《水利水电技术(中英文)》官网网址https://sjwj.cbpt.cnki.net
摘 要:
长江流域生态系统环境脆弱敏感,该区域植被变化受到气候变化以及人类活动等多种因素的影响。为了研究长江流域植被净初级生产力(Net Primary Productivity, NPP)对平均气候和极端气候的响应程度和方向的影响,基于MODIS NPP数据和气候数据(平均气候和极端气候),辅以Sen斜率法、变异系数、Hurst指数进一步探究了2001—2020年长江不同子流域NPP时空变化情况,并基于随机森林和结构方程模型分析了不同子流域NPP对不同气候因子的直接和间接响应。结果表明:2001—2020期间,长江流域年均NPP为528.02 gCm-2a-1,其中金沙江石鼓以上区域NPP最低,乌江流域NPP最高。NPP变化以上升趋势为主,岷沱江、乌江和嘉陵江流域上升趋势最显著,金沙江流域、洞庭湖流域和鄱阳湖流域呈减小趋势。NPP变化呈现低波动性,岷沱江NPP变化波动性最大,鄱阳湖水系NPP变化波动性最小。NPP在未来一段时间仍会大面积以增大趋势为主。乌江、宜宾至宜昌、宜宾至湖口、洞庭湖水系、湖口及以下干流和金沙江石鼓以上区域NPP受极端气候因子影响较大,其他地区受平均气候影响较大,但不同极端气候指标对NPP产生的影响程度和影响效应存在显著差异。研究表明长江不同子流域植被生长对不同极端气候因子的响应程度存在差异,且多个气候因素对NPP的相互作用不容忽视。
关键词:
植被净初级生产力(NPP);平均气候;极端气候;长江流域;
作者简介:
张炜(1974—),男,副院长,硕士,主要研究方向为水利规划设计。
基金:
国家自然科学基金项目(51779183);
引用:
张炜,刘亦飞,沈明星,等. 长江流域植被净初级生产力时空动态特性及影响因素分析[J]. 水利水电技术( 中英文) ,2022,53 ( 10) : 165-176.
ZHANG Wei,LIU Yifei,SHEN Mingxing,et al. Spatiotemporal variation of net primary productivity and response to climatic factors in the Yangtze River Basin [J]. Water Resources and Hydropower Engineering,2022,53( 10) : 165-176.
0 引 言
过去几十年间由于CO2和其他温室气体浓度增加以及人类活动加剧,导致全球气候变化、极端气候事件发生频率增加,各种极端降水指数和极端温度指数发生显著变化,不仅对全球植被生长产生显著影响,而且也可能对全球生态环境质量产生严重的负面影响。植被净初级生产力(Net Primary Productivity, NPP)作为陆地生态系统中物质与能量运转研究的基础,不仅能反映植物在自然环境下的生产力,而且在全球碳循环研究中具有重要作用。因此,理清地表植被NPP时空变化规律及其对气候变化的响应,对深入理解陆地生态系统与大气之间的碳交换机理、评价陆地生态系统的环境质量以及预估未来气候变化的生态效应等具有重大意义。
近年来由于对碳循环及全球气候变化方面的深入研究,以NPP为代表的陆地植被生产力及其对气候的响应、以及与自然因素的关系逐渐成为研究重点。众多研究结果表明,气候因素是影响绿色植被碳封存能力和全球碳循环的主要因素,特别是光照、温度和水会严重影响全球植被生产潜力。同时有研究指出,较高的CO2浓度可能会在未来几十年增加NPP。然而NPP受多种因素的影响,如植被类型、气候条件和自然灾害等,且不同地区的地表NPP对气候变化的敏感性不同,如干旱半干旱地区的NPP对降水变化敏感,中高纬度地区NPP对温度变化敏感,而太阳辐射是湿润和半湿润地区以及低纬度地区NPP的主要控制因素。赵苗苗等对2001—2015年中国植被NPP研究发现,大部分地区NPP与年平均降水量之间的关系为显著正相关,与气温则以负相关为主。PENG等发现全球约37%的NPP减少是由干旱引起的,约55%的NPP变化是由水资源可用性变化引起的,20%的NPP变化是由土地覆盖变化导致的。然而这些环境因素(尤其是温度、降水量和太阳辐射)虽然可以在一定程度上衡量气候变化对植被生长的影响,但可能无法反映气候变化的频率、强度或持续时间对植物生产力的影响(如极端温度、极端降水和极端干旱等)。这些极端气候的轻微变化可能会对生态系统的功能产生深远影响。如PIAO等研究发现干旱和极端降水对陆地生态系统碳循环产生了显著影响;贾怡童等研究发现长江源区植被初级生产力对水分及温度条件高度敏感,长江中下游的气候与东亚季风密切相关,受季风的影响,该区域极端气温变化对生长季植被净初级生产力的影响大于极端降水。虽然目前很多研究对于揭示陆地生态系统及其生产力时空格局特点、变化过程及驱动机制等具有重要意义,但不同气候因子(极端气候、平均气候等)对NPP的直接作用和间接作用、不同区域气候因子对NPP的贡献度仍需进一步研究。长江流域作为我国最大的流域,横跨我国东、中、西部经济区,是我国重要的生态安全屏障。但近年来,随着气候变暖、极端气候事件增加以及经济社会的发展,长江流域局部区域面临生境退化、生物多样性减少和生态功能减弱等问题,对长江流域植被演替和未来人—自然耦合系统的可持续发展产生了显著影响。因此,理清长江流域植被NPP时空动态及量化不同气候因子变化对NPP的直接影响和间接影响对长江流域生态系统管理和应对气候变化政策制定具有重要意义。
本文基于MODIS NPP数据辅以趋势分析、变异系数、Hurst指数法综合评价了长江不同子流域2001—2020年NPP变化趋势、波动性和未来可能的持续状态。最后基于随机森林回归和结构方程模型探讨了不同子流域NPP对不同气候因子的敏感性和不同气候因子对NPP的直接作用和间接作用。这对长江流域生态系统碳循环等相关研究具有重要意义,同时也能为生态环境保护和应急减灾等方面提供科学支撑。
1 研究区与研究方法
1.1 研究区概况
长江是亚洲最长、世界第三长的河流,发源于中国西部的青藏高原,从西部山区流向东部平原,全长6 300 km, 从西到东横跨19个省和省级行政区,最后汇入东海,海拔下降5 000 m(见图1),面积为1.8×106 km2,占中国陆地总面积的近20%。除位于青藏高原的一些地区外,长江流域主要为典型亚热带季风气候,上游和中下游受印度夏季风和东亚夏季风的影响明显。在季风的影响下,长江流域呈现出明显的旱季和雨季年周期。长江流域年平均降水量为1 067 mm, 年平均陆地蒸发量为541 mm(中下游大于上游,平原盆地大于山区,南海岸大于北海岸)。

图1 研究区概况
1.2 数据来源与处理
(1)植被净初级生产力(NPP):
NPP数据来自于蒙大拿大学(UMT)数字地形动态模拟小组(NTSG)生产的MOD17A3,数据由NAS(https: //lpdaacsvc. cr.usgs.gov/appeears)提供的2000—2020年的空间分辨率为500 m的NPP产品,本研究中使用的NPP总计为年值,由给定年份的8 d净光合作用产物(MOD17A2)得出。该产品采用了生物属性调查表和全球模型与融合室的日气象数据对NPP进行模拟,模拟的NPP精度较高。有学者通过对比和精度验证发现MOD17A3H的NPP虽存在高估或低估现象,但其精度能满足大尺度研究需求。
(2)气象数据:
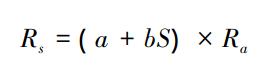
本文选择的气象数据源于中国气象数据网(http: //data.cma.cn/data/cdcindex)提供的日数据,包括日气温(TEM)、降水(PER)、日照时数和风速数据(WIN),时间跨度为 2001—2020 年。太阳辐射(RS)数据需要基于日照时数采用FAO提出的Angstrom公式进行转换获取,其计算公式如下

式中,Rs为大气的上界入射辐射;Ra为太阳总辐射的某一基准值(MJ·m-2·d-1);S为日照百分率,等于实际日照时数与理论日照时数的比值,理论日照时数由天文学日出日落时间差决定;a、b为两个反映辐射穿透大气时衰减程度的参数,本文选取经验值分别为0.25和0.5;Ra为月平均天文辐射日总量代替。
极端气候数据:本文使用气候变化探测和指数专家小组建议的共同气候指数,选择了8个极端气温指数和2个极端降水指数(见表1),目的是反映极端温度事件的边缘状态和降水事件的极端状态。该数据首先通过极端气候指数计算软件(RclimDex)对所选数据进行质量控制,并利用RclimDex软件和MATLAB编程计算各极端气候指标的年际时间序列。澳大利亚的ANUSPLINE方法是在样条函数的基础上引入了一些气候的影响因素作为协变量(如海拔、经度、纬度等)对气象要素进行空间插值,这样在很大程度上消除了地形等对气象数据插值结果的影响,因此该方法在气象要素空间插值方面具有很好的精度和适用性。本文使用ANUSPLIN插值软件将气候要素的点数据插值为分辨率为1 km的栅格数据。

(3)植被类型数据:
本研究使用的植被类型数据源于NASA提供的MCD12Q1产品,该产品是根据IPGP进行分类的全球产品,包括17种土地利用类型,为进一步分析土地利用类型转移对植被NPP的影响情况,本文将2001—2020年的数据重分类为针叶林、阔叶林、针阔叶混交林、灌丛、草原、草地、稀疏植被、栽培植被和其他类型[见图1(b)],其中栽培植被包括农用地和农用地/自然植被拼接类,其他类型包括永久湿地、城市和建筑区等。
1.3 研究方法
1.3.1 趋势分析
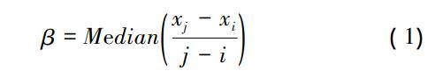
本文采用Theil-Sen中位数趋势分析和Mann-Kendall检验来研究年度植被NPP的空间趋势特征。Theil-Sen中位数趋势分析是一种稳健的非参数统计的趋势计算方法,对测量误差和离群数据不敏感,用于植被NPP的时间序列趋势分析。而Mann-Kendall趋势检验作为非参数统计检验的方法,用于评估Theil-Sen斜率估计的显著性,即检验植被NPP趋势的显著性。具体公式如下

式中,β为斜率,若β> 0,数据集时间序列具有正趋势,若β< 0,数据集时间序列具有负趋势;i、j为年份。

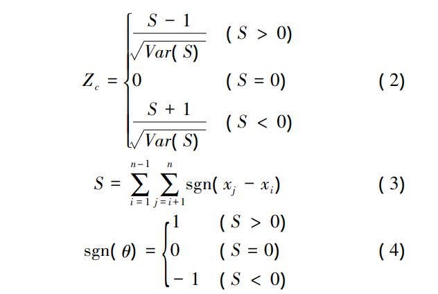
式中,xj、xi为连续的数值;n为时间序列的长度;t为给定的时间范围,如果满足sgn (θ),则拒绝原假设|Zc|>Z1−α/2,为显著性水平。
1.3.2 未来趋势分析
由于Hurst指数(H)能够有效地描述自相似性和长期依赖性,因此被广泛运用于水文、气候、地质和地震等领域。本文基于重标极差(R/S)分析法逐像元计算NPP的变化趋势,反映其变化趋势的持续性。H值域介于[0, 1]之间,根据H的大小可以判断NPP序列是完全随机还是存在持续性。若H值大于0.5表明植被NPP的时间序列是一个持续性序列,说明植被NPP未来变化趋势与过去一致;若H等于0.5,则说明植被NPP的时间序列为随机序列;若H值小于0.5,则表明植被NPP的时间序列数据具有反持续性,也就是说植被NPP过去变化趋势与未来的变化趋势相反。
1.3.3 稳定性分析
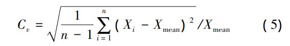
研究使用变异系数Cv分析长江流域植被NPP近20年的稳定性,Cv越大表明植被NPP的变化越不稳定。计算公式如下

式中,Cv为变异系数;Xi为第i年对应的NPP值;Xmean为基于2001—2020年的植被NPP均值。
本文根据自然断裂法将植被NPP的稳定性分为5类:低波动变化(<0.049)、较低波动变化(0.049~0.1)、中波动变化(0.1~0.185)、较高波动变化(0.185~0.392)和高波动变化(0.392~1)。
1.3.4 随机森林算法
利用随机森林回归模型变量的重要性对长江不同子流域的14个气候指数对植被NPP的影响进行排序,该模型使用均方误差的百分比增长(%IncMSE)来评估每个自变量对因变量的影响程度。首先构造ntree决策树模型和计算随机替换的OBB均方误差(未取样的样品组成的ntree out-of-bag数据),构造如下矩阵

其次计算重要性得分,计算公式如下

式中,n为原始数据样本的数量;m为变量的数量。
1.3.5 结构方程模型
采用AMOS23软件构建结构方程模型(SEM),该模型基于研究者的经验知识预先设定各因素之间的依赖关系,以此判断各因素之间关系强弱,可获得自变量对因变量影响的直接效果、间接效果和总效果,并能够拟合和判断整体模型,可更全面地了解研究系统。本文使用根据不同子流域气候因子对NPP影响的排序结果选择前4个敏感参数,使用SEM模型中极大似然估计来研究植被NPP与不同区域敏感气候因子的直接影响和间接影响,后根据整体模型拟合检验(卡方)以及个别参数检验(p值)来评估整体模型。
2 结果分析
2.1 长江流域植被NPP时间动态分析
从近20 a长江流域不同子流域NPP的时间曲线来看,不同流域近20 a NPP均呈波动上升趋势。其中,嘉陵江区域NPP上升的速率最大,为6.96 gCm-2a-1,区域植被主要为阔叶林和栽培植被。宜昌至宜宾水系区域NPP上升速率次之(上升速率为5.81 gCm-2a-1),植被类型主要为栽培植被。金沙江石鼓以上区域NPP增加速率最小,为0.72 gCm-2a-1,其次为鄱阳湖水系(NPP增加速率为1.60 gCm-2a-1)。从植被NPP的年均值来看,金沙江石鼓以上区域NPP值为所有子流域中最低区域,其年均值基本在150~200 gCm-2a-1上下波动,结合植被类型和流域分布图来看,该区域位于长江源头区域,植被类型主要为低密度的草原和草地类型,因此该区域NPP值较低。乌江为所有子流域中年均NPP最高流域,NPP值集中在650~750 gCm-2a-1,该区域植被类型主要为灌丛、针叶林和针阔叶混交林,因此年均NPP值较高(见图2)。

图2 长江不同子流域NPP时序曲线
①-乌江;②-嘉陵江;③-太湖水系;④-宜宾至宜昌;⑤-宜宾至湖口;⑥-岷沱江;⑦-汉江;⑧-洞庭湖水系;⑨-湖口及以下干流; ⑩-鄱阳湖水系;(11)-金沙江石鼓以上;(12)-金沙江石鼓以下
2.2 长江流域植被NPP空间动态分析
根据2001—2020年长江流域多年平均NPP、NPP变化趋势、NPP变化的稳定性状况和未来NPP可能的持续状态可知(见图3、表2):NPP空间分布上呈现出上游金沙江流域NPP均值最低,中、下游次之的空间分布。其中NPP小于300 gCm-2a-1占比18.85%,主要分布在金沙江流域、下游干流域和太湖流域;介于300~500 gCm-2a-1的区域占比21.17%,集中在上游干流域、中游干流域和太湖流域;NPP大于1 100 gCm-2a-1的区域集中在岷沱江以南地区。

图3 长江流域NPP空间动态

长江流域NPP在2001—2020年主要以上升趋势为主,在岷沱江、乌江和嘉陵江流域上升趋势最为显著,上升速率基本在3 gCm-2a-1以上。NPP呈减小趋势地集中在金沙江流域、洞庭湖流域和鄱阳湖流域地区,其中后两者下降速率基本在2 gCm-2a-1以上。整个区域NPP减少速率在2 gCm-2a-1以上的像元占比为2.08%,集中在0~2 gCm-2a-1的像元占比为14.01%。从不同子流域的平均值来看,嘉陵江(2.86 gCm-2a-1)、宜宾至宜昌(2.57 gCm-2a-1)和汉江(2.36 gCm-2a-1)的NPP增加速率大于2 gCm-2a-1,仅有鄱阳湖水系(0.95 gCm-2a-1)的增加速率小于1 gCm-2a-1。长江流域近20 a NPP变化主要以低波动变化为主,但在年均NPP小于500 gCm-2a-1的金沙江流域、下游干流域和太湖流域其波动性以中等波动和较高波动为主。其中,岷沱江区域的植被NPP变化的波动性最大(稳定性系数为0.122,中波动变化),鄱阳湖水系NPP变化的波动性最小(稳定系数为0.077)。长江流域Hurst指数(H)均值为0.59,即未来一段时期内NPP变化趋势与过去年间的变化趋势整体表现为相同趋势。H在0.5以上的面积占66.4%。结合前面的植被NPP变化趋势发现长江流域部分地区NPP在未来一段时间仍会持续增加。未来NPP变化趋势与2001—2020年的变化趋势相反的面积(0.5<H≤1)占总面积的33.46%,仅有0.14%的面积上未来NPP变化与过去无关。其中,乌江(0.496)、宜宾至宜昌(0.470)、宜宾至湖口(0.482)、岷沱江(0.453)、金沙江石鼓以上(0.391)和金沙江石鼓以下(0.497)地区的Hurst小于0.5,即这些地区未来NPP的变化趋势可能与过去20 a相反,且金沙江石鼓以上地区的可能性较大。
2.3 长江流域植被NPP对气候因子的敏感性分析
本文为探究长江流域不同子流域NPP对不同气候因子的响应程度,采用随机森林算法对选取的14个气候因子的敏感性排序,从因子排序的结果发现不同子流域的气候因子对植被NPP影响的程度存在差异(见图4、表3)。其中,太湖水系的TEM、RS、PER和RX1因子对植被NPP的影响最大,%incMSE大于85,其他因子对植被NPP的%incMSE也基本在40以上。其次为湖口及以下干流的TEM、RX5对植被NPP的敏感性较大,%incMSE大于80,其他因子对植被NPP的影响也基本在50以上。乌江流域和宜宾至宜昌流域的植被NPP对所选的14个气候因子的敏感性相对较低,%incMSE基本在20以下。

图4 长江流域不同子流域NPP对气候因子的敏感性

本文将每个流域敏感度排名前四位的影响因子作为影响该地区植被NPP变化的主要气候因子,并分析其对植被NPP变化的直接和间接影响情况。
2.4 长江流域植被NPP 与主要气候因子的相关性分析
通过构建不同流域的主要气候因子对NPP的结构方程模型得到各个因子和各个因子对NPP的通经系数,反映不同气候因子对NPP的直接和间接影响。结构方程模型表明长江不同子流域NPP与不同气候因子间存在复杂的交互作用(见图5)。其中,乌江流域TN90P对NPP的正影响系数最大(0.38**),而TX90P(-0.35**)对NPP为负影响较大,RX1(0.18**)和TX10P(-0.11)对NPP的影响较小。此外,在整个相互作用路径中,RX1、TX10P对TX90P的影响系数、TX10P和RX1对TN90P的影响系数均大于0.5。由此可知,乌江流域NPP变化最主要因子为TN90P和TX90P,RX1和TX10P主要为NPP变化的间接因子,通过影响TN90P和TX90P来影响NPP。洞庭湖水系、金沙江石鼓以上和金沙江石鼓以下NPP受到正影响较大的因子分别为TX10P(0.87**)、WIN(0.43**)和TEM(0.88**),而湖口及以下干流和鄱阳湖水系主要受气候因子的负效应。汉江流域对NPP负影响较大的因素为TEM(-0.58**)和WIN(-0.35**),主要对NPP起到抑制作用,TXN和PER在一定程度上利于NPP提高。由此可知,长江流域各子流域植被生长影响因素存在显著的地域差异。

图5 长江流域不同子流域NPP对主要影响因子的结构方程模型
3 讨 论
3.1 长江流域植被NPP动态变化
在过去的几十年里,长江流域植被覆盖发生了巨大的变化,在森林保护和环境恢复实施下一些地区出现了植被恢复,然而目前关于植被变化的主导气候因子的研究还较少,本文通过分析近20 a长江不同子流域内植被NPP时空变化发现长江流域年均NPP为528.02 gCm-2a-1,高于全国平均值514.48 gCm-2a-1。其中,金沙江石鼓以上区域植被NPP为所有子流域中最低区域,主要原因是金沙江石鼓以上的大部分地区处于青藏高原地区,海拔高,气温较其他地区低,而且植被类型多以草地类型为主,生境比较脆弱,NPP较小。乌江为所有子流域中年均植被NPP最高流域,主要是因为乌江所处地区水热条件较好,植被多以林地为主,因此该地区NPP较高。近年来长江流域大部分区域植被NPP呈增加趋势,尤其是嘉陵江流域东南部、乌江流域北部和西南部、岷沱江东南部、洞庭湖流域西北部,这些地区自1998年罕见的洪涝灾害以来被列为长江流域水土流失防治重点地区,有研究显示在生态保护和恢复政策实施下长江上游地区森林覆盖率提高了12%~31.9%,因此,这些地区NPP增加速率较其他地区快。鄱阳湖流域作为我国经济发达地区,人类活动极为频繁,随着政府实施了一系列移民安置项目,导致长江流域建设用地持续占用农田、草地和湿地。但近年来随着生态环境保护项目的实施,鄱阳湖生态环境逐渐改善,因此鄱阳湖流域植被NPP在近20 a仍为增加趋势,但其增加速率较其他地区小。金沙江流域大部分地区地处高山地区,由于其高差和陡坡,容易受到人类活动的干扰(如开发和采矿活动),从而对植被造成不同程度的环境破坏,如灌木和草地的面积减少,这一因素可能导致金沙江流域植被NPP增加速率最小。其次,金沙江流域作为长江流域源头地区,放牧和水电开发等人类活动也在一定程度上破坏了植被系统的稳定性,使部分地区NPP呈现减小趋势。本文NPP变化趋势与徐勇、贾怡童、叶许春等对近20 a长江流域各子流域NPP时空分布和变化趋势的结论一致,同时他们也发现极端气候、平均气候和地形均对植被产生直接影响使得不同地区的植被变化趋势不一致。
3.2 长江流域植被NPP的驱动因子
本文基于随机森林和结构方程模型探究了不同的极端气候指标和平均气候指标对长江不同子流域NPP变化的敏感性以及直接和间接的相关性,发现长江流域各子流域植被生长影响因素存在显著的地域差异,乌江、宜宾至宜昌、宜宾至湖口、洞庭湖水系、湖口及以下干流和金沙江石鼓以上地区NPP受到极端气候因子的影响较大,而其他地区受到平均气候的影响较大,且不同的极端气候对NPP产生的影响程度和影响效应也存在显著差异。如乌江流域TN90P对NPP的正影响最大,而TX90P对NPP取负影响较大,RX1和TX10P对NPP的影响较小,但RX1和TX10P主要通过影响TN90P和TX90P从而对NPP产生显著影响。其中,发现极端降水指数增加有利于很多子流域内的植被生长(尤其是长江上中游地区),这主要是因为半干旱区的植被主要以旱生和强旱生类型为主,降水增加对其影响显著大于温度,主要因为降水能缓解土壤水分胁迫对植被造成的影响。长江流域上游地区夏季植被生长经常受到干旱胁迫,进入秋季之后,温度迅速降低,十分不利于NPP的积累。同时有研究指出温度升高会增加土壤有机质分解速率,促使土壤中的养分更容易矿化并提供给植被,从而有利于植被发育生长,但也有研究结果发现温度的升高会使得较为干旱地区的植被生长受到土壤水分胁迫的影响,从而导致植被生长受限,但这取决于温度、太阳辐射、降水和土壤类型等因子对植被NPP的共同协调。但本文发现极端降水对较为干旱地区的NPP有促进作用,极端温度指标对干旱地区植被生长多以负影响为主。所以说长江流域生态工程不仅要充分了解植被的组成、结构及用水策略,而且还要考虑到目前国际气候变化模型对未来区域生态和经济可持续发展可能产生的影响,以期制定人与自然和谐相处的生态恢复工程策略。
3.3 未来研究方向
虽然本文综合评价了极端降水、极端气温、风速、年均气温、年累计降水和太阳辐射对NPP的影响情况和贡献度,但不同因子之间存在的交互作用对NPP的影响远远强于单个因子的作用,例如,一个异常温暖季之后的一年内,草原中土壤异养呼吸作用增强,抵消了生态系统曾经因为变暖对碳的净吸收,从而影响NPP。因此,在后期的研究中应该着重关注多因素是如何共同作用于植被NPP。其次,在探究长江流域NPP未来持续状态时使用了Hurst指数方法,该方法是基于过去20 a的NPP数据进行预测,并未加入影响NPP的因素进行控制(如气候因子),因此未来NPP持续状态仍需进一步探讨。
4 结 论
本文基于MODIS NPP数据和气候数据辅以Sen斜率法、变异系数、Hurst指数分析了长江流域2001—2020年不同子流域NPP时空变化情况,并基于随机森林和结构方程模型探究了对长江流域不同子流域NPP变化影响较大的主要气候因子和不同气候因子对NPP的直接和间接影响大小。主要结论如下:
(1)长江流域NPP均值为528.02 gCm-2a-1,其中金沙江石鼓以上区域NPP为所有子流域中最低区域,年均值在150~200 gCm-2a-1,乌江为所有子流域中年均NPP最高流域,NPP集中在650~750 gCm-2a-1。
(2)NPP在2001—2020年以上升趋势为主,岷沱江、乌江和嘉陵江流域上升趋势最为显著,金沙江流域、洞庭湖流域和鄱阳湖流域呈减小趋势。NPP变化主要以低波动变化为主,岷沱江区域NPP变化的波动性最大,鄱阳湖水系NPP变化的波动性最小。长江流域NPP在未来一段时间仍会大面积以增加趋势为主。
(3)乌江、宜宾至宜昌、宜宾至湖口、洞庭湖水系、湖口及以下干流和金沙江石鼓以上地区NPP受到极端气候因子的影响较大,而其他地区受到平均气候的影响较大。不同的气候因子对植被NPP的直接影响方式存在差异且不同的极端气候对NPP产生的影响程度和影响效应也存在显著差异。
研究结果表明,长江流域植被生长未来将容易受到极端气候因子的影响。因此,后期研究应该在气候因子的基础上进一步分析月尺度的极端温度、极端降水等因素对不同植被生长的影响,进一步为测量和预测植被NPP对未来气候条件的响应提供模板,此外,季节性极端气候如何联合影响植被生长也需进一步研究。同时也要加入人类活动对植被变化的贡献度及不同强度活动地区植被生长对气候变化的敏感性,进一步探究人类活动和气候因子的共同作用对植被生产产生的影响。
水利水电技术(中英文)
水利部《水利水电技术(中英文)》杂志是中国水利水电行业的综合性技术期刊(月刊),为全国中文核心期刊,面向国内外公开发行。本刊以介绍我国水资源的开发、利用、治理、配置、节约和保护,以及水利水电工程的勘测、设计、施工、运行管理和科学研究等方面的技术经验为主,同时也报道国外的先进技术。期刊主要栏目有:水文水资源、水工建筑、工程施工、工程基础、水力学、机电技术、泥沙研究、水环境与水生态、运行管理、试验研究、工程地质、金属结构、水利经济、水利规划、防汛抗旱、建设管理、新能源、城市水利、农村水利、水土保持、水库移民、水利现代化、国际水利等。
