重新定义「1千克」,更科学、更精确
时间是最伟大的奇迹。
11月16日,巴黎凡尔赛宫,召开了注定要载入史册的第26届国际计量大会,大会通过了 "修订国际单位制"决议,正式更新包括国际标准质量单位"千克"在内的4项基本单位定义。新国际单位体系将于2019年5月20日世界计量日起正式生效。(新华社电)

与之前的"大K"相比,新的「千克」衡量更为标准更为科学,虽然目前看来与日常生活关联不大,但是因计量标准变化而催化的技术进步相信能够在不久以后为人类服务。
从一般标准物到常量
在巴黎国际计量局总部,"国际千克原器" 又被称为"一千克标准物"(简称IPK)安静的躺在真空玻璃容器内,服役了近130年的"大K"正式宣布退休了。在这之前,"大K"和他的的分身们一直在兢兢业业地为科学事业服务,比如1965年由国际度量衡局派往我国的「K60」。

图:"国际千克原器"大K 法新社
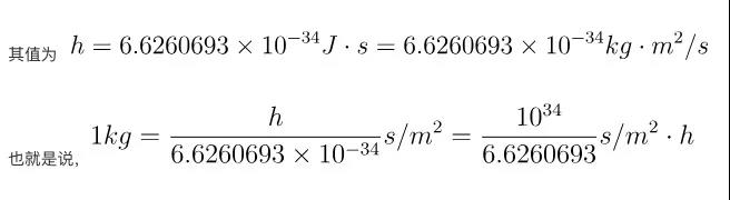
根据新的规则,「千克」的定义将会变为以普朗克常数(Planck Constant)相关的一个标准值。

模型化后数据将更为稳定准确,比如我们衡量1米的单位长度,不是简单的1m=100cm,而是采用"光在真空中于299792458分之一秒内行进的距离"作为标准。
换句话说,就是将原本的1千克的质量的容易老化的圆柱换做一个物理届的公式来保存一下,这样1千克这个单位就不会因环境的变化而发生变化了。
虽然是重新定义了,但是你原本200斤的体重还会是200斤。[微笑]
不求有功但求无过的"大K"
"大K"是在1889年经国际计量大会批准,作为「千克」单位标准物的砝码。砝码由较为惰性的Pt-10Ir铂铱合金(90%铂与10%铱)制成,直径与高度均为39.00毫米。"大K"有6个"孪生姐妹",每隔一段时间,国际计量局就会对这6个孪生基准物进行检测,以确定"大K"作为基准的变化。

尽管做到了最大程度的保护,实物基准还是可能会受到时间的侵蚀。在1989年的测量中,结果显示这6个"孪生姐妹"质量约增加了约50微克,由于保存完全条件相同,可以推断"大K"的重量也增加了。
尽管50微克仅仅相当于一片指纹或一个砂粒的质量,但对于科学研究而言。50微克的误差极有可能造成极为严重的后果,尤其是在生物、化工以及精密机械领域。由此,客观的误差推动着学术界寻找更为科学准确稳定的计量标准,新的「千克」也就由此而生了。
推动技术变革?还要等一等
目前国际单位制共有七个,分别是:
· 质量的单位千克
· 电流量的单位安培
· 时间的单位秒
· 发光强度的单位坎德拉
· 物质量的单位摩尔
· 热力学的单位开尔文
· 长度的单位米
1967的大会宣布正式将「秒」的定义由1960 年地球自转一周时间的 1/86,400修改为:铯 133 原子基态的两个超精细能级间跃迁对应辐射的 9,192,631,770 个周期的持续时间。这一修订为精准地理信息系统的产生创造了条件,客观上推动了GPS的诞生。

图GPS模型原理:通过接收机时钟得到时间差,从而知道四个信号从卫星到接收机的不准确距离(含同一个误差值,由接收机时钟误差造成),用这四个不准确距离和四个卫星的准确位置构建四个方程,解方程组就得到接收机位置。
新的标准已经正式宣布确立,将会带来怎样的技术变革还是未知。但是可以预见的是,质量单位将不再受时间地点制约(不再受课本制约),地球上的质量系统可以套用到其他星球,可以跨越时间长河,听起来是不是很梦幻?【表情】
此外,还有一个好消息:我们不必再定期去国际计量局送检砝码了。
大厦基石
青年学者李世松博士评价"如果将科学中的测量活动比作是一座高楼,而SI基本单位则是这座大楼的基石"。
技术进步推动着社会的变化,很难说是先有的技术还是先有的需求,往往两者都是相辅相成的。正是因为有这样那样的巧合,生活才会变得如此绚烂缤纷。