
文| 青橘罐头
编辑 | 青橘罐头
●○前言○●
聚氨酯(PU)长期以来被认为是一类通用的聚合物,由于其高功能化学和机械性能,它们的应用领域之一是激光技术,聚氨酯基质因其多样性、可用性、几乎所有种类的染料均可轻松引入以及材料的均一性而脱颖而出,这对于获得高质量的产品尤为重要辐射狭窄的光谱宽度。
激光元件的耐用性和发电效率很大程度上取决于物理化学性质关于聚合物基质尤其是它们对辐射的耐受性,同时也详细研究了决定材料稳定性的聚氨酯中的光氧化和光化学过程。
●○实验的材料○●
PU化学成分对聚合物光稳定性的影响,比如,分子量和功能的低聚醚柔性嵌段,以及它们的类型二异氰酸盐组件被调查,显示出刚性嵌段含量的增加、低聚组分的*能官**度增长(每个基本链的OH基团的数量)和低聚酯二醇的使用导致PU对辐射具有更高的耐受性。

当在PU材料中使用一种或另一种类型的纳米颗粒作为染料激光器中固态元素的基质时,应考虑它们对染料光稳定性的影响。
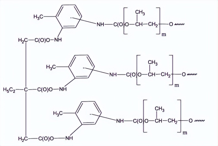
PU合成通过传统的两步法进行预聚物(大分子二异氰酸酯),其通过将OPG-1000和TDI在摩尔比率并且在70℃的温度下充分混合,直到达到NCO基团的理论值。
在第二阶段,用TMP掺杂预聚物交联剂在70℃的温度下以等量加入,混合10分钟并抽真空以除去气泡,反应混合物的硬化是在玻璃基板在60℃的温度下持续8小时。
通过引入预退火,合成了填充有wt%和7wt%A-300的PU样品纳米填料在65℃的温度下,加入到含有等摩尔量的预聚物和交联剂的初始反应混合物中纳米二氧化硅众所周知,颗粒由于其高表面能而聚集成更大的地层。

因此,为了防止聚集和聚集纳米粒子并允许彻底混合获得的粘性物质,二氯甲烷加入到反应混合物中,然后抽真空除去气泡和溶剂。
在硬化之前,我们需要对样品进行额外的处理声波降解法使用实验室超声波的分散器,让薄膜在两个玻璃基底之间在60℃的温度下硬化8小时硅酮高温型聚氨酯的防粘物质(工作温度高达+200°C)。
因为1-2米厚的防粘层不会影响所研究的聚氨酯薄膜的性能,所以要让所有薄膜的总厚度保持在1-2毫米范围内。
光化学实验用积分法进行辐射来自超高压汞弧灯DRK-120的紫外线和可见光范围,通过用来自该灯的光以1.5kJ/cm的照射剂量照射样品的区域来测试PU膜的光稳定性(作为空气中的自由膜)。

辐照剂量的选择取决于罗丹明的已知显著降解,在彻底研究过的聚氨酯中丙烯酸盐(PUA)矩阵在这些条件下。
所有薄膜的红外光谱都是在中红外区(400-4000厘米)的Tensor-37傅里叶变换光谱仪分辨率为4厘米,我们将使用多重扰动从薄膜表面记录红外光谱全内反射设备。
通过DMA方法在Q800装置上研究初始和辐射的PU样品的粘弹性弯曲变形模式,而机械的损耗因数(tanδ)和动态弹性模量(E’)是在强制模式下测量的正弦振荡在–80到100摄氏度的温度范围内,频率为10赫兹加热速率3℃/分钟。尺寸为(40×10×2)毫米的样品被用于这些实验。
●○红外光谱○●
为了研究掺杂不同量二氧化硅的聚氨酯样品中的光氧化过程,分析了归属于主要基团振动的各种红外光谱碎片的变化,而礼物光谱区域在3300厘米处对应于相关联的NH-基团的吸收。

在3290cm处的吸收峰位置有轻微变化在辐射纯的和5wt%掺杂A-300的聚氨酯时,这光谱带与如此制备的PU7相比,对于具有7wt%纳米填料的辐射rPU7样品保持相同。
当纯聚氨酯(PU0)被辐照时,观察到该谱带的积分强度和半宽度有小的降低,并且其最大值移动到3296cm−1。因为该区域的吸收是相互作用的NH-基团的伸缩振动的原因,这种光谱变化表明氢键网络。
这些差异在PU5样品中较小,在PU7聚合物的情况下没有观察到,因此对这些光谱片段的分析表明,纳米材料可以在辐射下稳定所研究的PU基质。
由OPG和TDI组分合成的聚氨酯结构被确定为由柔性和刚性链段(嵌段)组成,刚性和柔性部件的热力学不相容性导致相分离和畴排列的形成。

同时,谱带的一个峰位置,对应于的伸缩振动酰胺I(νC=O)尿烷基团依赖于它的周围环境,氨基甲酸酯基团位于刚性区域。
其中主要实现氨基甲酸酯-氨基甲酸酯氢键,要么它被聚酯链、带酰胺I(νC=O)变得复杂并分裂成两个组分,归因于不同类型的关联,决定了给定光谱片段的不对称轮廓。
未掺杂的PU0薄膜也用羰基来表征吸收带酰胺I(νC=O)由两个光谱成分,该谱带的图形分离(高斯)如下图所示,最大值出现在1705和1730厘米处。
与PU5样品相比,掺杂的PU7聚合物具有较低的上述光谱带的强度比,在第一种情况下,这可能是由气溶胶网络的形成引起的,这阻碍了填料和聚合物链之间的相互作用。

纯PU膜和掺杂PU膜辐照后,Co拉伸振动(在I中)保持其双组分结构,该光谱带的图形分离(高斯)分量最大值在1711和1730厘米处,同时也列出了这些光谱峰的积分强度值及其在辐照PU样品中的比率。
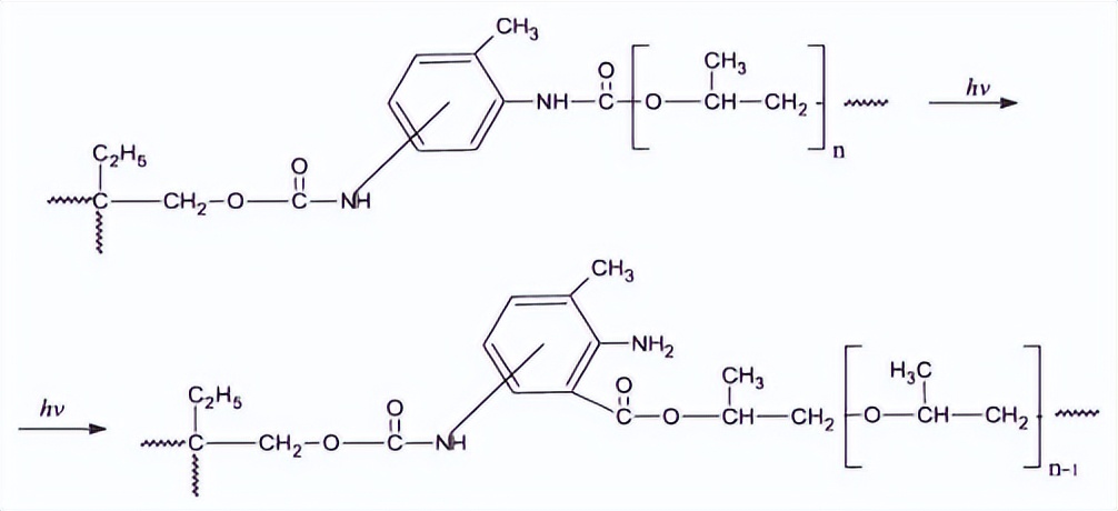
我们应该注意的是,用于样品照射的超高压汞灯的特征在于具有宽的光谱范围,由于如此大范围的频率作用于样品,不能排除弗里斯变换(重新排列)的可能性,这通常发生在λ<300nm处:
这种重排导致氨基和酯基的出现,这可能对辐射膜的红外光谱区的变化几乎没有影响,所以酰胺I带相对强度的增加表明酯基的形成。
在PU照射期间,1730和1711cm的积分强度比初始PU膜相比有所增长,观察到纯PU的该值增加最大(3.2倍),而对于填充有二氧化硅的PU,该比率的变化程度要小得多(1.5倍)。

可以认为气相二氧化硅颗粒耗散了辐射能量,这降低了掺杂样品中氧化破坏过程的效率,这是由下降所证明的透明度,与纯聚合物相比,在短于440nm的波长范围内对填充有二氧化硅的聚氨酯样品进行观察。
考虑到较短的波长区域中,折射率的差异变得更大,这种光散射不影响有机染料的光谱特性,这些有机染料被引入聚氨酯基质中并在可见光和红外范围内工作。
C–O–C不对称伸缩振动的红外光谱带非常窄且很强,峰值位置在1076cm−1对于初始的(未照射的)纯的和掺杂的聚合物膜,同时在掺杂薄膜中,增加了填料含量由于Si–O–Si基团的反对称拉伸振动,导致其积分强度略有增加,出现在相同的光谱范围。
辐照过的纯rPU0样品的红外光谱在1065cm处含有强烈的不对称谱带,这种变化与额外吸收带的重叠有关,这似乎是由于过氧化物和过氧化氢物辐照期间的(COOH)基团。

与最初的PU5膜相比,这些光谱现象在辐射的rPU5膜的红外光谱中不太明显,并且PU7和rPU7样品在该区域具有相同的光谱轮廓。
因此,聚氨酯样品的红外光谱分析表明,这种聚合物体系在辐射下用7重量%的填料稳定,在这种条件下形成的aerosil结构网络耗散了辐射能量,并大大减少了聚合物中的光氧化过程,对于PU7聚氨酯膜,在高于532nm的波长范围内没有观察到光散射。
应该指出的是,气相二氧化硅对光谱特性的积极影响呫吨染料在聚氨酯丙烯酸酯基质中的浓度为8重量%时,在所研究的填充二氧化硅的基质的情况下,预计对染料有类似的影响。

●○结语○●
分析了无机纳米填料对聚氨酯光氧化过程的影响光谱特性对于辐照下的二氧化硅填充的聚氨酯薄膜,已经表明aerosil的加入大大减缓了这些过程。
对于7重量%的较大浓度的填料,这种效果最明显,掺杂聚合物中光氧化和光化学过程减慢的一个可能原因是纳米填料耗散了辐射能量。
根据动态力学数据,已经发现对填充有二氧化硅的PU聚合物进行辐射会导致材料的更大的结构不均匀性和其弹性模量的降低,对掺杂有7重量%aerosil的PU基质的辐射,由于无机纳米粒子对辐射能量的耗散,部分破坏了纳米填料的空间网络。
所得结果证明了二氧化硅纳米填料对聚氨酯耐超高压汞灯辐照的稳定作用。

所研究的聚合物具有许多优点,例如显著的介电常数,这增加了染料盐的离解能力,并因此防止了染料聚集,聚氨酯基质中极性基团的存在增加了抗衡离子通过亲核或亲电溶化。
聚氨酯的特征在于高弹性,这使得有可能获得稳定的高功率激光辐射,几乎所有种类的染料都可以容易地引入到所研究的聚氨酯基质中,因此这种材料在发展基于染料的无源激光开关和激光有源元件方面都很有前途。