有理数的计算是建立在小学六年级的分数、小数运算运算的基础之上,由原来的加减乘除四种运算升级为加减乘除乘方五种运算,难点在出现了乘方运算,易错点在符号问题,小学的运算不需要考虑符号,而初中的运算首先就是确定符号。
有理数运算所需的小学知识储备:
整数、小数和分数的四则运算;
约分和通分;
常用的小数与分数的互化;
基本的运算律和运算性质;
在进行有理数运算之前,必须要掌握相反数、倒数和绝对值等相关概念:
相反数:
倒数:
绝对值:
要想学好有理数运算,必须要熟练掌握有理数运算 法则:
加法:
减法:
乘法:
除法:
乘方:
有理数运算要点:
有理数的运算顺序:先乘方 和绝对值 ,再乘除,最后加减,有括号的先算括号里面的。
有理数乘方必须要先找准底数,这涉及符号问题,需要高度重视;
尤其注意负底数的乘方和乘方的相反数的区别,绝对是一大易错点;
无论哪种 基本 运算 ,都是 先确定符号,再确定数值。
在运算中要注意观察特征,合理运用运算律和性质可以简化运算过程,提升运算效率和准确率。
基础的计算没有过多的技巧,首先是掌握基本的运算法则和运算顺序,注意容易出错的几个环节。剩下的就是通过练习、巩固不断提高熟练度,进而提高昨天的准确率和速度。
如果学生的计算题比较弱,就需要加强训练,计算能力始终是数学学习最重要的能力,这一能力得不到提升,数学成绩很难提高。
建议每天认真完成10道有理数混合运算计算题,注意速度、准确率和规范度,发现问题纠正,坚持训练一个月左右,计算能力会有明显的提升。

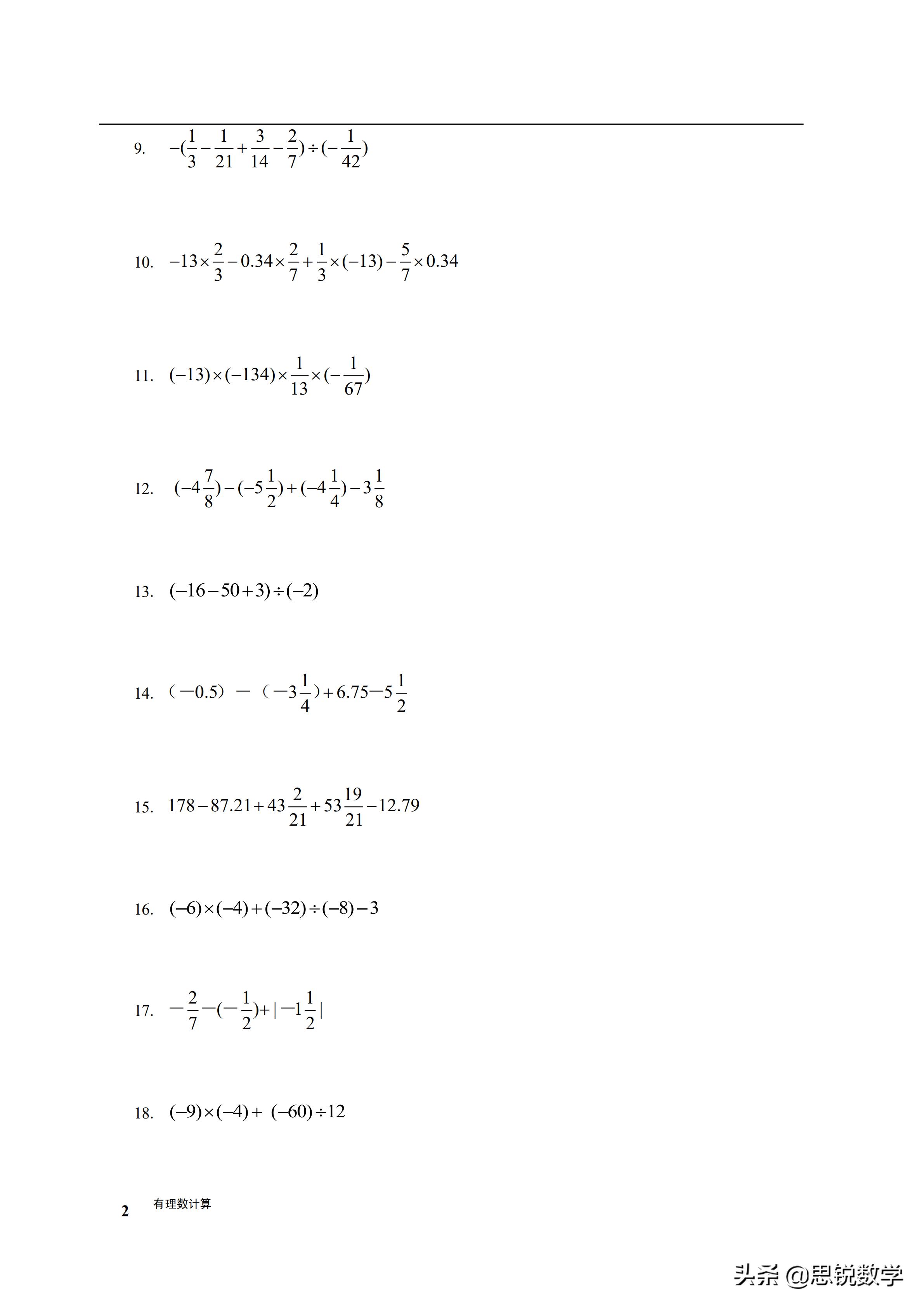
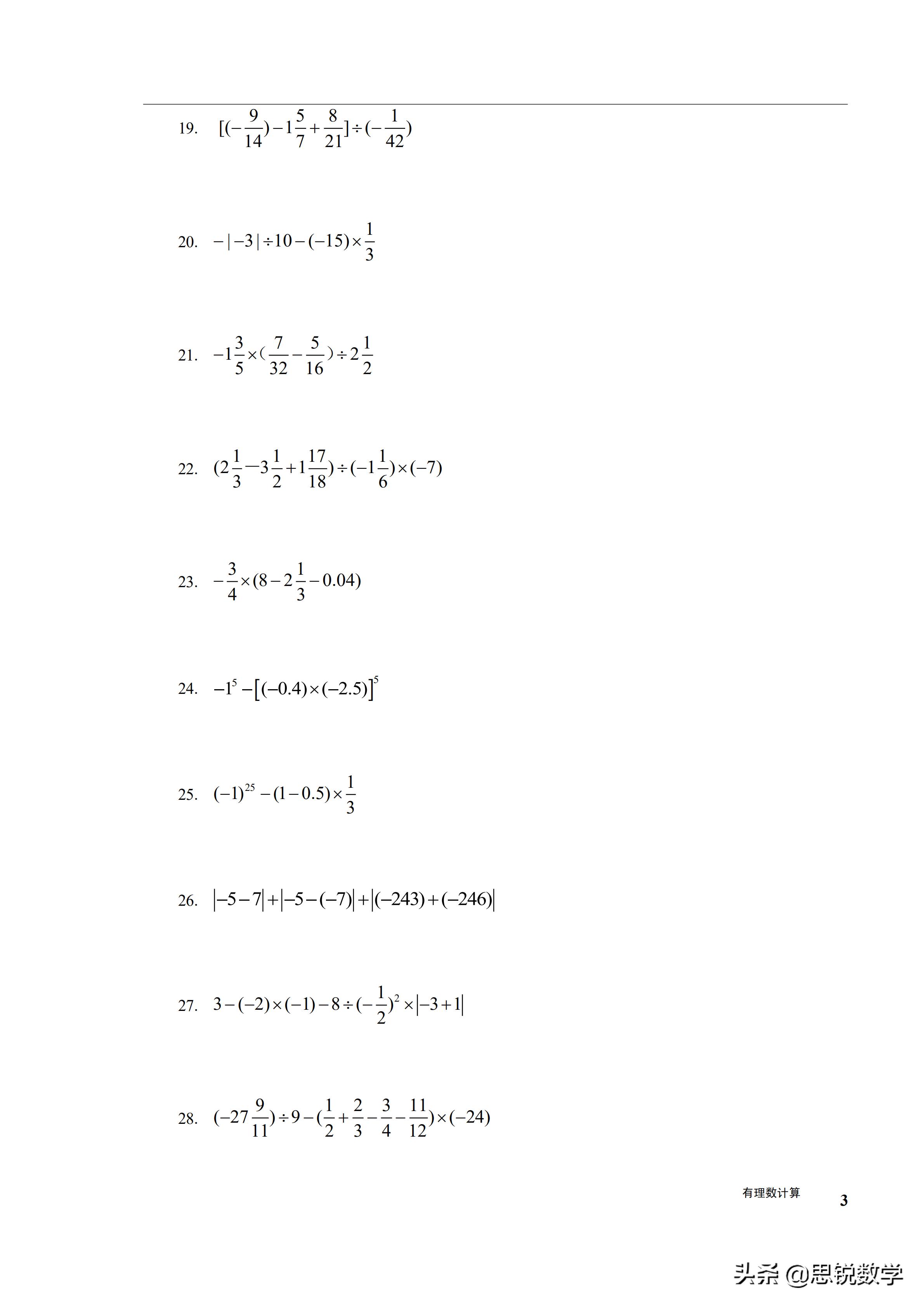
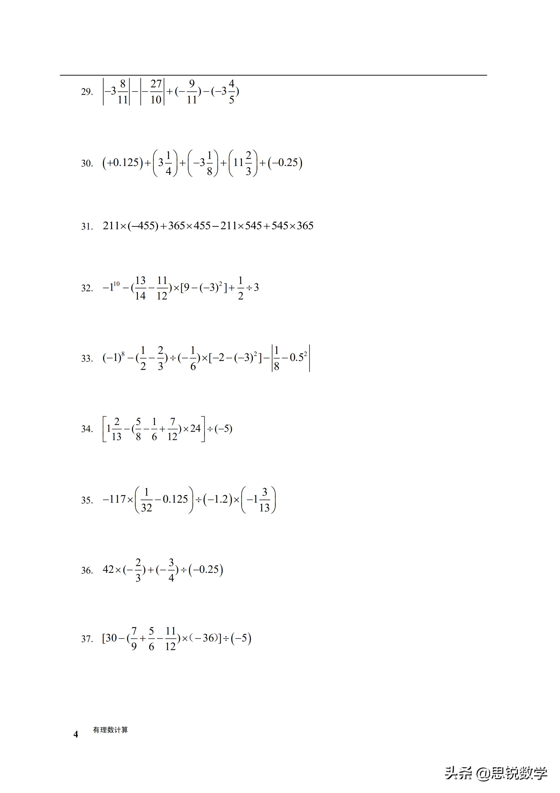
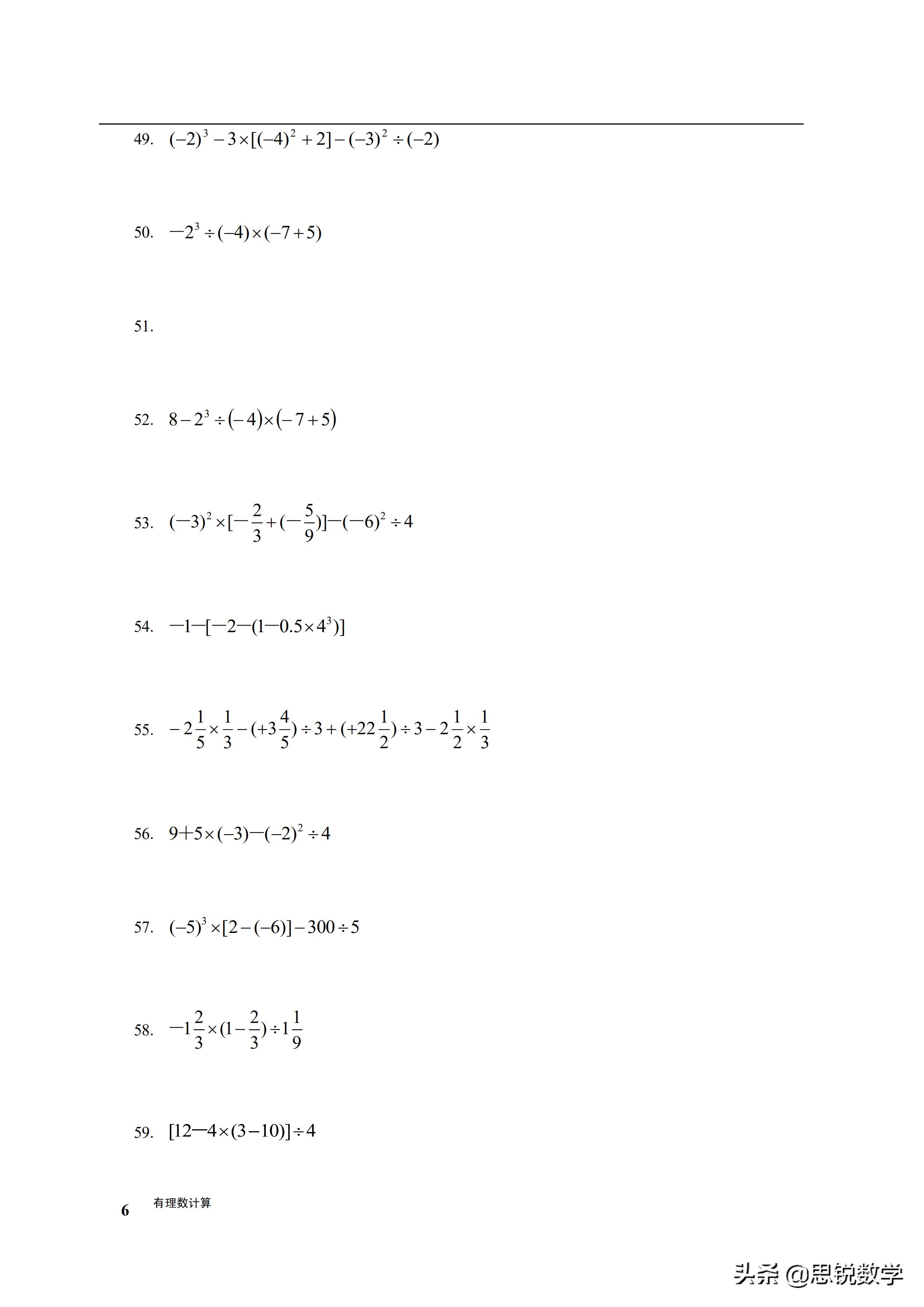
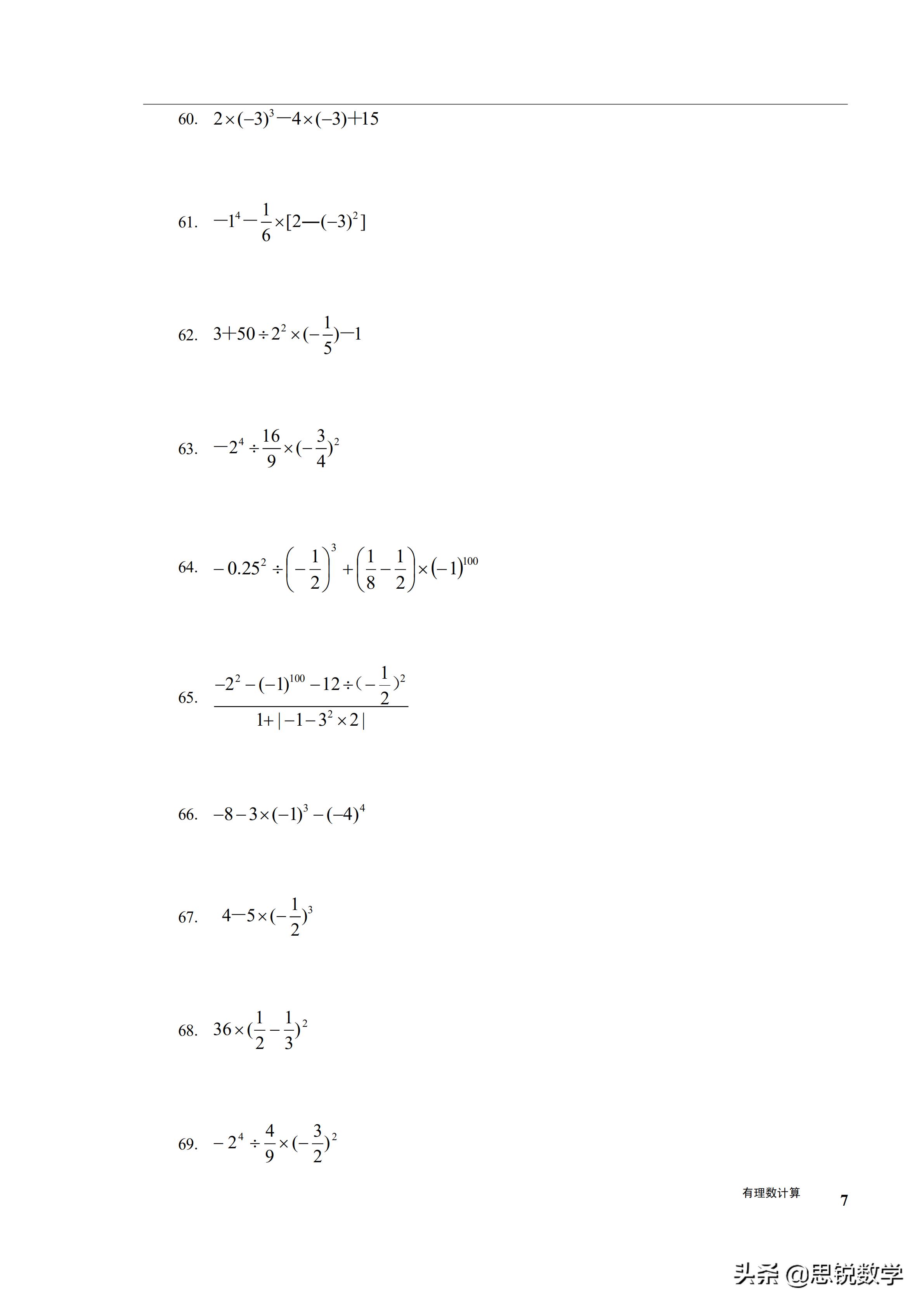
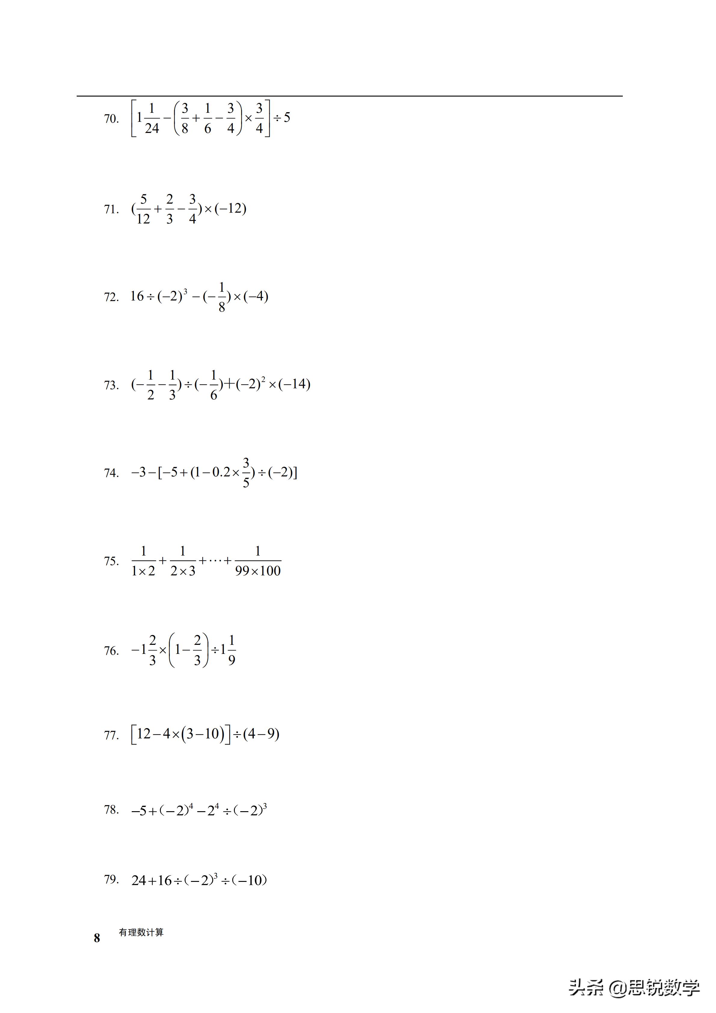
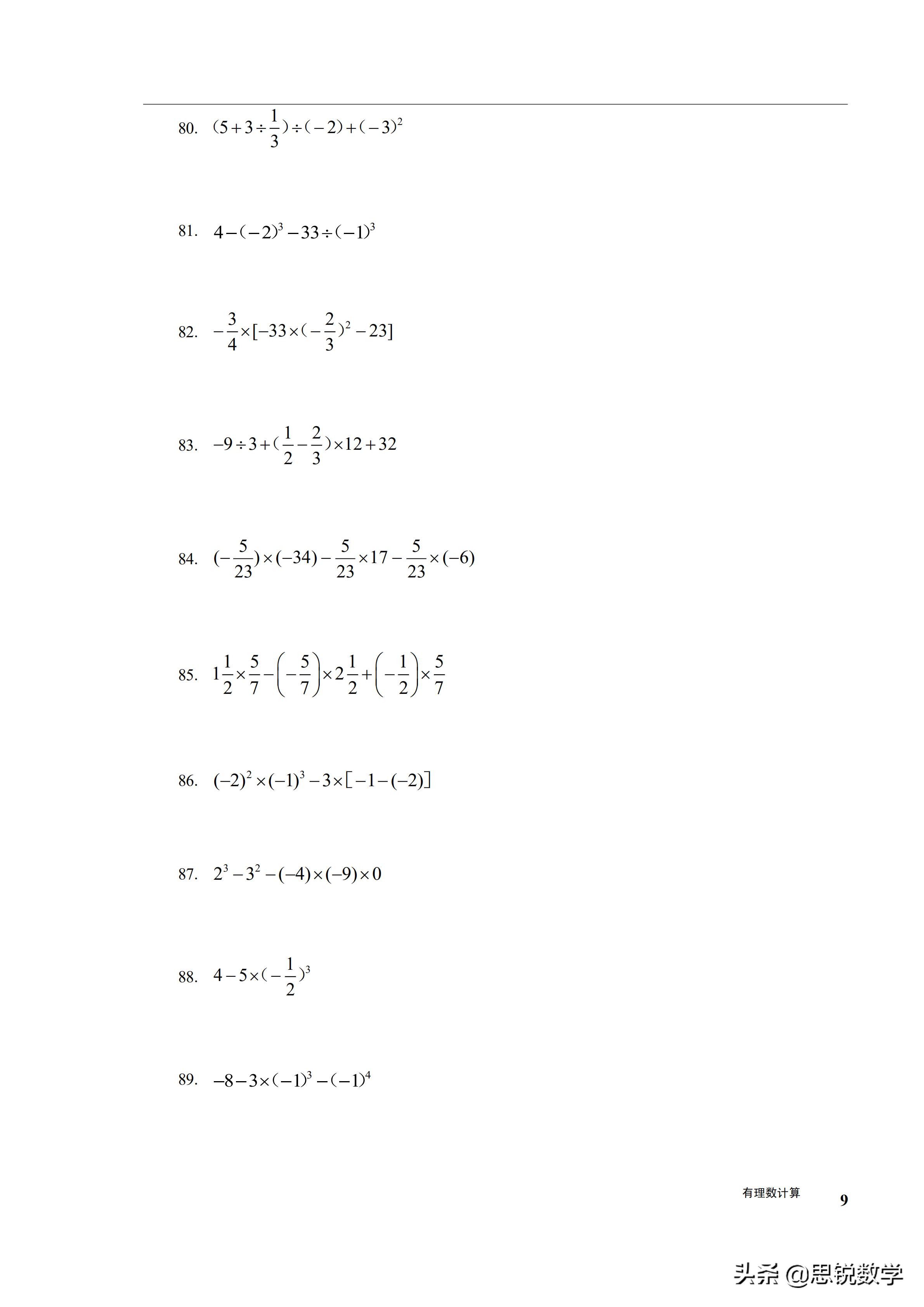
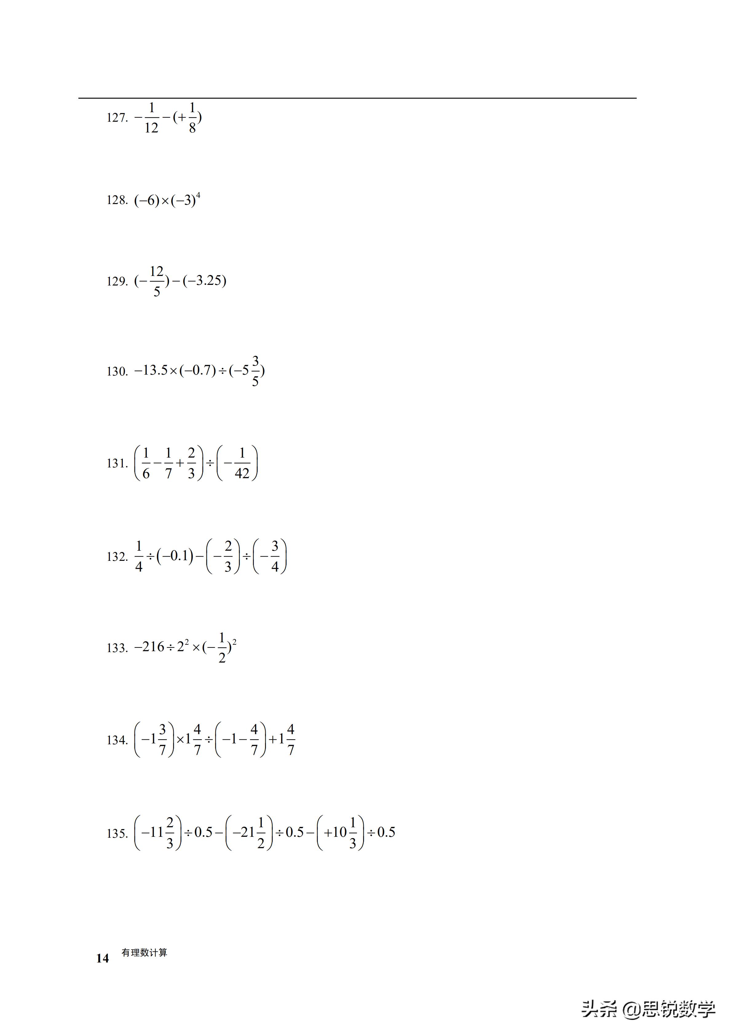
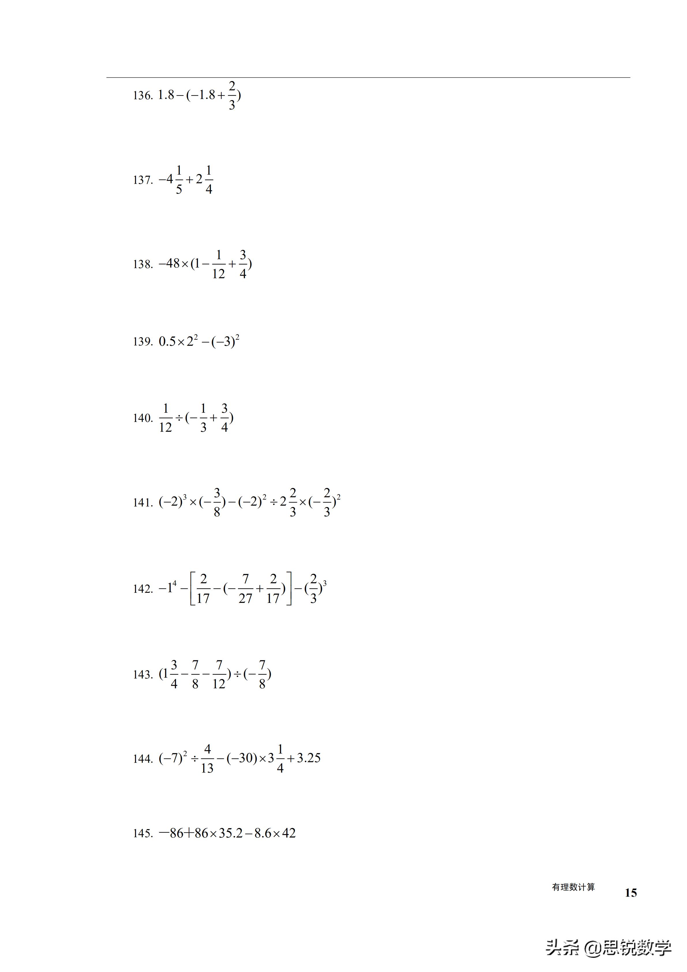
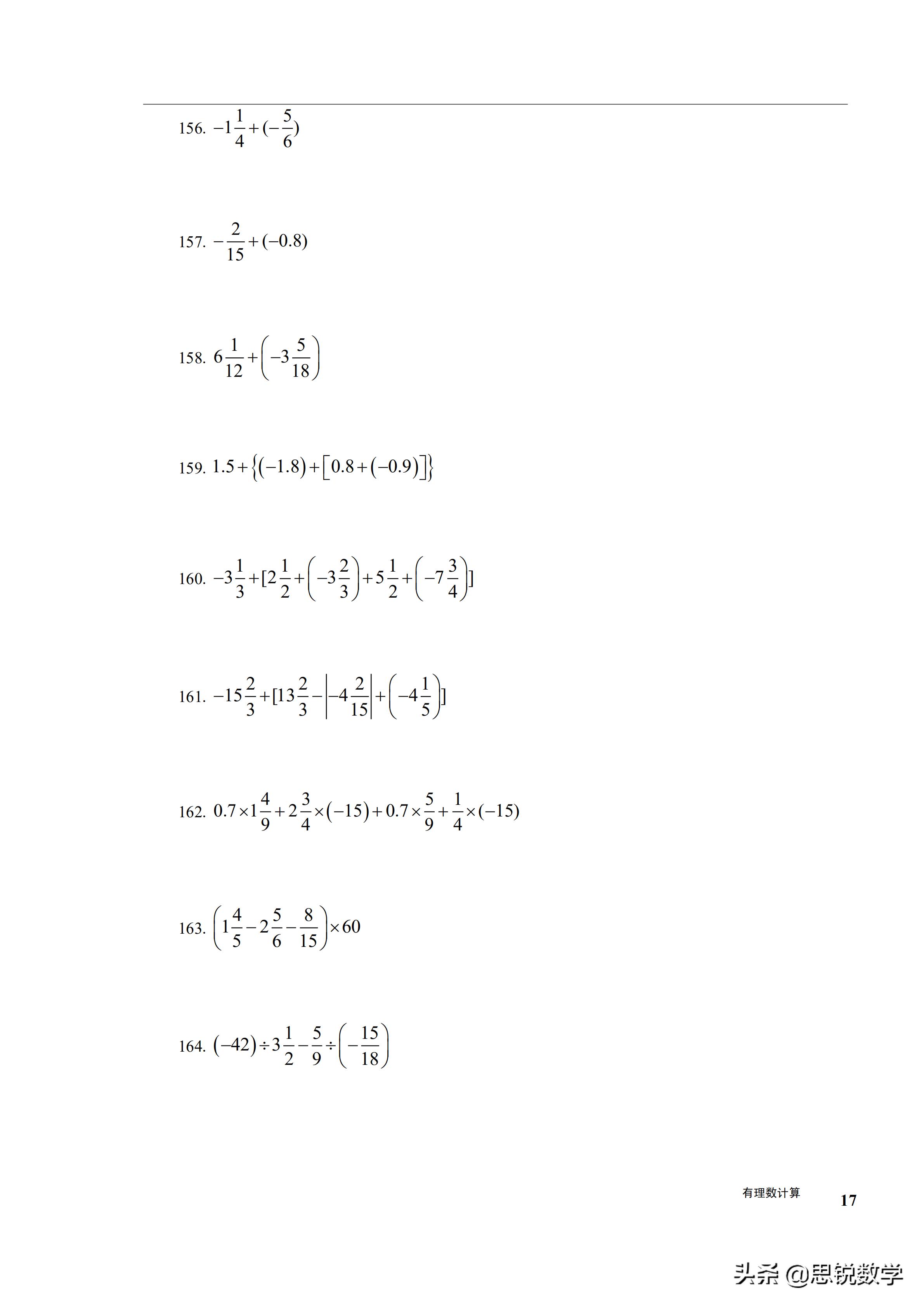
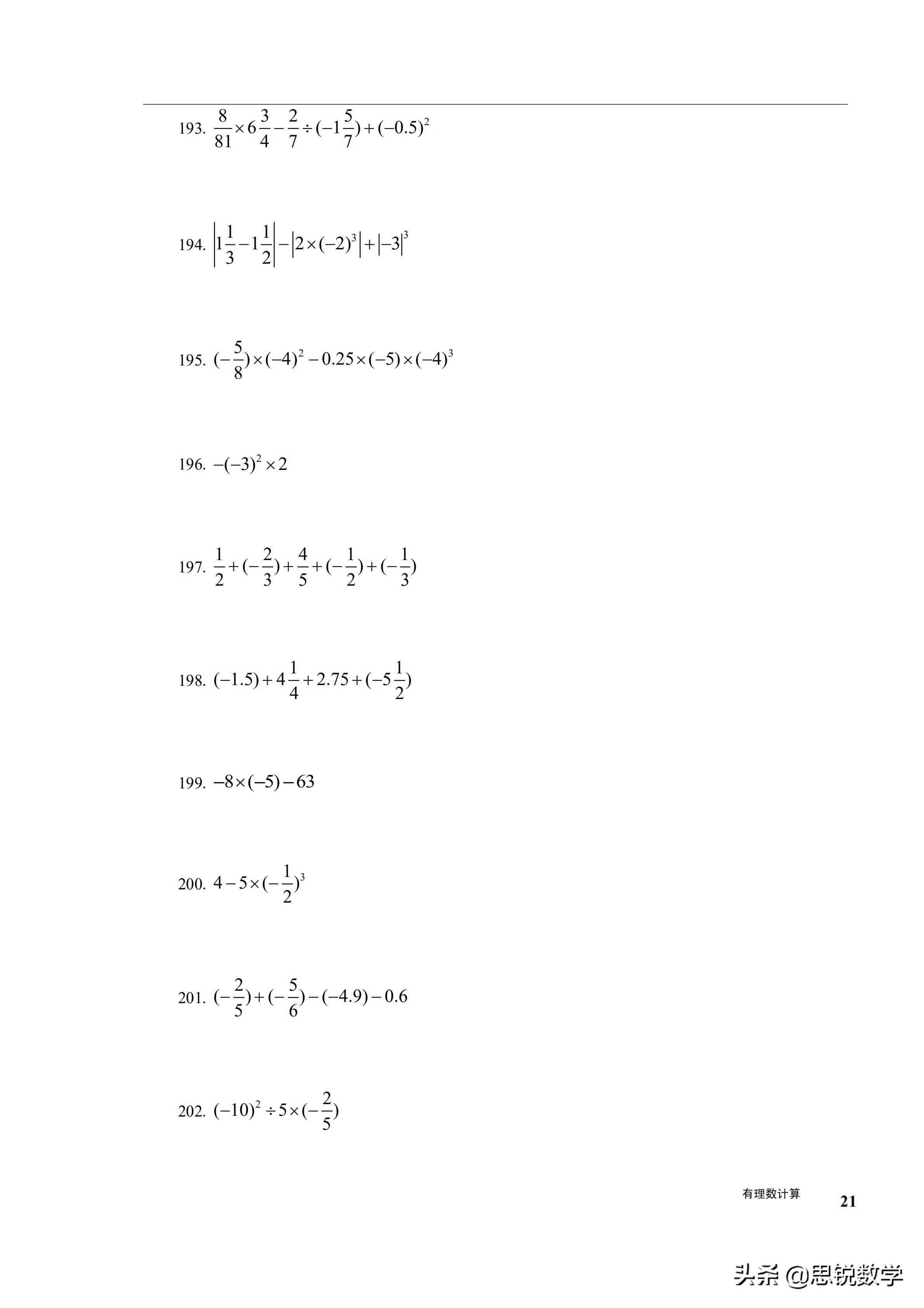
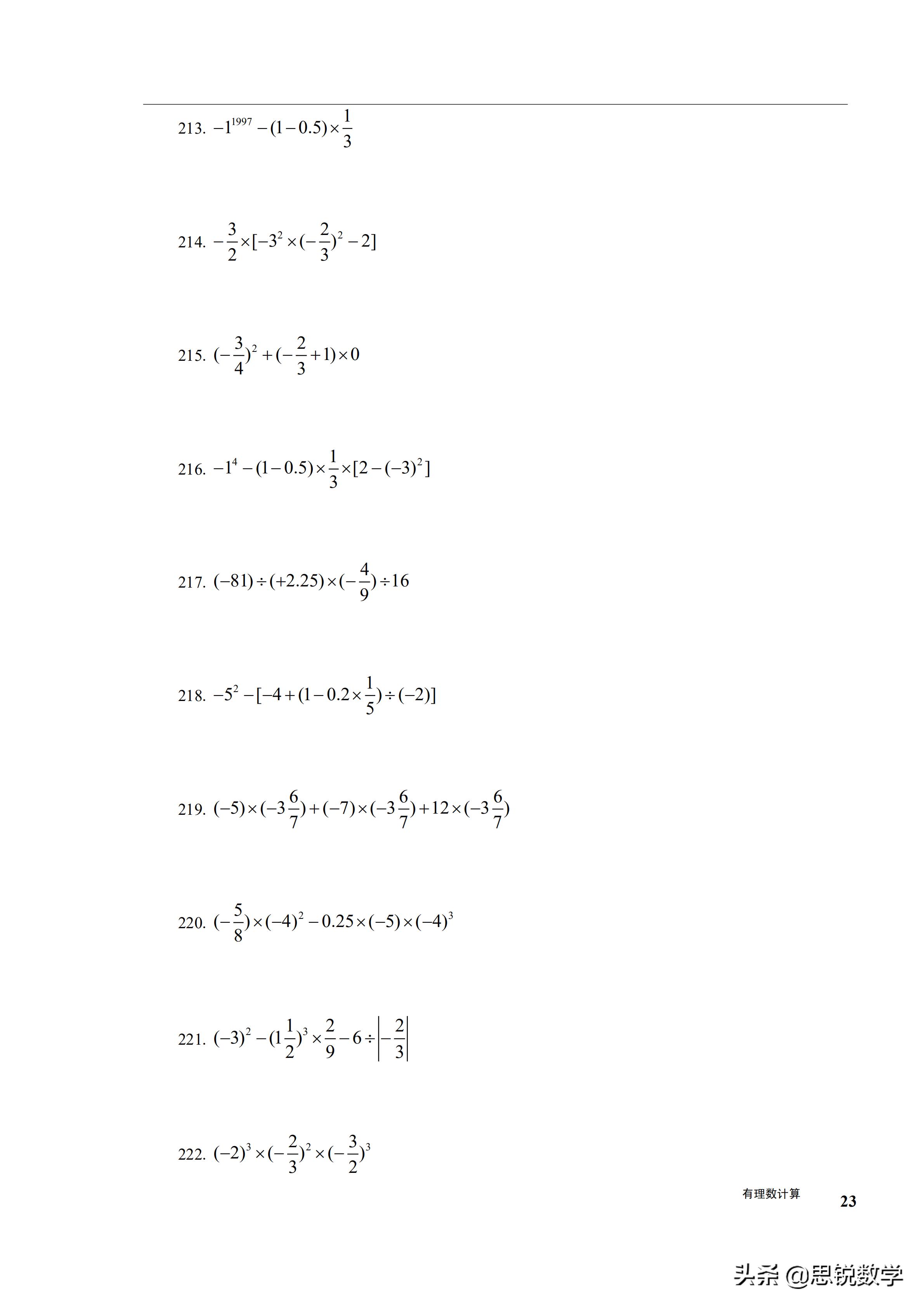
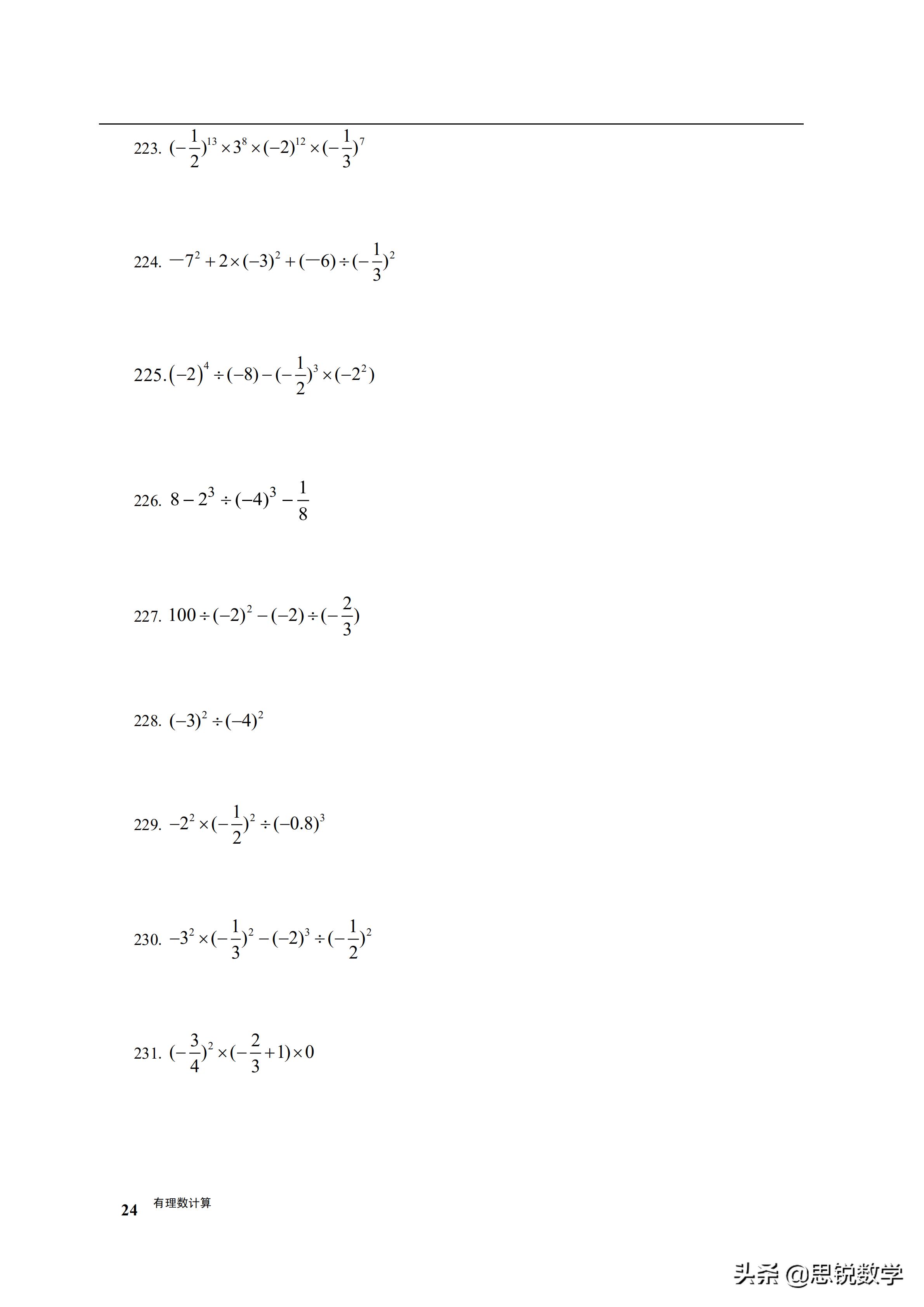
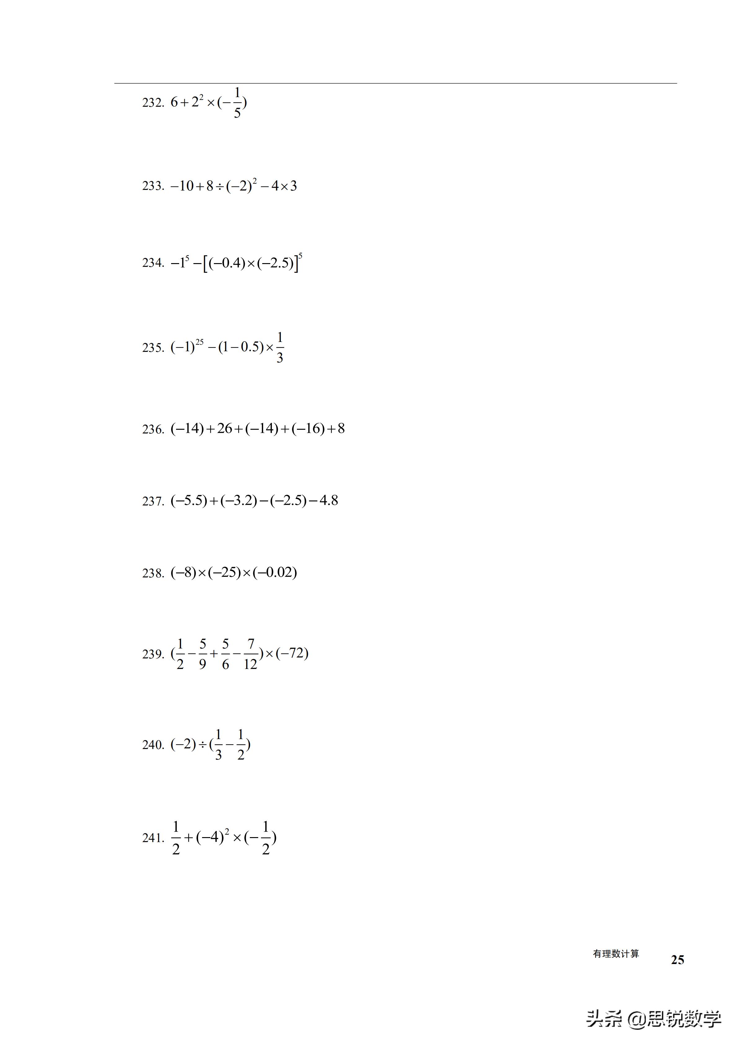
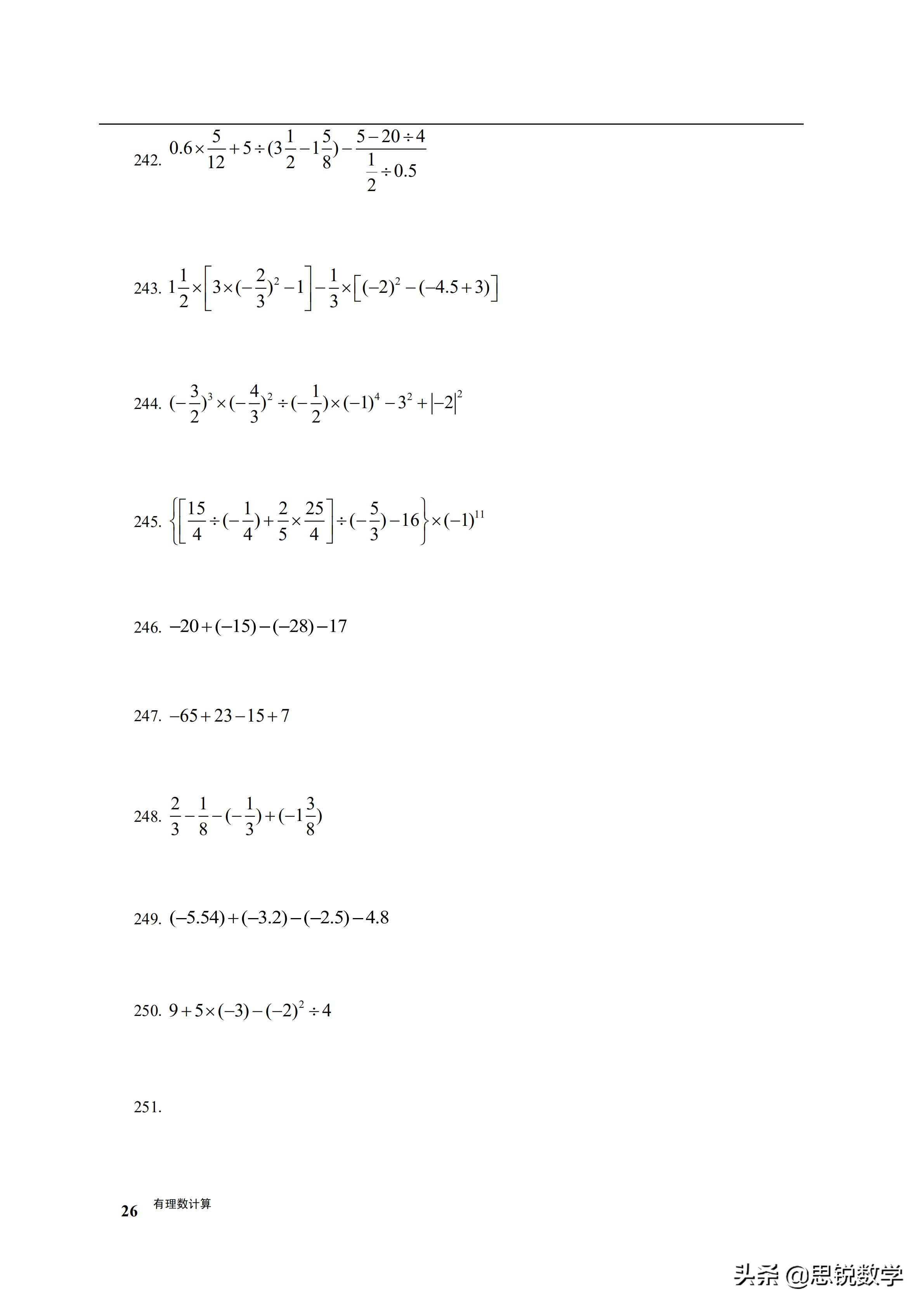
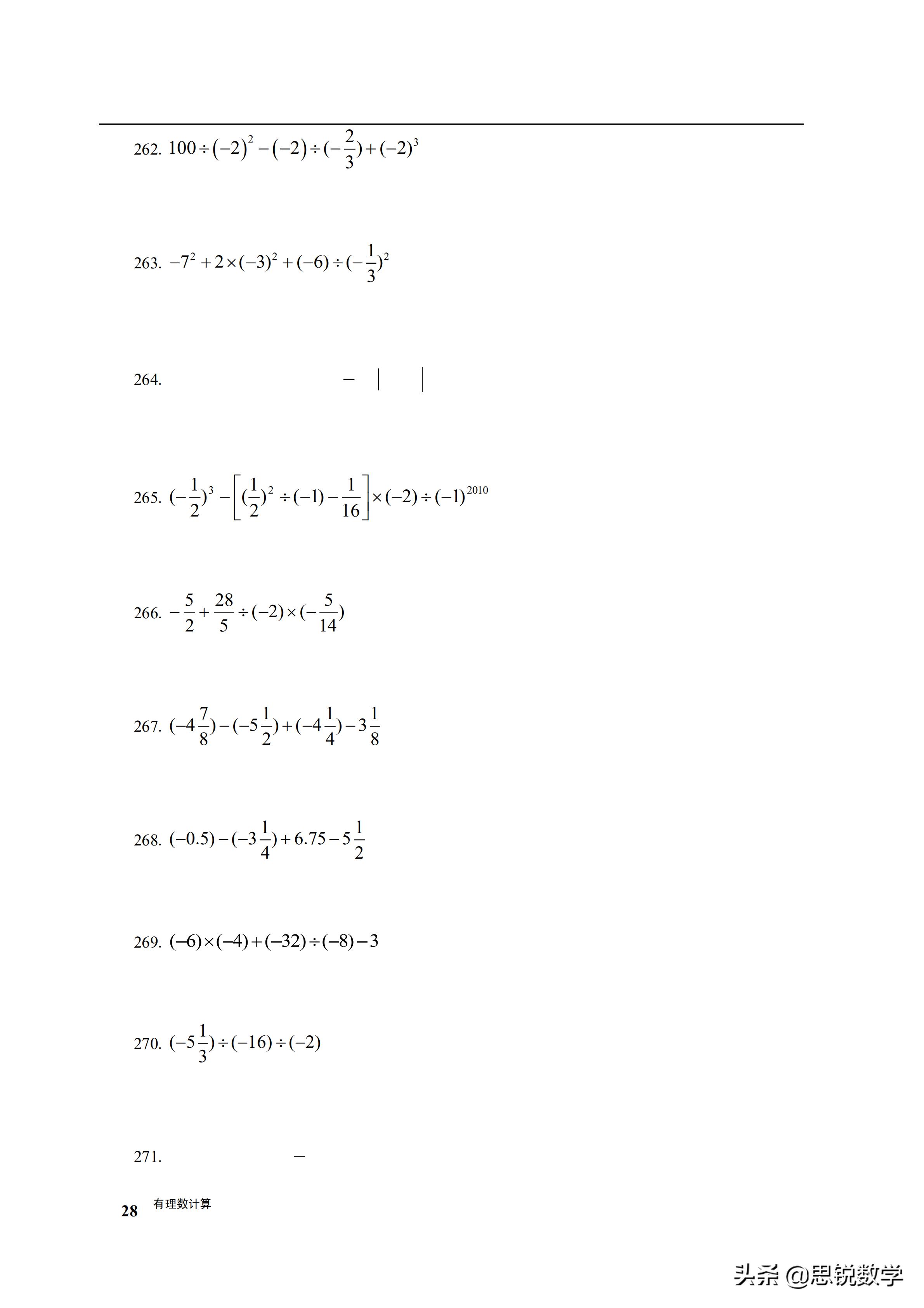
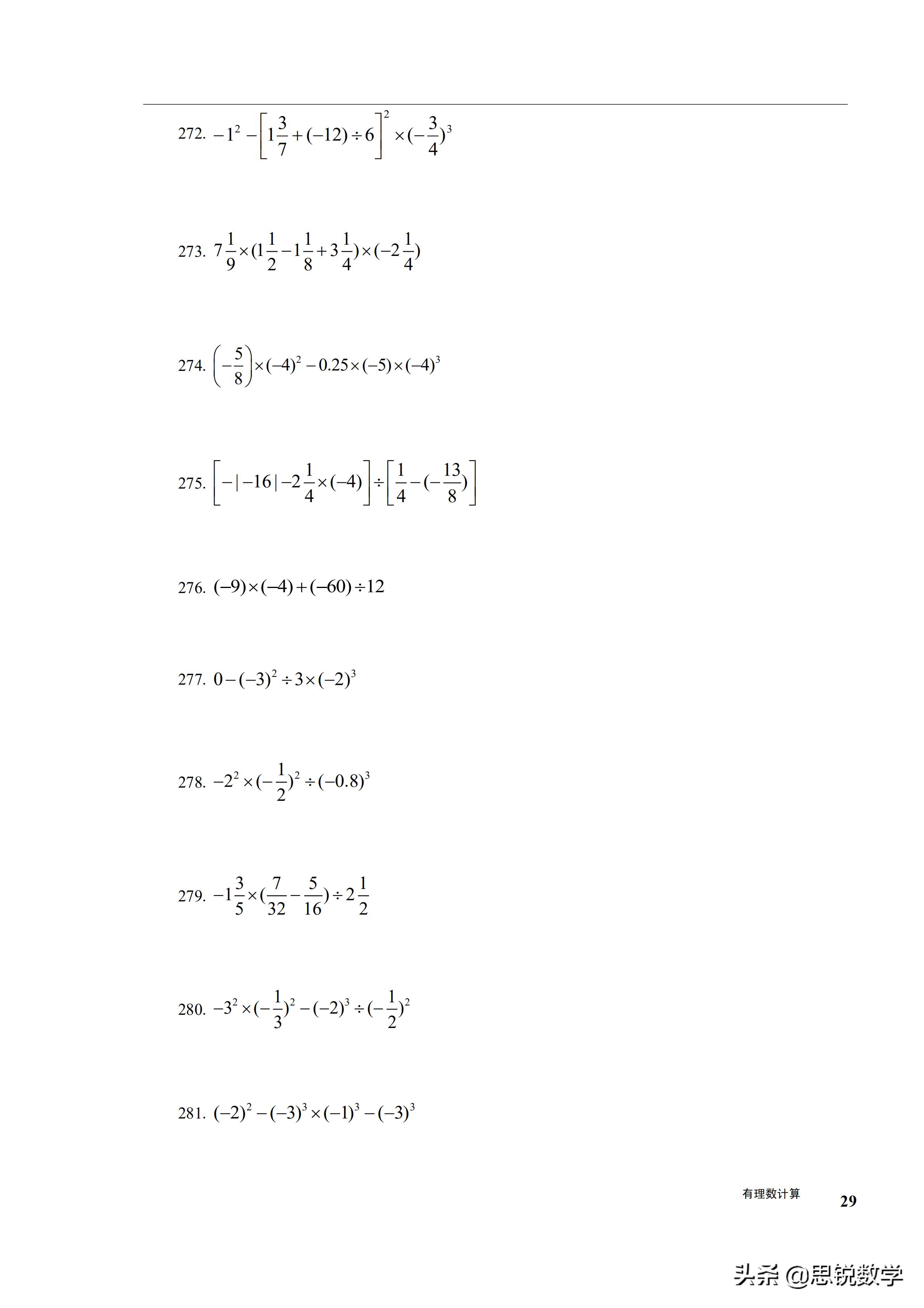
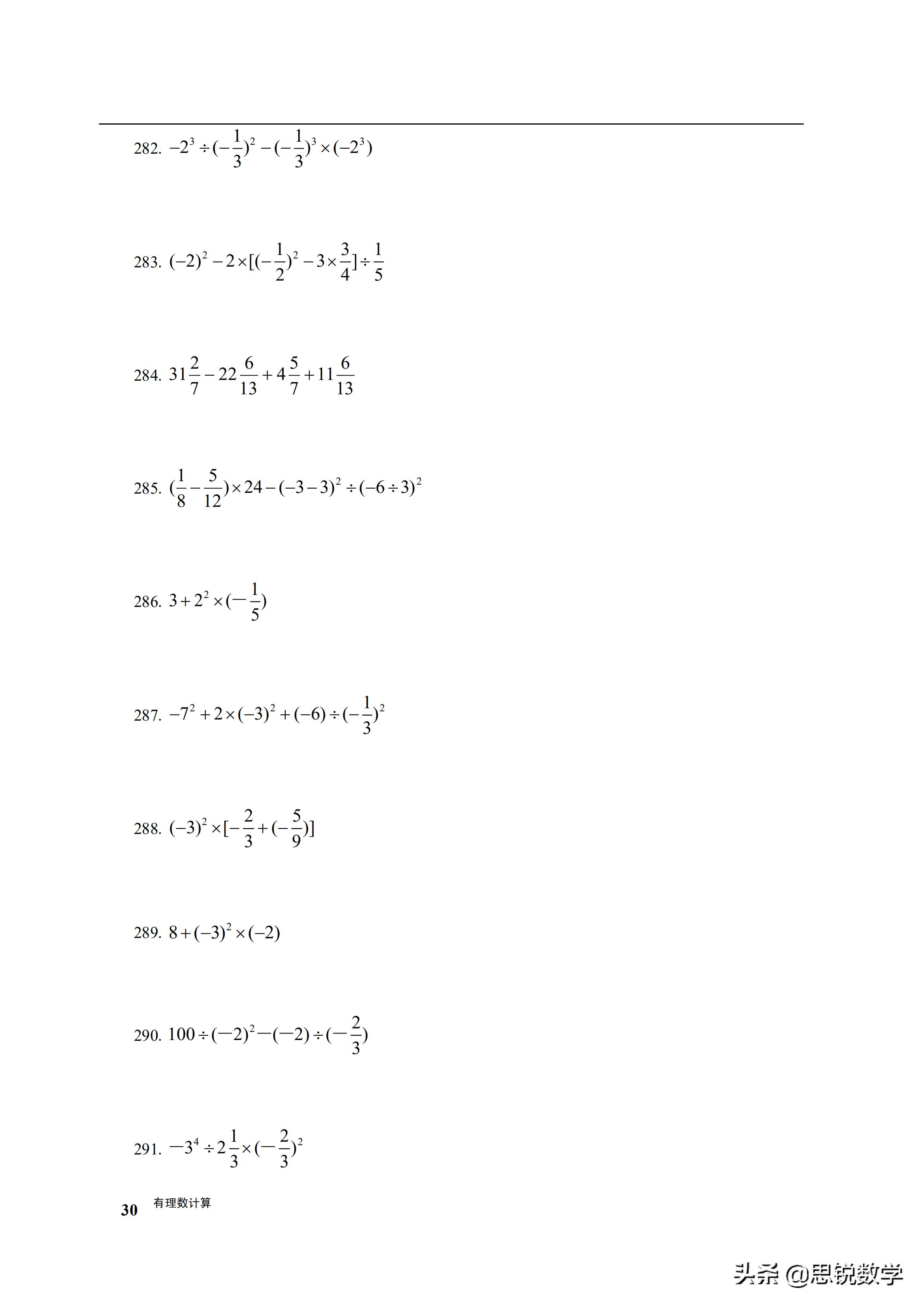
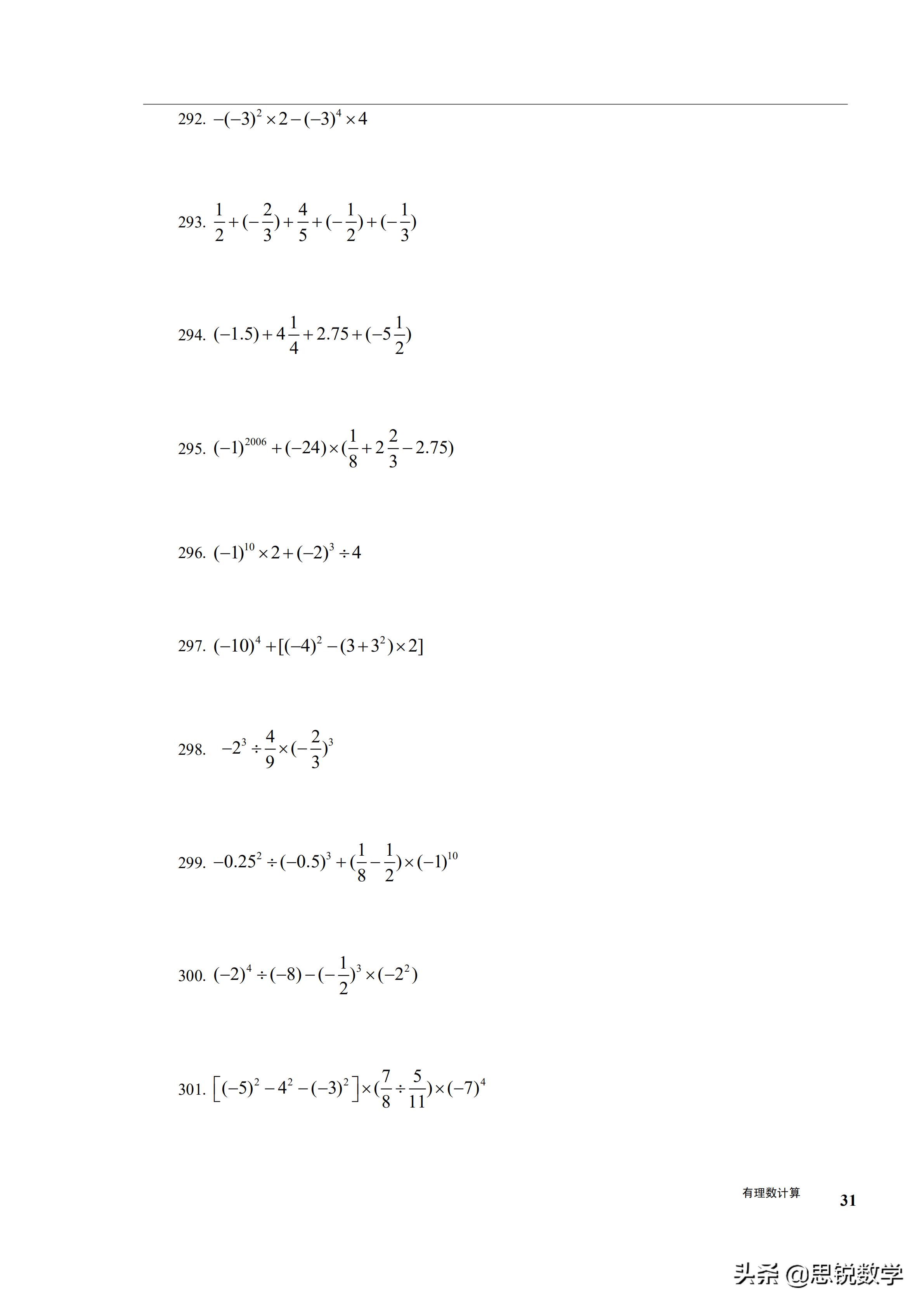
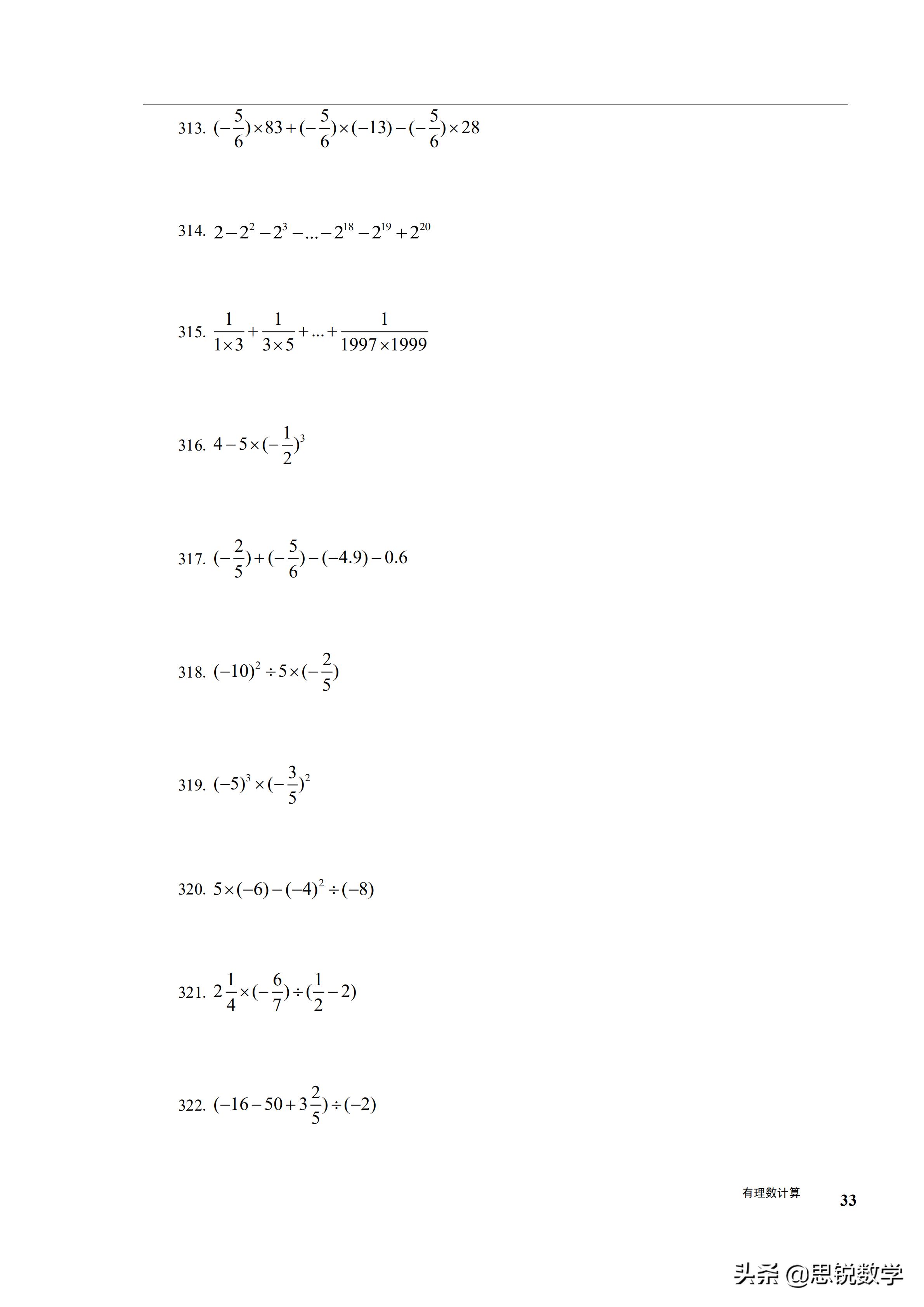
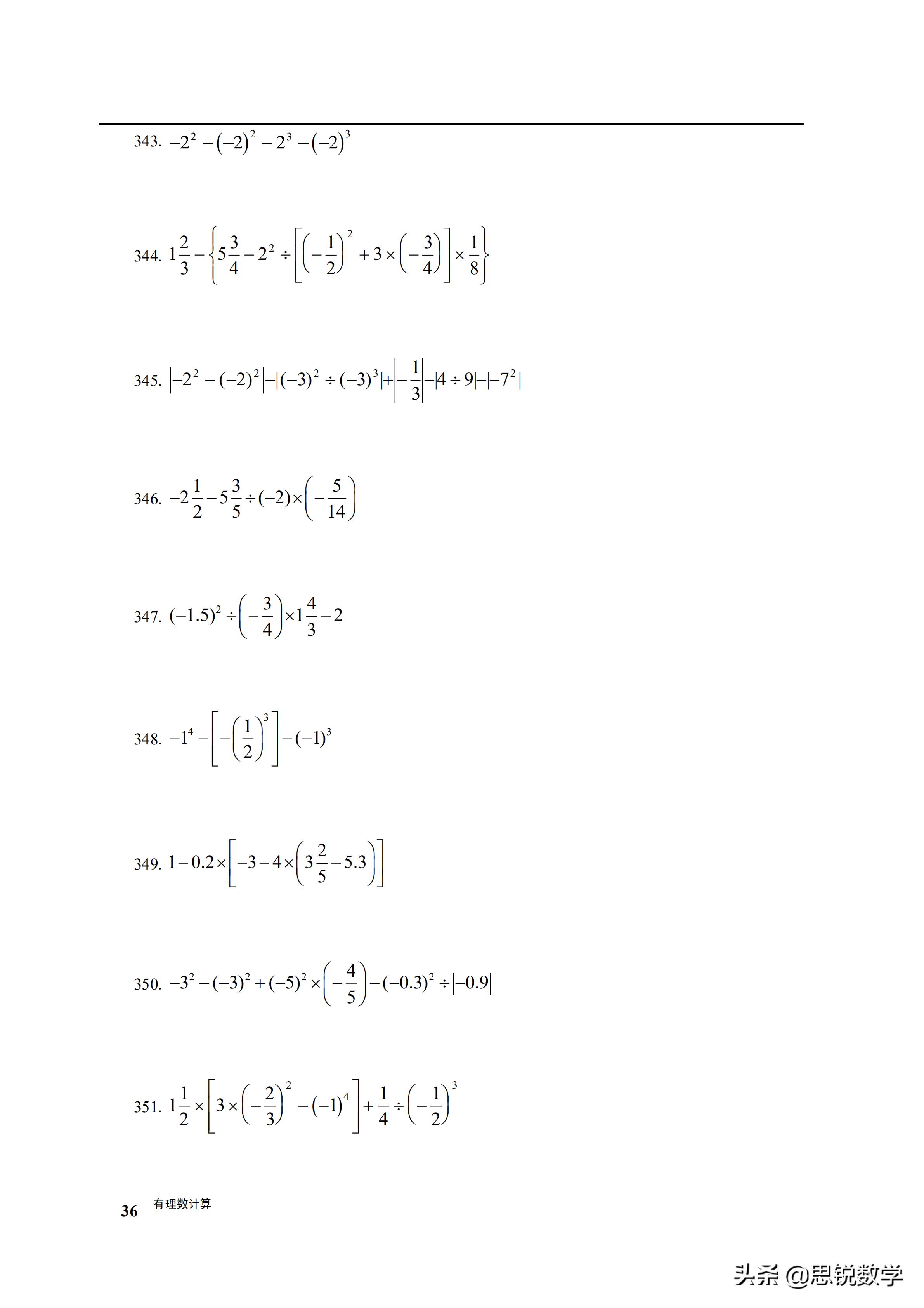
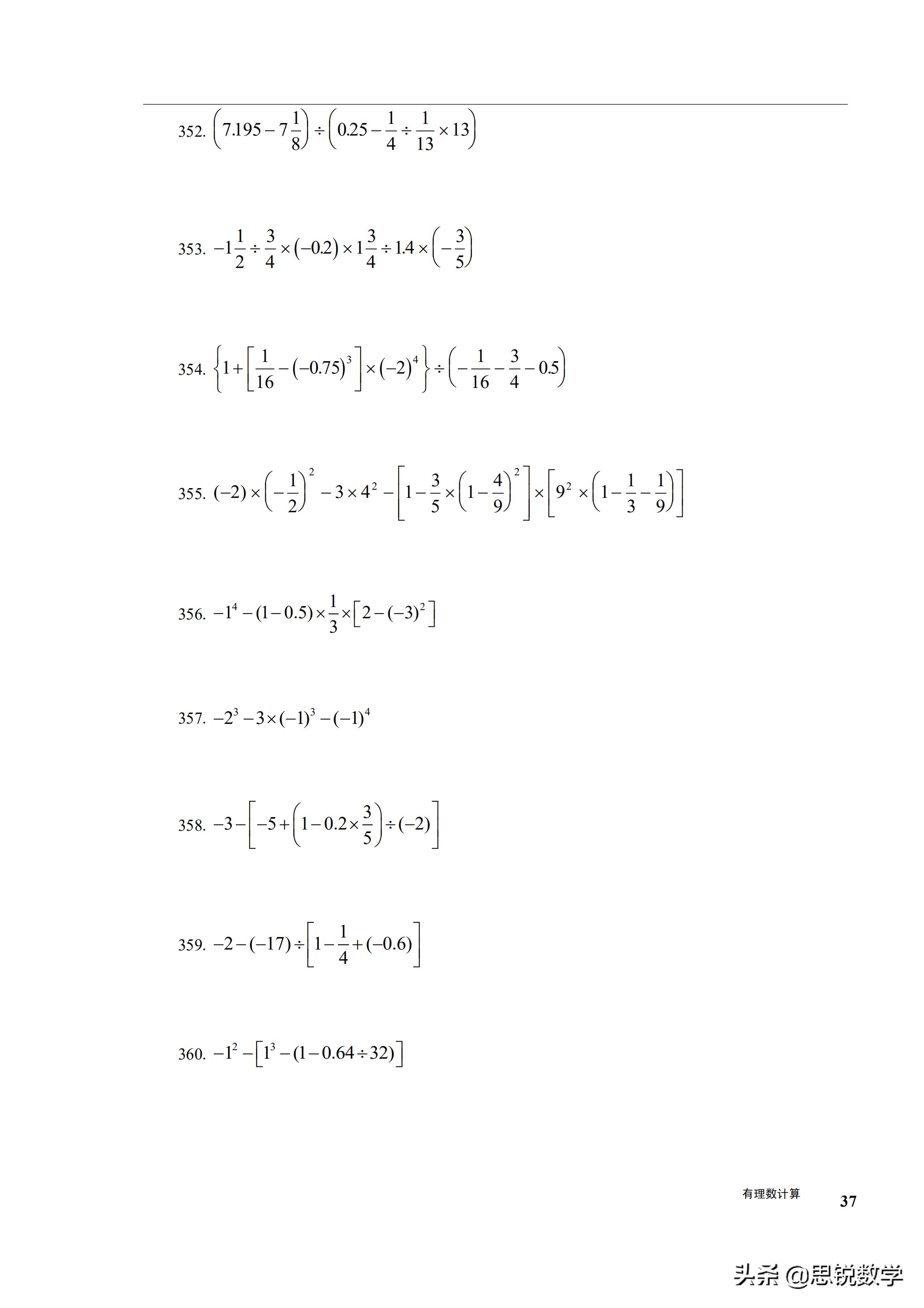
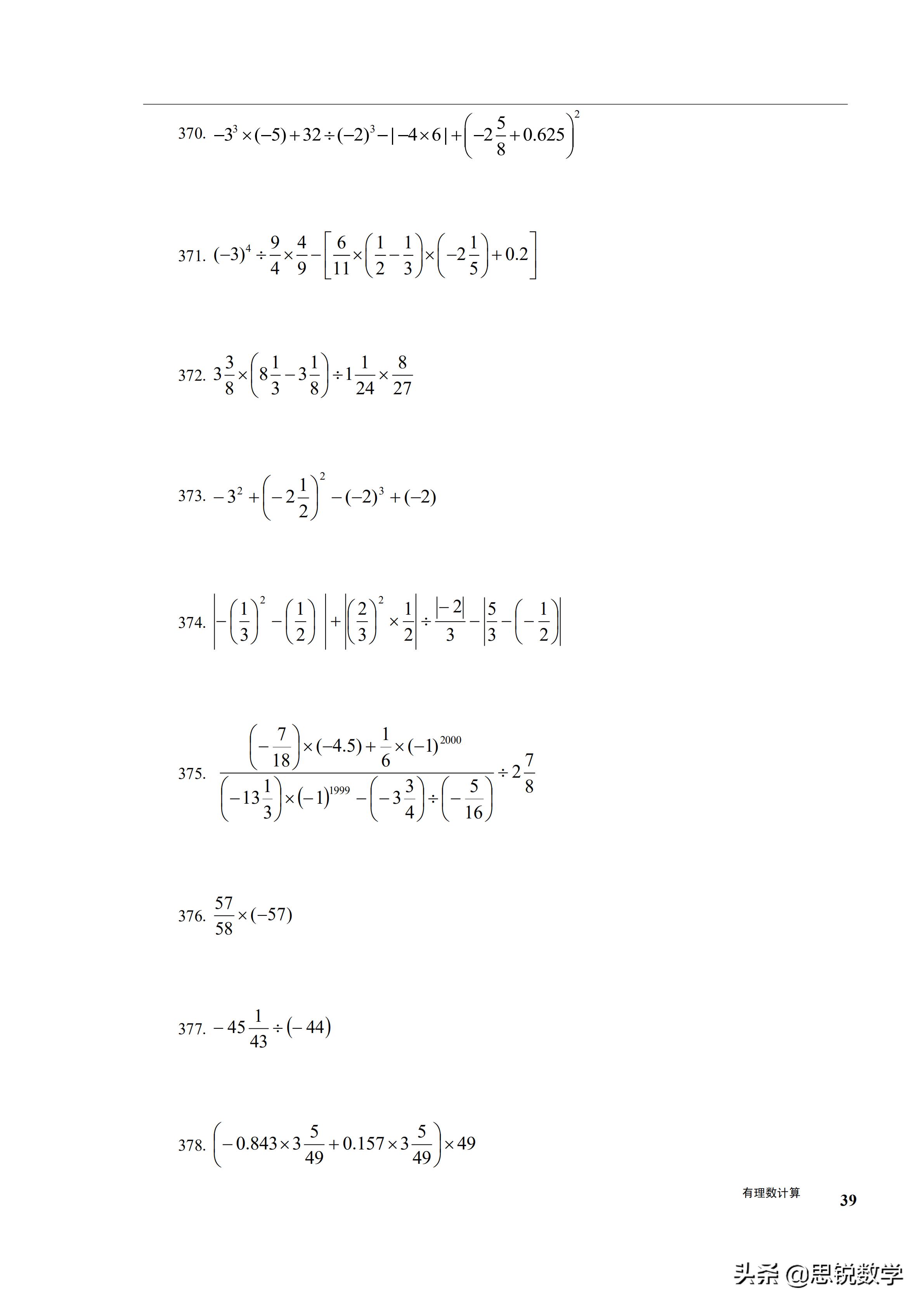
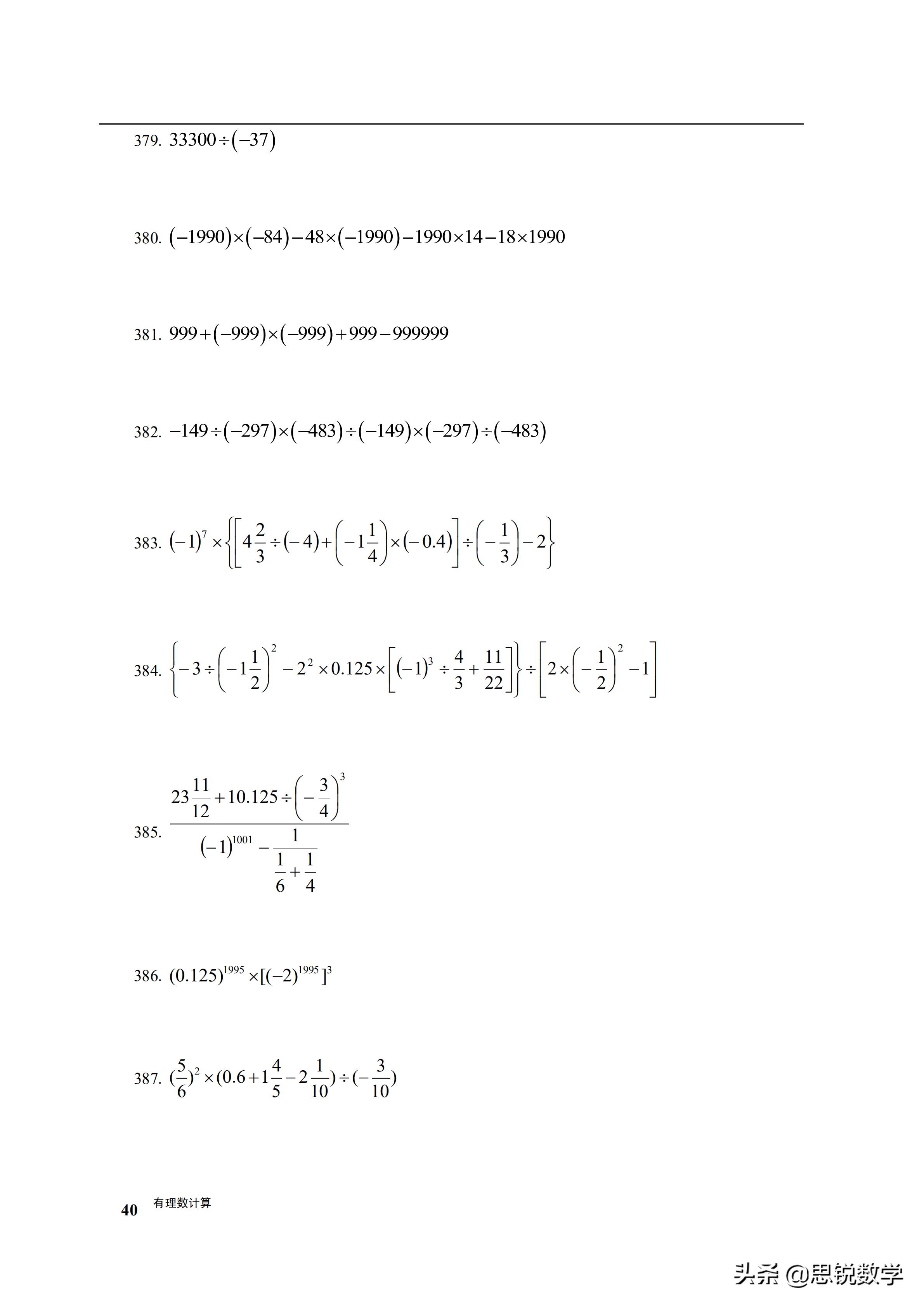
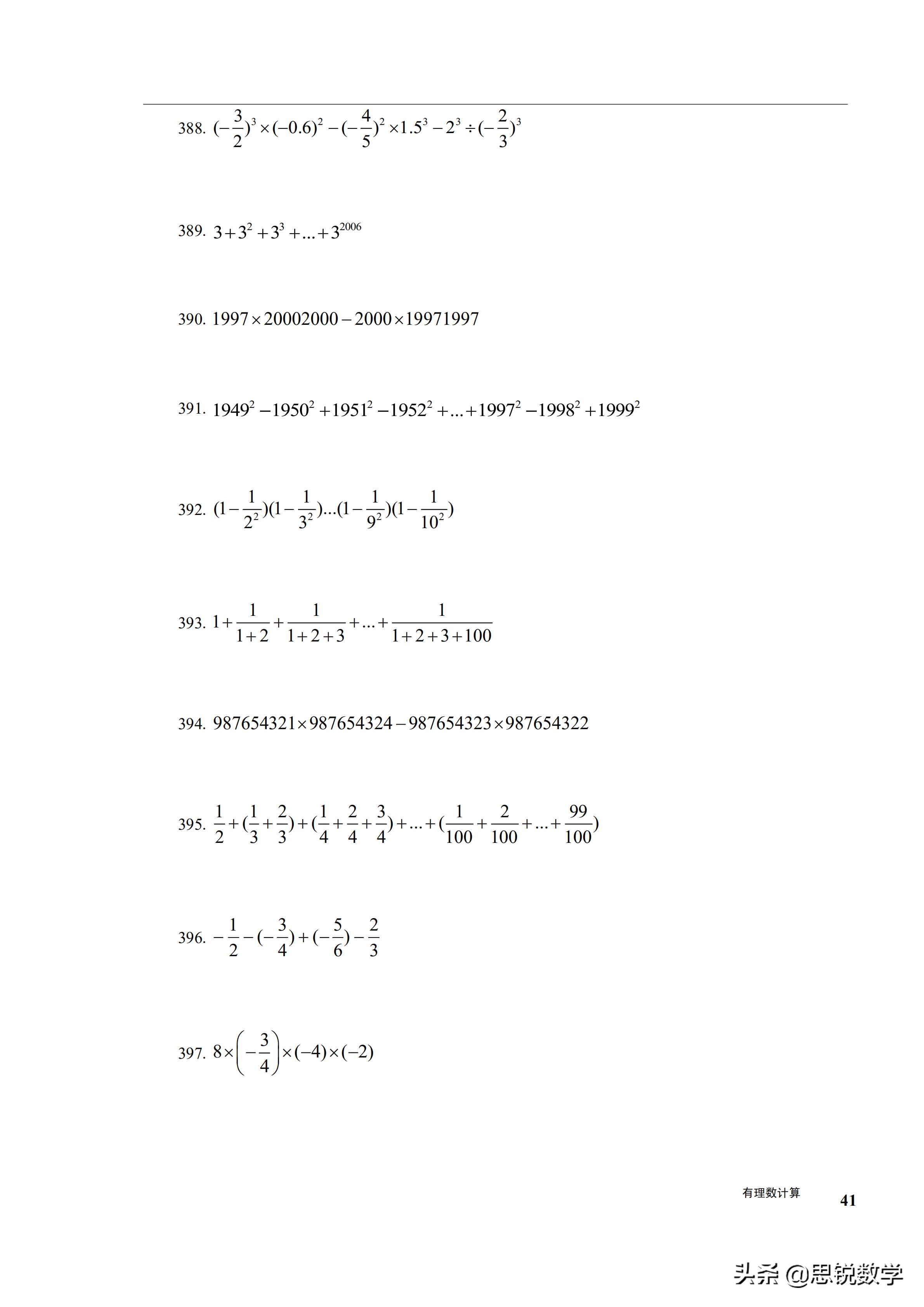
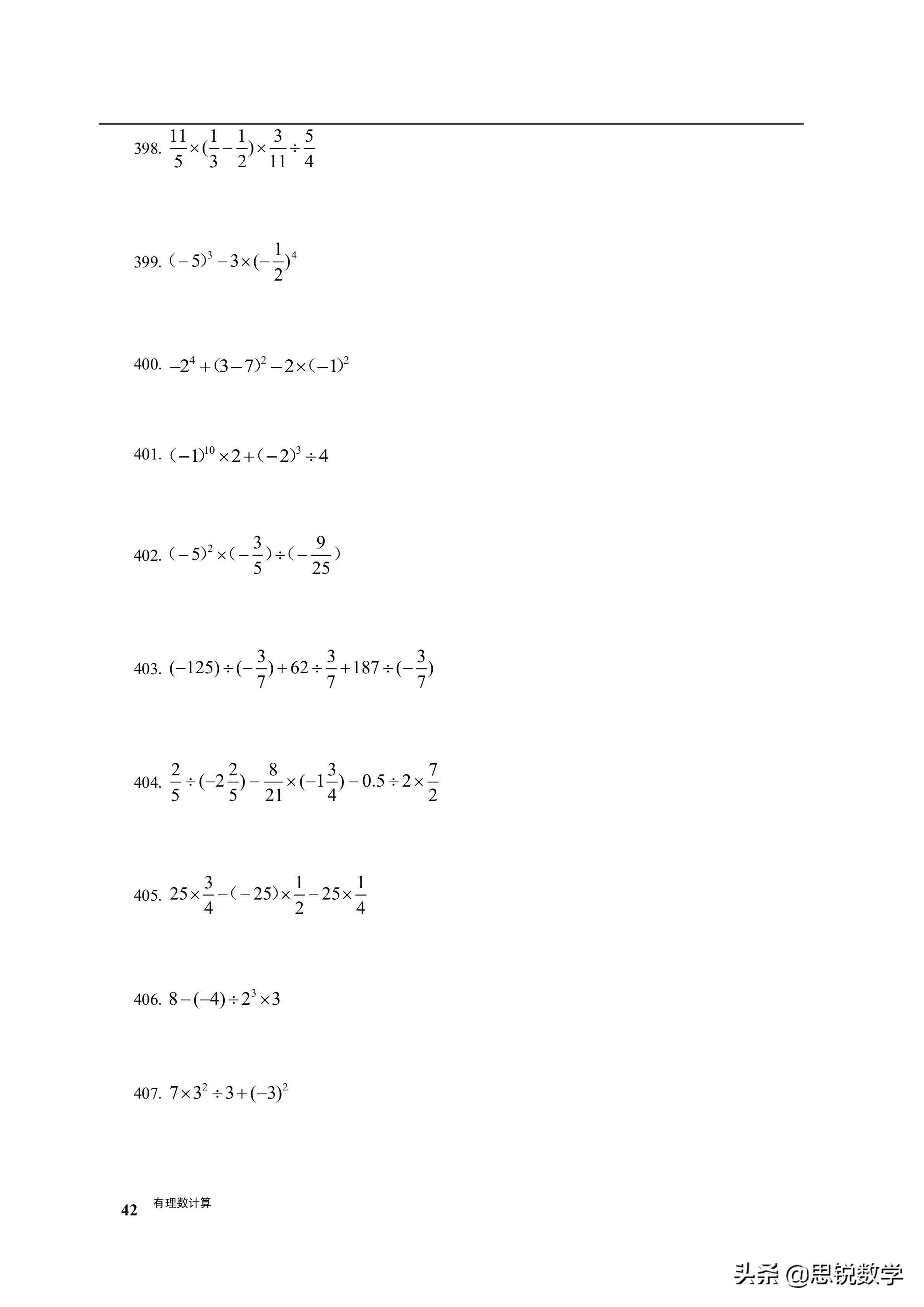
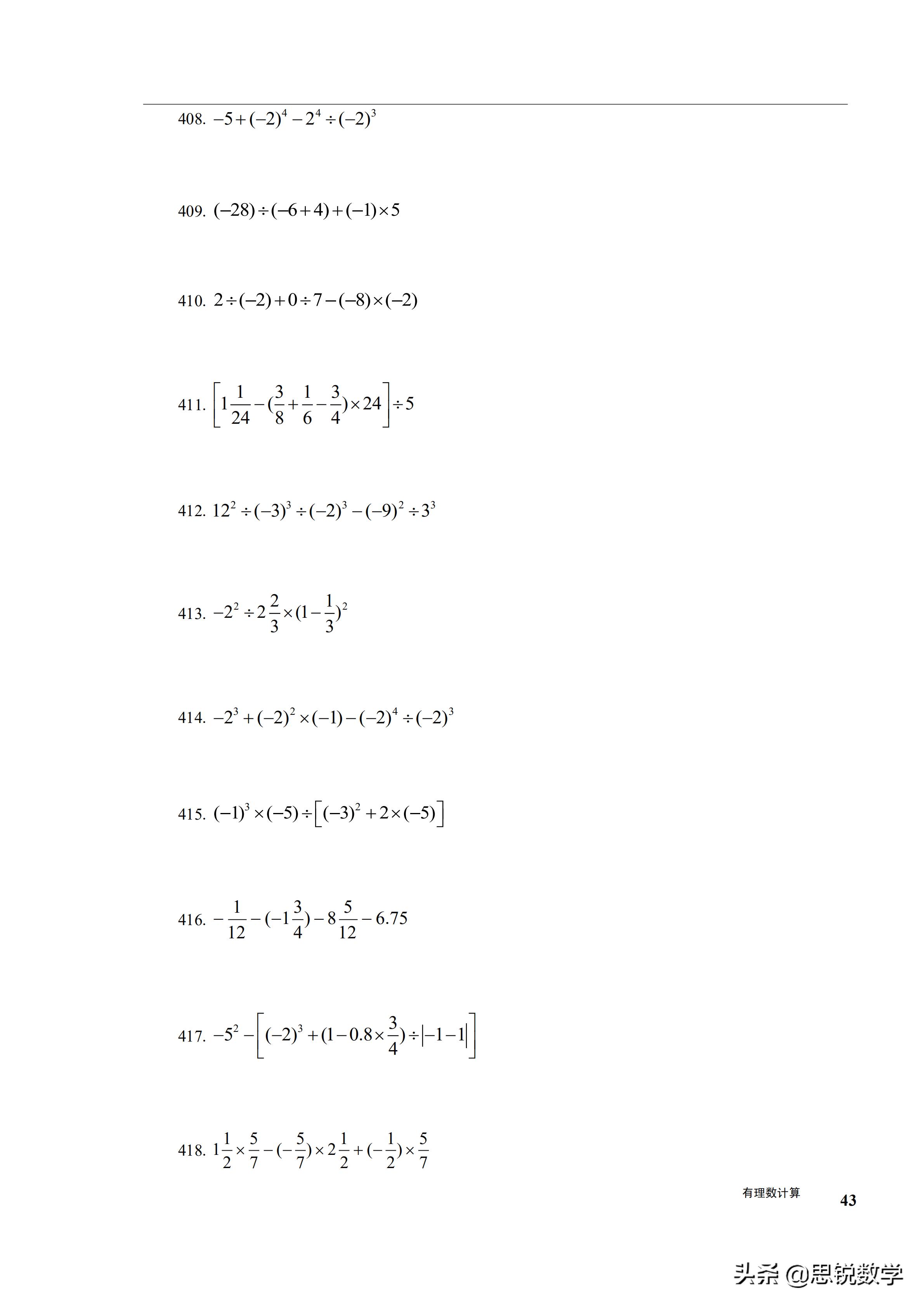
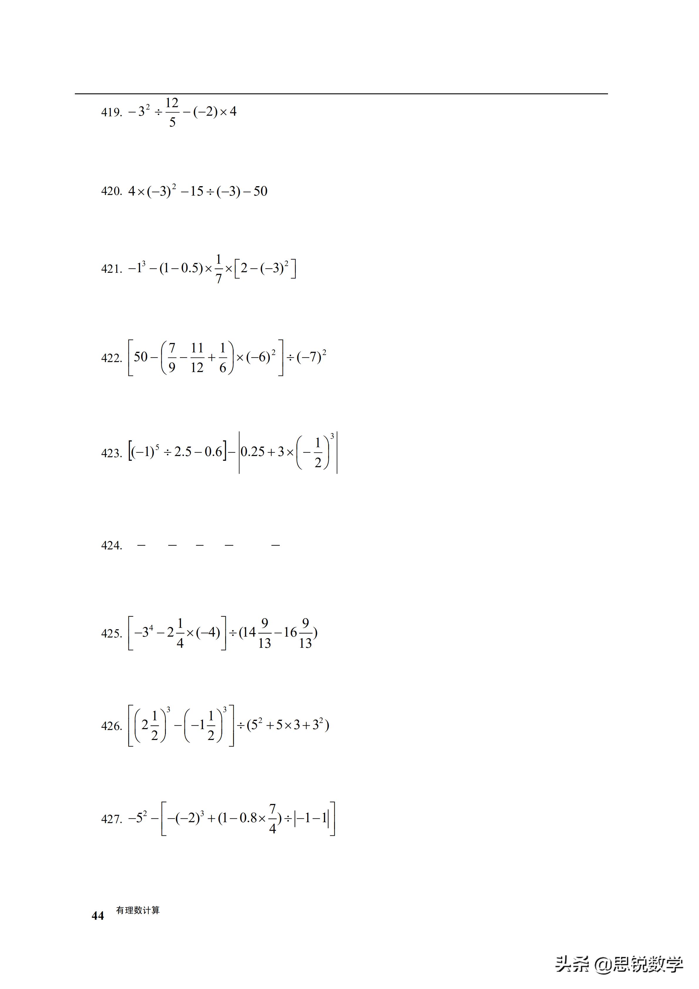
有理数混合运算练习500题:































































