
数学公式中的数字、字母与算符可以唤起人们欣赏最伟大作曲家的艺术作品或音乐一样的美感。
在 2014 年《人类神经科学前沿》杂志上发表的一篇新论文中,研究人员为十余位数学家提供了 60 个公式来评分。
在数学家查看方程式时,脑部扫描显示许多区域都会参与其中,但当一个人看到某个美丽的公式时,大脑眶额叶皮层区域更活跃——就像看人们欣赏一幅伟大的画作或聆听曼妙音乐一样。
笔者将把参与评选的 60 个数学公式整理出并附上简单的介绍,一起来欣赏一下吧!(限于水平有限, 个别公式找不到标准对应译名, 暂留英文, 还请各位朋友留言指正)
1. 欧拉恒等式

其中 e 是自然对数函数的底,i 是虚数单位,π 是圆周率。
美国物理学家理查德·费曼称欧拉恒等式为“数学最美公式”,因为包含了数学中 5 个最重要的数学常数:0、1、e、π 和 i。并且包含了三种最基本的算术运算:加法、乘法和幂运算。绝对令人惊讶的是,这些看似无关的数和运算都被这个简洁的公式联系起来。

欧拉恒等式是欧拉公式的一种特殊形式,后者如上图右侧所示。
2. 毕达哥拉斯三角恒等式

毕达哥拉斯三角恒等式(Pythagorean trigonometric identity),正弦和余弦函数之间的基本关系之一。另外两个相关公式如下所示:
3. 欧拉示性数/欧拉公式(图论)

代数拓扑中的一个公式。而在平面图,当图是单连通图的时候,公式简化为上式。其中,V 是顶点的数目,E 是边的数目,F 是面的数目。
4. 高斯-博內定理

在微分几何中,高斯-博内定理(亦称高斯-博内公式)是关于曲面的图形(由曲率表征)和拓扑(由欧拉示性数表征)间联系的一项重要表述。
5. 欧拉公式

欧拉公式是复分析领域的公式,它将三角函数与复指数函数关联起来,因其提出者莱昂哈德·欧拉而得名。当 x=π 时,欧拉公式即欧拉恒等式,从上面图形中也可以观察得出。
6. 高斯积分

高斯积分,有时也被称为概率积分,是高斯函数 e^{−x²} 在整个实数线上的积分。
7. 黎曼ζ函数的倒数

8. 指数函数

指数函数 e^x 可以用各种等价的方式定义,特别是它可以定义为幂级数的形式。
9. 高斯函数的傅里叶变换

10. e 的极限值定义式

11. 连续统的势大于自然数集的势

12. 曼德博集合定义式

曼德博集合是一种在复平面上组成分形的点的集合,它的定义归功于法国数学家阿德里安·杜阿迪,以分形几何先驱数学家本华·曼德博的名字所命名。
曼德博集合可以用复二次多项式来定义,其中 c 是一个复数参数。不同的参数 c 可能使序列的绝对值逐渐发散到无限大,也可能收敛在有限的区域内。
曼德博集合 M 就是使序列不延伸至无限大的所有复数 c 的集合。
13. 狄克拉函数恒等式

14. 拉马努金圆周率公式

印度数学家斯里尼瓦瑟·拉马努金曾发表很多关于圆周率 π 表示方式。这个公式因为收敛的速度异常地快,常用来计算其精确值。
15. 能写成两个正整数的立方和的最小数

数学上,1729 是一个可以用两种方式写成两个正整数的立方和的数字,而且是有这种特性的数字中最小的一个。
16. 勾股定理

平面几何中一个基本而重要的定理,且是人类早期发现并证明的重要数学定理之一。
17. 微积分基本定理

微积分基本定理(Fundamental theorem of calculus)描述了微积分的两个主要运算──微分和积分之间的关系。
18. 留数定理

在复分析中,留数定理(residue theorem,又叫残数定理)是用来计算解析函数沿着闭曲线的路径积分的一个有力的工具,也可以用来计算实函数的积分。它是柯西积分定理和柯西积分公式的推论。
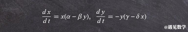
19. 掠食者—猎物方程

洛特卡-沃尔泰拉方程(Lotka-Volterra equation)别称掠食者—猎物方程。是一个二元一阶非线性微分方程组成。经常用来描述生物系统中,掠食者与猎物进行互动时的动态模型,也就是两者族群规模的消长。
20. 扩散方程

扩散方程是一类偏微分方程,用来描述扩散现象中的物质密度的变化。通常也用来和扩散类似的现象,例如在群体遗传学中等位基因在群体中的扩散。
21. 圆周率的定义

圆周率 π 是一个数学常数,为一个圆的周长和其直径的比率。
22. 指数函数与自身的导数恒等

很多增长过程的问题都可以用指数函数 e^x 来模拟。
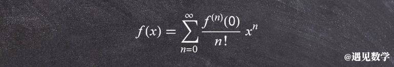
23. 麦克劳林级数

泰勒级数(Taylor series)用无限项连加式——级数来表示一个函数,这些相加的项由函数在某一点的导数求得。泰勒级数是以于1715年发表了泰勒公式的英国数学家布鲁克·泰勒(Sir Brook Taylor)来命名的。通过函数在自变量零点的导数求得的泰勒级数又叫做麦克劳林级数,以苏格兰数学家科林·麦克劳林的名字命名。
24. 特征值和特征向量

线性代数中,对于一个给定的方阵 A,它的特征向量(eigenvector)x 经过这个线性变换之后,得到的新向量仍然与原来的 x 保持在同一条直线上,但其长度或方向也许会改变。
λ 为纯量,即特征向量的长度在该线性变换下缩放的比例,称 λ 为其特征值(eigenvalue)。如果特征值为正,则表示 x 在经过线性变换的作用后方向也不变;如果特征值为负,说明方向会反转;如果特征值为 0,则是表示缩回零点。
25. 三角不等式

三角不等式是数学上的一个不等式,表示两条边的长度之和总是大于第三边。它除了适用于三角形之外,还适用于其他数学范畴及日常生活中。
26. 素数计数函数的第一个估计定义

素数的出现规律一直困惑著数学家。一个个地看,素数在正整数中的出现没有什么规律。可是总体地看,素数的个数竟然有规可循。对正实数 x,定义 π 为素数计数函数,亦即不大于 x 的素数个数。数学家找到了一些函数来估计 π 的增长。上面就是第一个这样的估计。
27. 黎曼ζ函数的欧拉乘积形式

欧拉在1737年发现了欧拉乘积公式,这是ζ函数与素数的联系的朦胧征兆。
28. 最小的勾股数

勾股数的发现时间较早,例如埃及的纸草书里面就有 (3,4,5) 这一组勾股数,而巴比伦泥板涉及的最大的一个勾股数组是 (13500,12709,18541)。在中国,《周髀算经》中也记述了 (3,4,5) 这一组勾股数。
29. 柯西积分公式

柯西积分公式是数学中复分析的一个重要结论,以十九世纪法国数学家奥古斯丁·路易·柯西命名。柯西积分公式说明了任何一个闭合区域上的全纯函数在区域内部的值完全取决于它在区域边界上的值,并且给出了区域内每一点的任意阶导数的积分计算方式。
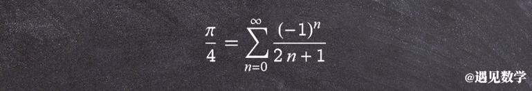
30. π 的莱布尼茨公式表示

π 的莱布尼茨公式右边的展式是一个无穷级数,被称为莱布尼茨级数,这个级数收敛到 π/4。使用求和符号可记作下式:

31. 巴塞尔问题

巴塞尔问题是一个著名的数论问题,要求的是精确计算所有平方数的倒数之和。该问题最初由皮耶特罗·门戈利在1644年提出,由莱昂哈德·欧拉在1735年解决。由于这个问题之前难倒了以前许多的数学家,所以年仅 28 岁的欧拉一解出这个问题立马扬名于天下。
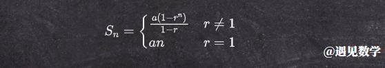
32. 等比数列和

一个等比数列的首 n 项之和,称为等比数列和(sum of geometric sequence)或几何级数(geometric series),记作 Sn$。
等比数列求和的公式如下:

当 -1 < r <1 时,几何级数会收敛到一个如上式的固定值。
33. 伯克霍夫遍历定理

伯克霍夫遍历定理(Birkhoff ergodic theorem)是遍历论的第一个重要结果。
34. 斯托克斯定理

斯托克斯定理(Stokes' theorem)是微分几何中关于微分形式的积分的定理,该公式可以在对坐标的曲线积分和对面积的面积积分之间相互转换。
35. 泊松求和的一个特例

36. 一维布朗运动的二次变差

37. 欧拉提出的另一个等式

等式左手是一个无穷乘积,在右手则为一个幂级数,其中 p(n) 表示 n 作为自然数之和的所有可能表示的数。
38. 算术-几何平均值不等式

算术-几何平均值不等式是一个常见而基本的不等式,表现算术平均数和几何平均数之间恒定的不等关系。
39. 空集的势

40. Cartan structural equations

41. 史特灵公式

史特灵公式(Stirling's formula)是一条用来取n阶乘近似值的数学公式。一般来说,当n很大的时候,n阶乘的计算量十分大,所以史特灵公式十分好用。
42. Integral formula for a character of an irreducible representation of a Lie group corresponding to the co-adjoint orbit Ω.

43. n 维球体公式

在 n 维欧氏空间里,半径 r 的球之 n 维体积为上式。其中Γ是李昂哈德·欧拉的Γ函数(可被视为阶乘在实数的延伸)。
44. Relation between the sphere, the complex projective line and the special orthogonal groups SO(3) and SO(2).

45. 阿贝尔群序列

46. Second Bianchi identity of the Riemann tensor

47. 莫比乌斯变换

几何学里, 莫比乌斯变换是一类从黎曼球面映射到自身的函数。用扩展复平面上的复数表示的话,其形式为上式。
48. 克利福德代数

数学上,克利福德代数(Clifford algebra)是由具有二次型的向量空间生成的单位结合代数。作为域上的代数,其推广实数系、复数系、四元数系等超复数系,以及外代数。
49. 整数 1 与黎曼ζ函数

整数 1 能够表示为这样黎曼 函数的无穷级数形式。
50. 补集的一个定律

若给定全集 U,则 A 在 U 中的相对补集称为 A 的绝对补集(简称补集),记为 A^C。
51. 补集的另一个定律

52. 谱定理的一种表示

53. Berezin 积分

54. 柯西-黎曼方程

复分析中的柯西-黎曼微分方程(Cauchy–Riemann equations)是提供了可微函数在开集中为全纯函数的充要条件的两个偏微分方程,以柯西和黎曼得名。在一对实值函数 u(x,y) 和 v(x,y) 上的柯西-黎曼方程组包括上面两个方程。
55. 拉普拉斯方程的一种表示

拉普拉斯方程,又名调和方程、位势方程,是一种偏微分方程。因为由法国数学家皮埃尔-西蒙·拉普拉斯首先提出而得名。求解拉普拉斯方程是电磁学、天文学、热力学和流体力学等领域经常遇到的一类重要的数学问题。
上式中 △ 称为拉普拉斯算子。
55. 佩尔方程

若一个丢番图方程具有以上的形式,且 n 为正整数,则称此二元二次不定方程为佩尔方程。
57. 正弦-戈尔登方程

正弦-戈尔登方程是一种非线性双曲型偏微分方程,由于其孤子解的存在,这个方程在20世纪70年代引起了人们的广泛关注。
58. 费马大定理

费马大定理(亦名费马最后定理),当上式整数 n>2 时,关于 x,y,z 的不定方程无正整数解。
由17世纪法国数学家费马提出,被称为“费马猜想”,直到英国数学家安德鲁·怀尔斯及其学生理查·泰勒于1995年将他们的证明出版后,才称为“费马最后定理”。
在冲击这个数论世纪难题的过程中,无论是不完全的还是最后完整的证明,都给数学界带来很大的影响;很多的数学结果、甚至数学分支在这个过程中诞生,包括代数几何中的椭圆曲线和模形式,以及伽罗瓦理论和赫克代数等。
59. 黎曼ζ函数所满足的函数方程

60. Contracted Bianchi identity where R^(μν) is the Ricci tensor and R is the scalar curvature

参考资料:https://www.frontiersin.org/articles/10.3389/fnhum.2014.00068/full维基百科