模型的不利情况取值。
6.1.5 框架结构和框架-抗震墙结构中,框架和抗震墙均应双向设置,柱中线与抗震墙中线、梁中线与柱中线之间偏心距大于柱宽的 1/4 时,应计入偏心的影响。
甲、乙类建筑以及高度大于 24m 的丙类建筑,不应采用单跨框架结构;高度不大于 24m 的丙类建筑不宜采用单跨框架结构。
6.1.7 采用装配整体式楼、屋盖时,应采取措施保证楼、屋盖的整体性及其与抗震墙的可靠连接。装配整体式楼、屋盖采用配筋现浇面层加强时,其厚度不应小于 50mm。
6.1.9 抗震墙结构和部分框支抗震墙结构中的抗震墙设置,应符合下列要求:
1 抗震墙的两端(不包括洞口两侧)宜设置端柱或与另一方向的抗震墙相连;框支部分落地墙的两端(不包括洞口两侧)应设置端柱或与另一方向的抗震墙相连。
4 矩形平面的部分框支抗震墙结构,其框支层的楼层侧向刚度不应小于相邻非框支层楼层侧向刚度的 50%;框支层落地抗震墙间距不宜大于 24m,框支层的平面布置宜对称,且宜设抗震筒体;底层框架部分承担的地震倾覆力矩,不应大于结构总地震倾覆力矩的 50%。
6.1.10 抗震墙底部加强部位的范围,应符合下列规定:
1 底部加强部位的高度,应从地下室顶板算起。
2 部分框支抗震墙结构的抗震墙,其底部加强部位的高度,可取框支层加框支层以上两层的高度及落地抗震墙总高度的 1/10 二者的较大值。其他结构的抗震墙,房屋高度大于 24m 时,底部加强部位的高度可取底部两层和墙体总高度的 1/10 二者的较大值;房屋高度不大于 24m 时,底部加强部位可取底部一层。
3 当结构计算嵌固端位于地下一层的底板或以下时,底部加强部位尚宜向下延伸到计算嵌固端。
6.1.14 地下室顶板作为上部结构的嵌固部位时,应符合下列要求:
1 地下室顶板应避免开设大洞口;地下室在地上结构相关范围的顶板应采用现浇梁板结构,相关范围以外的地下室顶板宜采用现浇梁板结构;其楼板厚度不宜小于 180mm,混凝土强度等级不宜小于 C30,应采用双层双向配筋,且每层每个方向的配筋率不宜小于 0.25%。
2 结构地上一层的侧向刚度,不宜大于相关范围地下一层侧向刚度的 0.5 倍;地下室周边宜有与其顶板相连的抗震墙。
3 地下室顶板对应于地上框架柱的梁柱节点除应满足抗震计算要求外,尚应符合下列规定之一:
1) 地下一层柱截面每侧纵向钢筋不应小于地上一层柱对应纵向钢筋的 1.1 倍,且地下一层柱
上端和节点左右梁端实配的抗震受弯承载力之和应大于地上一层柱下端实配的抗震受弯承载力的
1.3 倍。
2) 地下一层梁刚度较大时,柱截面每侧的纵向钢筋面积应大于地上一层对应柱每侧纵向钢筋面积的 1.1 倍;同时梁端顶面和底面的纵向钢筋面积均应比计算增大 10%以上;
4 地下一层抗震墙墙肢端部边缘构件纵向钢筋的截面面积,不应少于地上一层对应墙肢端部边缘构件纵向钢筋的截面面积。
6.1.15 楼梯间应符合下列要求:
2 对于框架结构,楼梯间的布置不应导致结构平面特别不规则;楼梯构件与主体结构整浇时,应计入楼梯构件对地震作用及其效应的影响,应进行楼梯构件的抗震承载力验算;宜采取构造措施,减少楼梯构件对主体结构刚度的影响。
3 楼梯间两侧填充墙与柱之间应加强拉结。
6.1.17 高强混凝土结构抗震设计应符合本规范附录 B 的规定。
《高层建筑混凝土结构技术规程》JGJ3-2010
3.3.1 A 级高度钢筋混凝土乙类和丙类高层建筑的最大适用高度应符合表 3.3.1-1 的规定。平面和竖向均不规则的高层建筑结构,其最大适用高度宜适当降低。

3.4.5 结构平面布置应减少扭转影响。在考虑偶然偏心影响的规定水平地震力作用下,楼层竖向构件最大的水平位移和层间位移,A 级高度高层建筑不宜大于该楼层平均值的 1.2 倍,不应大于该楼层平均值的 1.5 倍;超过 A 级高度的混合结构及本规程第 10 章所指的复杂高层建筑不宜大于该楼层平均值的 1.2 倍,不应大于该楼层平均值的 1.4 倍。结构扭转为主的第一自振周期 Tt 与平动为主的第一自振周期 T1 之比,A 级高度高层建筑不应大于 0.9,超过 A 级高度的混合结构及本规程第 10章所指的复杂高层建筑不应大于 0.85。
注:当楼层的最大层间位移角不大于本规程第 3.7.3 条规定的限值的 40%时,该楼层竖向构件的最大水平位移和层间位移与该楼层平均值的比值可适当放松,但不应大于 1.6。
3.4.10 设置防震缝时,应符合下列规定:
7 结构单元之间或主楼与裙房之间不宜采用牛腿托梁的做法设置防震缝,否则应采取可靠措施。
3.5.2 抗震设计时,高层建筑相邻楼层的侧向刚度变化应符合下列规定:
1 对框架结构,楼层与其相邻上层的刚度比 γ1 可按式(3.5.2-1)计算,且本层与相邻上层的比值不宜小于 0.7,与相邻上部三层刚度平均值的比值不宜小于 0.8。

2 对框架-剪力墙、板柱-剪力墙结构、剪力墙结构、框架-核心筒结构、筒中筒结构,楼层与其相邻上层的侧向刚度比 γ2 可按式(3.5.2-2)计算,且本层与相邻上层的比值不宜小于 0.9;当本层层高大于相邻上层层高的 1.5 倍时,该比值不宜小于 1.1;对结构底部嵌固层,该比值不宜小于 1.5。

3.5.8 侧向刚度变化、承载力变化、竖向抗侧力构件连续性不符合本规程第 3.5.2、3.5.3、3.5.4 条要求的楼层,其对应于地震作用标准值的剪力应乘以 1.25 的增大系数。
二、结构分析
《混凝土结构设计规范》GB50010-2010(2015 年版)
5.1.1 混凝土结构应进行整体作用效应分析,必要时尚应对结构中受力状况特殊部位进行更详细的分析。
5.1.2 当结构在施工和使用期的不同阶段有多种受力状况时,应分别进行结构分析,并确定其最不利的作用组合。
《建筑抗震设计规范》GB50011-2010(2016 年版)
3.6.6 利用计算机进行结构抗震分析,应符合下列要求:
1 计算模型的建立、必要的简化计算与处理,应符合结构的实际工作状况,计算中应考虑楼梯构件的影响。
2 计算软件的技术条件应符合本规范及有关标准的规定,并应阐明其特殊处理的内容和依据。
3 复杂结构在多遇地震作用下的内力和变形分析时,应采用不少于两个合适的不同力学模型,并对其计算结果进行分析比较。
4 所有计算机计算结果,应经分析判断确认其合理、有效后方可用于工程设计。
《高层建筑混凝土结构技术规程》JGJ3-2010
4.3.14 跨度大于 24m 的楼盖结构、跨度大于 12m 的转换和连体结构、悬挑长度大于 5m 的悬挑结构,结构竖向地震作用效应标准值宜采用时程分析方法或振型分解反应谱方法进行计算。时程分析计算时输入的地震加速度最大值可按规定的水平输入最大值的 65%采用,反应谱分析时结构竖向地震影响系数最大值可按水平地震影响系数最大值的 65%采用,但设计地震分组可按第一组采用。
4.3.15 高层建筑中,大跨度结构、悬挑结构、转换结构、连体结构的连接体的竖向地震作用标准值,不宜小于结构或构件承受的重力荷载代表值与表 4.3.15(表略)所规定的竖向地震作用系数的乘积。
5.1.8 高层建筑结构内力计算中,当楼面活荷载大于 4kN/m2 时,应考虑楼面活荷载不利布置引起的结构内力的增大;当整体计算中未考虑楼面活荷载不利布置时,应适当增大楼面梁的计算弯矩。
5.1.9 复杂高层建筑及房屋高度大于 150m 的其他高层建筑结构,应考虑施工过程的影响。
5.1.10 高层建筑结构进行风作用效应计算时,正反两个方向的风作用效应宜按两个方向计算的较大值采用;体型复杂的高层建筑,应考虑风向角的不利影响。
5.1.12 体型复杂、结构布置复杂以及 B 级高度高层建筑结构,应采用至少两个不同力学模型的结构分析软件进行整体计算。
5.4.2 当高层建筑结构不满足本规程第 5.4.1 条的规定时,结构弹性计算时应考虑重力二阶效应对水平力作用下结构内力和位移的不利影响。
三、基本构造要求
《混凝土结构设计规范》GB50010-2010(2015 年版)
4.2.1 混凝土结构中的钢筋应按下列规定选用:
2 梁、柱和斜撑构件的纵向受力普通钢筋宜采用 HRB400、HRB500、HRBF400、HRBF500 钢筋。
8.2.1 构件中普通钢筋及预应力筋的混凝土保护层厚度应满足下列要求:
1 构件中受力钢筋的保护层厚度不应小于钢筋的直径 d。
2 设计使用年限为 50 年的混凝土结构,最外层钢筋的保护层厚度应符合表 8.2.1(表略)的规定;设计使用年限为 100 年的混凝土结构,最外层钢筋的保护层厚度不应小于表 8.2.1(表略)中数值的 1.4 倍。
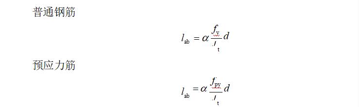
8.3.1 当计算中充分利用钢筋的抗拉强度时,受拉钢筋的锚固应符合下列要求:
1 基本锚固长度应按下列公式计算:普通钢筋

2 受拉钢筋的锚固长度应根据具体锚固条件按下列公式计算,且不应小于 200mm:
la = ζa lab (8.3.1-3)
3 当锚固钢筋的保护层厚度不大于 5d 时,锚固长度范围内应配置横向构造钢筋,其直径不应小于 d/4;对梁、柱、斜撑杆状等构件间距不应大于 5d,对板、墙等平面构件间距不应大于 10d,且均不应大于 100mm,此处 d 为锚固钢筋的直径。
8.4.2 轴心受拉及小偏心受拉杆件的纵向受力钢筋不得采用绑扎搭接。
8.4.4 纵向受拉钢筋绑扎搭接接头的搭接长度,应根据位于同一连接区段内的钢筋搭接接头面积百分率按下列公式计算,且不应小于 300mm。
ll = ζ1 la (8.4.4)
8.5.2 卧置于地基上的混凝土板,板中受拉钢筋的最小配筋率可适当降低,但不应小于 0.15%。
9.1.11 (板柱结构)混凝土板中配置抗冲切箍筋或弯起钢筋时,应符合下列构造要求:
1 板的厚度不应小于 150mm;
2 按计算所需的箍筋及相应的架立钢筋应配置在与 45°冲切破坏锥面相交的范围内,且从集中荷载作用面或柱截面边缘向外的分布长度不应小于 1.5h0(图略);箍筋直径不应小于 6mm,且应做成封闭式,间距不应大于 h0/3,且不应大于 100mm;
3 按计算所需弯起钢筋的弯起角度可根据板的厚度在 30°~45°之间选取;弯起钢筋的倾斜段应与冲切破坏锥面相交(图略),其交点应在集中荷载作用面或柱截面边缘以外(1/2~2/3)h 的范围内。弯起钢筋直径不宜小于 12mm,且每一方向不宜少于 3 根。
9.2.1 梁的纵向受力钢筋应符合下列规定:
1 伸入梁支座范围内的钢筋不应少于 2 根。
2 梁高不小于 300mm 时,钢筋直径不应小于 10mm;梁高小于 300mm 时,钢筋直径不应小于
8mm。
3 梁上部钢筋水平方向的净间距不应小于 30mm 和 1.5d;梁下部钢筋水平方向的净间距不应小于 25mm 和 d。当下部钢筋多于 2 层时,2 层以上钢筋水平方向的中距应比下面 2 层的中距增大一倍;各层钢筋之间的净间距不应小于 25mm 和 d,d 为钢筋的最大直径。
9.2.4 在钢筋混凝土悬臂梁中,应有不少于 2 根上部钢筋伸至悬臂梁外端,并向下弯折不小于 12d。
9.2.6 梁的上部纵向构造钢筋应符合下列要求:
1 当梁端按简支计算但实际受到部分约束时,应在支座区上部设置纵向构造钢筋。其截面面积不应小于梁跨中下部纵向受力钢筋计算所需截面面积的 1/4,且不应少于 2 根。该纵向构造钢筋自支座边缘向跨内伸出的长度不应小于 l0/5,l0 为梁的计算跨度。
9.2.11 位于梁下部或梁截面高度范围内的集中荷载,应全部由附加横向钢筋承担;附加横向钢筋宜采用箍筋。
9.3.1 柱中纵向钢筋的配置应符合下列规定:
1 纵向受力钢筋直径不宜小于 12mm;全部纵向钢筋的配筋率不宜大于 5%;
2 柱中纵向钢筋的净间距不应小于 50mm,且不宜大于 300mm;
3 偏心受压柱的截面高度不小于 600mm 时,在柱的侧面上应设置直径不小于 10mm 的纵向构造钢筋,并相应设置复合箍筋或拉筋;
4 圆柱中纵向钢筋不宜少于 8 根,不应少于 6 根;且宜沿周边均匀布置;
5 在偏心受压柱中,垂直于弯矩作用平面的侧面上的纵向受力钢筋以及轴心受压柱中各边的纵向受力钢筋,其中距不宜大于 300mm。
注:水平浇筑的预制柱,纵向钢筋的最小净间距可按本规范第 9.2.1 条关于梁的有关规定取用。
9.3.2 柱中的箍筋应符合下列规定:
1 箍筋直径不应小于 d/4,且不应小于 6mm,d 为纵向钢筋的最大直径;
2 箍筋间距不应大于 400mm 及构件截面的短边尺寸,且不应大于 15d,d 为纵向钢筋的最小直径;
3 柱及其他受压构件中的周边箍筋应做成封闭式;对圆柱中的箍筋,搭接长度不应小于本规范第 8.3.1 条规定的锚固长度,且末端应做成 135°弯钩,弯钩末端平直段长度不应小于 5d,d 为箍筋直径;
4 当柱截面短边尺寸大于 400mm 且各边纵向钢筋多于 3 根时,或当柱截面短边尺寸不大于400mm 但各边纵向钢筋多于 4 根时,应设置复合箍筋;
5 柱中全部纵向受力钢筋的配筋率大于 3%时,箍筋直径不应小于 8mm,间距不应大于 10d(d为纵向受力钢筋最小直径),且不应大于 200mm。箍筋末端应做成 135°弯钩,且弯钩末端平直段长度不应小于箍筋直径的 10 倍;
6 在配有螺旋式或焊接环式箍筋的柱中,如在正截面受压承载力计算中考虑间接钢筋的作用时,箍筋间距不应大于 80mm 及 dcor/5,且不宜小于 40mm,dcor 为按箍筋内表面确定的核心截面直径。
9.4.8 剪力墙墙肢两端应配置竖向受力钢筋,并与墙内的竖向分布钢筋共同用于墙的正截面受弯承载力计算。每端的竖向受力钢筋不宜少于 4 根直径为 12mm 或 2 根直径为 16mm 的钢筋,并宜沿该竖向钢筋方向配置直径不小于 6mm,间距为 250mm 的箍筋或拉筋。
9.7.1 受力预埋件的锚板宜采用 Q235、Q345 级钢,锚板厚度应根据受力情况计算确定,且不宜小于锚筋直径的 60%;受拉和受弯预埋件的锚板厚度尚宜大于 b/8,b 为锚筋的间距。
受力预埋件的锚筋应采用 HRB400 或 HPB300 钢筋,不应采用冷加工钢筋。
直锚筋与锚板应采用 T 形焊接。当锚筋直径不大于 20mm 时宜采用压力埋弧焊;当锚筋直径大于 20mm 时宜采用穿孔塞焊。当采用手工焊时,焊缝高度不宜小于 6mm,且对 300MPa 级钢筋不宜小于 0.5d,对其他钢筋不宜小于 0.6d,d 为锚筋的直径。
9.7.4 预埋件锚筋中心至锚板边缘的距离不应小于 2d 和 20mm。预埋件的位置应使锚筋位于构件的外层主筋的内侧。
预埋件的受力直锚筋直径不宜小于 8mm,且不宜大于 25mm。直锚筋数量不宜少于 4 根,且不宜多于 4 排;受剪预埋件的直锚筋可采用 2 根。
对受拉和受弯预埋件(图略),其锚筋的间距 b、b1 和锚筋至构件边缘的距离 c、c1,均不应小于 3d 和 45mm。
对受剪预埋件(图略),其锚筋的间距 b 及 b1 不应大于 300mm,且 b1 不应小于 6d 和 70mm;锚筋至构件边缘的距离 c1 不应小于 6d 和 70mm,b、c 均不应小于 3d 和 45mm。
受拉直锚筋和弯折锚筋的锚固长度不应小于本规范第 8.3.1 条规定的受拉钢筋锚固长度;当锚筋采用 HPB300 级钢筋时末端还应有弯钩。当无法满足锚固长度的要求时,应采取其他有效的锚固措施。受剪和受压直锚筋的锚固长度不应小于 15d,d 为锚筋的直径。
(编者注:受力预埋件尚应满足承载力计算的结果)
9.7.6 吊环应采用 HPB300 钢筋或 Q235B 圆钢,并应符合下列规定:
1 吊环锚入混凝土的深度不应小于 30d 并应焊接或绑扎在钢筋骨架上,d 为吊环钢筋或圆钢的直径。
2 应验算在荷载标准值作用下的吊环应力,验算时每个吊环可按两个截面计算。对 HPB300 钢筋,吊环应力不应大于 65N/mm2;对 Q235B 圆钢,吊环应力不应大于 50N/mm2。
3 当在一个构件上设有 4 个吊环时,应按 3 个吊环进行计算。
11.1.7 混凝土结构构件的纵向受力钢筋的锚固和连接除应符合本规范第 8.3 节和第 8.4 节的有关规定外,尚应符合下列要求:
1 纵向受拉钢筋的抗震锚固长度 laE 应按下式计算:

2 当采用搭接连接时,纵向受拉钢筋的抗震搭接长度 llE 应按下列公式计算:

11.1.9 考虑地震作用的预埋件,应满足以下规定:
1 直锚钢筋截面面积可按本规范第 9 章的有关规定计算并增大 25%,且应适当增大锚板厚度。
2 锚筋的锚固长度应符合本规范第 9.7 节的有关规定并增加 10%;当不能满足时,应采取有效措施。
3 预埋件不宜设置在塑性铰区;当不能避免时应采取有效措施。
《高层建筑混凝土结构技术规程》JGJ3-2010
3.2.2 各类结构用混凝土的强度等级均不应低于 C20,并应符合下列规定:
1 抗震设计时,一级抗震等级框架梁、柱及其节点的混凝土强度等级不应低于 C30;
2 筒体结构的混凝土强度等级不宜低于 C30;
3 作为上部结构嵌固部位的地下室楼盖的混凝土强度等级不宜低于 C30;
4 转换层楼板、转换梁、转换柱、箱形转换结构以及转换厚板的混凝土强度等级均不应低于 C30;
5 预应力混凝土结构的混凝土强度等级不宜低于 C40、不应低于 C30;
6 型钢混凝土梁、柱的混凝土强度等级不宜低于 C30;
7 现浇非预应力混凝土楼盖结构的混凝土强度等级不宜高于 C40;
8 抗震设计时,框架柱的混凝土强度等级,9 度时不宜高于 C60,8 度时不宜高于 C70;剪力墙的混凝土强度等级不宜高于 C60。
3.9.5 抗震设计的高层建筑,当地下室顶层作为上部结构的嵌固端时,地下一层相关范围的抗震等 级应按上部结构采用,地下一层以下抗震构造措施的抗震等级可逐层降低一级,但不应低于四级;地下室中超出上部主楼相关范围且无上部结构的部分,其抗震等级可根据具体情况采用三级或四级。
3.9.6 抗震设计时,与主楼连为整体的裙房的抗震等级,除应按裙房本身确定外,相关范围不应低于主楼的抗震等级;主楼结构在裙房顶板上、下各一层应适当加强抗震构造措施。裙房与主楼分离时,应按裙房本身确定抗震等级。
3.10.1 特一级抗震等级的钢筋混凝土构件除应符合一级钢筋混凝土构件的所有设计要求外,尚应符合本节的有关规定。
6.3.7 框架梁上开洞时,洞口位置宜位于梁跨中 1/3 区段,洞口高度不应大于梁高的 40%;开洞较大时应进行承载力验算。梁上洞口周边应配置附加纵向钢筋和箍筋(图 6.3.7 略),并应符合计算及构造要求。