【前言】
随着ISP不断提速,千兆宽带接入马上要进入大家家中,千兆网口早已无法满足日益增长的外网传输需求。同时NAS价格逐渐亲民,NAS性能越来越好,玩家也早已无法满足千兆内网的传输速度,万兆网络离我们的生活越来越近了。近期ASUS给我们带来了XG-C100C万兆网卡。ASUS XG-C100C支持五模连接速度,满足各个条件下的高速网络传输。
【NBase-T与10GBase-T】
千兆网络下一代技术是什么,大家一定会不假思索的说是万兆。没错,万兆铜揽,也叫做10GBase-T,代表了下一代以太网的标准。10GBase-T,使用100米以下Cat6A或者短距离(55米)Cat6的铜揽双绞线来实现互联。今天我在这里想说的并不是10GBase-T,而是大家相对比较陌生的一个标准NBase-T。
NBase-T
http://www.nbaset.org
NBase-T,使用常规的Cat5e和Cat6线缆,提供了超过千兆的网络传输能力。使用Cat5e和Cat6布线长距离(100米)可以达到2.5Gbps和5Gbps的速率,在不替换原来布线的条件下,提供更大的网络传输速率。NBase-T可以说是介于千兆和万兆之间的一个标准。目前最新家用路由器SOC,博通BCM4908中,已经集成2.5Gbps的Mac。
相比10GBase-T来说,NBase-T还有个最大的优势。NBase-T支持POE,而10GBase-T不支持(最新消息10G会在今年年底支持POE)。也就意味着,AP需要提供更大带宽的话只能选择NBase-T方式接入。新的Wave2无线AP都开始使用NBase-T作为网络接口。
【开箱】
ASUS XG-C100C这次拿到的是中文包装。10-Gigabit说明这是块万兆网卡。下面描述,ASUS XG-C100C支持五模,同时支持Windows和Linux两大操作系统。

请点击此处输入图片描述
背面详细描述了网卡特性,网卡支持100Mbps,1Gbps,2.5Gbps,5Gbps,10Gbps 5种速率模式。相对于传统不支持N-BaseT的万兆网卡,支持五模好处在,当家用路由器开始全面使用N-BaseT时候,这网卡可以支持到最高速率。不支持N-BaseT的万兆网卡只能协商工作在1G模式下

请点击此处输入图片描述
包装侧面,ASUS XG-C100C是3年的保修。

请点击此处输入图片描述
打开包装盒可以看到红色的网卡,默认安装高档版,可替换成短挡板。

请点击此处输入图片描述
盒子底下说明书和保修卡。所有配件都在这了。

请点击此处输入图片描述
网口网变一体成型,由Aquantia提供。

请点击此处输入图片描述
ASUS XG-C100C和ASUS PCE-AC88一样的风格,使用大面积的红色散热片覆盖。

请点击此处输入图片描述
网卡背面

请点击此处输入图片描述
【拆解】
网卡拆解很简单,拧下4个螺丝可以取下巨大红色散热片。

请点击此处输入图片描述
MX25L3233FM2I,32Mbit=4MByte SPI Flash用于保存固件,网卡MAC,以及BOOT ROM预留空间。
厂商官网文档

请点击此处输入图片描述
Aquantia AQTION AQC107,来自Aquantia的5模10G网络芯片,直接一颗IC集成Mac和Phy的二合一芯片
厂商官网

请点击此处输入图片描述
【驱动 BootROM】
驱动
ASUS XG-C100C使用了Aquantia AQC107。Aquantia提供了公版Windows和Linux的驱动,所以网卡可以支持Windows和Linux两大系统。
Windows:
Windows下驱动,虽然只提供了非Server系统的版本,但是实际上Server系统也能正常使用。实测在Server 2016下使用Win10的驱动没什么大问题。官方只提供了Win7,Win8,Win8.1,Win10的驱动,实际上也可以用在对应Server版本系统上。

请点击此处输入图片描述
在Windows下,ASUS XG-C100C最大支持8条RSS列队,默认设置开启4条。支持更多的RSS列队意味着可以使用更多的CPU核心来处理网络数据。8条RSS意味着最多同时使用8个CPU核心来处理网络数据,对于家用来说,这个数量是足够了。
Linux:
Linux驱动以源码形式提供。需要在linux系统下使用的朋友需要自己编译驱动。目前厂家发行版对这个卡还没有集成驱动(未来会有集成)。
使用群晖的朋友,需要自己使用群晖开源的ToolChain编译驱动,然后加载到DSM内部,才能使用。
软路由系统,由于这块是全新的万兆网卡,目前软路由系统都未对这块网卡作支持。相信随着网卡普及,支持应该不是问题。
论坛fw867的LEDE暂时也不支持这块网卡,后续会支持,希望ASUS对开发组提供支持。
Linux驱动源码,有兴趣的朋友可以自己编译。

请点击此处输入图片描述
BootROM
ASUS XG-C100C不含有BootROM,不支持PXE和iSCSI方式网络启动。对于一般用户来说没什么问题,如果想用这个网卡做无盘系统的朋友要注意这个问题。
ASUS XG-C100C不支持网络唤醒。10G网卡目前普遍没有网络唤醒的功能。
也因为BootROM的问题,ASUS XG-C100C在HP Gen8上启动过程中会报错,可以按F1忽略,开机后使用没什么问题。如果想把这个卡装在Gen8上的朋友也要注意。
【吞吐量测试】
ASUS XG-C100C是10G网卡,这边使用2块ASUS XG-C100C直接对联,测试网卡之间的吞吐量,以及双向满载传输时候的网卡温度
测试平台
硬件部分:
PC1 万兆网卡:ASUS XG-C100C
PC2 万兆网卡:ASUS XG-C100C
软件:
Windows 10 Pro安装所有必选补丁,关系系统防火墙
Endpoint 9.40
IxChariot 6.70
本次测试使用了如下测试脚本:
Ultra_High_Performance_Throughput。此脚本用于测试最大传输带宽。
测试连接方式:
PC1,PC2通过CAT6网线相互连接。
测试结果
单线程单向

请点击此处输入图片描述

请点击此处输入图片描述
10线程单向

请点击此处输入图片描述

请点击此处输入图片描述
单线程双向

请点击此处输入图片描述

请点击此处输入图片描述
10线程双向

请点击此处输入图片描述

请点击此处输入图片描述
数据汇总
| 项目 | 单向 | 双向 |
| 单线程 | 8,922.099 | 8,894.302 |
| 10线程 | 9,178.793 | 17,680.479 |
从测试数据来看,ASUS XG-C100C完全可以跑满万兆。
测试任务管理器流量截图

请点击此处输入图片描述
双向测试过程中,满载网卡散热片表面温度

请点击此处输入图片描述
可以看到ASUS XG-C100C散热片表面最高温度36.9度,比起传统万兆网卡,温度可以说非常低了。
【链接兼容测试】
ASUS XG-C100C是一块5模式网卡,我们让2块网卡链接在交换机下,测试不同速率下的兼容性和吞吐量。
测试中10G交换选择了NETGEAR XS708T,8口10G交换机。

请点击此处输入图片描述
2.5G/5G交换机选择了NETGEAR M4200-10MG-POE+,2口5G,6口2.5G,POE+交换。同时测试网卡在POE+交换下是否会存在烧毁的问题。

请点击此处输入图片描述
测试平台
硬件部分:
PC1 万兆网卡:ASUS XG-C100C
PC2 万兆网卡:ASUS XG-C100C
10G 交换机:NETGEAR XS708T
2.5G/5G 交换机:NETGEAR M4200-10MG-POE+
软件:
Windows 10 Pro安装所有必选补丁,关系系统防火墙
Endpoint 9.40
IxChariot 6.70
本次测试使用了如下测试脚本:
High_Performance_Throughput。此脚本用于测试最大传输带宽。
测试连接方式:
2.5/5G测试,PC1,PC2通过CAT6网线连接M4200。
10G测试,PC1,PC2通过CAT6网线连接XS708T。
2.5GB
链接速度截图

请点击此处输入图片描述
测试结果
10线程单向

请点击此处输入图片描述

请点击此处输入图片描述
10线程双向

请点击此处输入图片描述

请点击此处输入图片描述
5GB
链接速度截图

请点击此处输入图片描述
测试结果
10线程单向

请点击此处输入图片描述

请点击此处输入图片描述
10线程双向

请点击此处输入图片描述

请点击此处输入图片描述
10GB
链接速度截图

请点击此处输入图片描述
测试结果
10线程单向

请点击此处输入图片描述

请点击此处输入图片描述
10线程双向

请点击此处输入图片描述

请点击此处输入图片描述
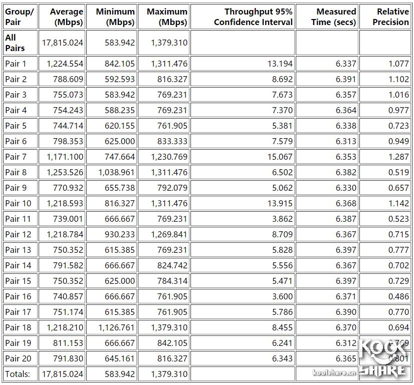
数据汇总
| 项目 | 单向 | 双向 |
| 2.5G | 2,359.112 | 4,646.397 |
| 5G | 4,706.250 | 9,350.761 |
| 10G | 9,364.589 | 17,815.024 |
最终测试结果兼容都没有任何问题,这块卡对10G和5/2.5G网络支持非常良好。
【万兆NAS实际读取测试】
ASUS XG-C100C作为万兆网卡,最大作用就是从NAS中快速读写文件。这里我们选择了万兆NAS群晖DS1817+,配合不同交换机,查看ASUS XG-C100C在不同速率连接下的实际读写速度。
测试用NAS Synology DS1817+ 8GB

请点击此处输入图片描述
测试平台
硬件部分:
PC 万兆网卡:ASUS XG-C100C
NAS:Synology DS1817+ 8GB
NAS 万兆网卡:Intel Ethernet Converged Network Adapter X710-DA2
10G 交换机:NETGEAR XS708T
2.5G/5G 交换机:NETGEAR M4200-10MG-POE+
软件:
Windows 10 Pro安装所有必选补丁,关系系统防火墙
Synology DSM 6.1.2
测试连接方式:
2.5/5G测试,DS1817+通过10G光纤连接M4200,PC通过CAT6网线连接M4200。
10G测试,DS1817+通过10G光纤连接XS708T,PC通过CAT6网线连接XS708T。
速写速度
2.5G下Samba读取NAS文件速度:

请点击此处输入图片描述
5G下Samba读取NAS文件速度:

请点击此处输入图片描述
10G下Samba读取NAS文件速度:

请点击此处输入图片描述
【总结】
以往测试万兆网卡运行发热量极高,ASUS XG-C100C一改以往高温的状态,温度适中,性能稳定,可见华硕在散热工艺造诣颇深。ASUS XG-C100C给出亲民的定价,使得万兆飞入寻常百姓家已不是梦想。随着电信宽带不断提速,玩家对网络传输速度的追求越来越强烈,华硕 XG-C100C是玩家非常值得入手的家用万兆网卡。