PI 函数
返回数字 3.14159265358979,即数学常量 pi,精确到小数点后 14 位。
语法:PI()
RADIANS 函数
将角度转换为弧度。
语法:RADIANS(angle)
参数:Angle 必需。需要转换成弧度的角度
=RADIANS(270),将角度 270 度转换为弧度(4.712389 或 3π/2 弧度)
DEGREES 函数
将弧度转换为度
语法:DEGREES(angle)
参数:Angle 必需。待转换的弧度角
SIN 函数
返回给定角度的正弦值
语法:SIN(number)
参数:Number 必需。需要求正弦的角度,以弧度表示
如果参数的单位是度,则可以乘以 PI()/180 或使用 RADIANS 函数将其转换为弧度
SINH 函数
返回某一数字的双曲正弦值
语法:SINH(number)
参数:Number 必需。任意实数
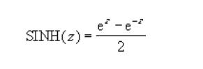
双曲正弦的计算公式如下:

COS 函数
返回给定角度的余弦值。
语法:COS(number)
参数:Number 必需。想要求余弦的角度,以弧度表示
如果角度是以度表示的,则可将其乘以 PI()/180 或使用 RADIANS 函数将其转换成弧度

COSH 函数
返回数字的双曲余弦值。
语法:COSH(number)
参数:Number 必需。想要求双曲余弦的任意实数

双曲余弦的公式为:

TAN 函数
返回给定角度的正切值。
语法:TAN(number)
参数:Number 必需。想要求正切的角度,以弧度表示
如果参数的单位是度,则可以乘以 PI()/180 或使用 RADIANS 函数将其转换为弧度
TANH 函数
返回某一数字的双曲正切。
语法:TANH(number)
参数:Number 必需。任意实数
双曲正切的计算公式如下:

ASIN 函数
返回参数的反正弦值。反正弦值为一个角度,该角度的正弦值即等于此函数的 number 参数。返回的角度值将以弧度表示,范围为 -pi/2 到 pi/2。
语法:ASIN(number)
参数:Number 必需。所需的角度正弦值,必须介于 -1 到 1 之间。
若要用度表示反正弦值,请将结果再乘以 180/PI( ) 或用 DEGREES 函数表示
ASINH 函数
返回参数的反双曲正弦值。反双曲正弦值的双曲正弦即等于此函数的 number 参数值,因此ASINH(SINH(number)) 等于 number 参数值
语法:ASINH(number)
参数:Number 必需。任意实数
ACOS 函数
返回数字的反余弦值。反余弦值是角度,它的余弦值为数字。返回的角度值以弧度表示,范围是 0 到pi。
语法:ACOS(number)
参数:Number 必需。所需的角度余弦值,必须介于 -1 到 1 之间。
如果要用度表示反余弦值,请将结果再乘以 180/PI() 或用 DEGREES 函数

ACOSH 函数
返回 number 参数的反双曲余弦值。反双曲余弦值的双曲余弦即为number,因此 ACOSH(COSH(number)) 等于 number
语法:ACOSH(number)
参数:Number 必需。大于等于 1 的任意实数
ATAN 函数
返回反正切值。反正切值为角度,其正切值即等于 number 参数值。返回的角度值将以弧度表示,范围为 -pi/2 到 pi/2。
语法:ATAN(number)
参数:Number 必需。所需的角度正切值
若要用度表示反正切值,请将结果再乘以 180/PI( ) 或使用 DEGREES 函数
ATAN2 函数
返回给定的 X 及 Y 坐标值的反正切值。反正切的角度值等于 X 轴与通过原点和给定坐标点(x_num, y_num) 的直线之间的夹角。结果以弧度表示并介于 -pi 到 pi 之间(不包括 -pi)。
语法:ATAN2(x_num, y_num)
参数:
- X_num 必需。点的 x 坐标。
- Y_num 必需。点的 y 坐标。
结果为正表示从 X 轴逆时针旋转的角度,结果为负表示从 X 轴顺时针旋转的角度。
ATAN2(a, b) 等于 ATAN(b/a),除非 ATAN2 值为零。
若要用度表示反正切值,请将结果再乘以 180/PI( ) 或使用 DEGREES 函数。

ATANH 函数
返回参数的反双曲正切值,参数必须介于 -1 到 1 之间(除去 -1 和 1)。反双曲正切值的双曲正切即为该函数的 number 参数值,因此 ATANH(TANH(number)) 等于 number。
语法:ATANH(number)
参数:Number 必需。-1 到 1 之间的任意实数。