

物理学中最伟大的十个公式
以下是物理学中最伟大的十个公式(不分先后):
E=mc² - 相对论能量公式,表明能量和质量之间的等价关系。
F=ma - 牛顿第二定律,描述物体的运动状态受到施加的力的影响。
E=hf - 普朗克关系,表明能量和频率之间的关系,用于描述物体的量子行为。
c=λf - 光速公式,描述光的速度与波长和频率之间的关系。
S=klnW - 统计热力学熵公式,表明熵是一种状态函数,描述系统的无序程度。
G=(8πG/c⁴)T - 爱因斯坦场方程式,描述时空的曲率和物质和能量的分布之间的关系。
F=q(E+v×B) - 洛伦兹力公式,描述电荷在电场和磁场中所受的力。
S=kA/4G - 黑洞热力学熵公式,表明黑洞的熵与其表面积成正比。
δQ=TdS - 热力学第二定律,表明熵增加时系统的热力学不可逆性。
∇·E=ρ/ε₀,∇×E=-(∂B/∂t) - 麦克斯韦方程组,描述电磁场的演化和相互作用。
物理学中最复杂的十个公式
以下是物理学中最复杂的十个公式(不分先后):
麦克斯韦-玻尔兹曼方程 - 描述气体分子的速度分布,涉及多个变量和积分。
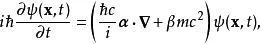
狄拉克方程 - 描述自旋½粒子的量子力学方程,涉及复数、矩阵和微分算子等。

爱因斯坦场方程式 - 描述时空的弯曲和物质和能量的分布之间的关系,包含多个张量和微分算子。

薛定谔方程 - 描述量子力学中波函数的演化,涉及复数、矩阵和微分算子等。

柯西-黎曼方程 - 描述复变函数的解析性,涉及复数和偏微分算子等。

熵增定理 - 描述热力学系统的熵增加过程,涉及微积分和统计物理等。
热力学基本方程 - 描述热力学系统的状态量之间的关系,涉及微积分和偏导数等。
场论方程 - 描述粒子场的演化和相互作用,涉及多个张量、矢量和微分算子等。
流体力学方程 - 描述流体的运动和变形,涉及多个偏微分方程和复杂的边界条件等。
弦理*公论**式 - 描述高能物理中粒子的性质和相互作用,涉及多个维度和拓扑学等高级数学概念。