“十三五”规划提出:今后五年,单位GDP能耗、二氧化碳排放量、用水量分别下降15%、18%、23%。以此为背景,在工业生产中平均占据工厂总耗电量9%,有些工厂甚至高达45%的压缩空气系统将不可避免地会成为节能工作的对象。此外,我国大部分企业对气动系统能耗问题认识不足,节能意识淡薄,也在一定上加剧了能源的浪费。
影响压缩空气系统能耗的因素非常多,其中就有设备因素、安装因素、使用因素等等,这里简单说说一些比较经常接触到的如:设备、温度、压力、后处理等因素对空压机能耗的影响。

(捷豹客户安装实例)
一般的压缩空气系统包含空气压缩机、管道、储气罐、精密过滤器、冷干机、吸干机等。空气压缩机提供具有一定压力的压缩空气通过管道输送至储气罐进行储存、缓冲、冷却,析出一部分水再经过冷冻式干燥机除去大部分的水分,经过冷干机后一般压力*点露**可达2-10℃、颗粒0.01μm、油份0.05PPM;接着再经过精密过滤器过滤掉水、油、固体杂质等以达到用气标准,部分行业对压缩空气品质要求更高的需再增加吸附式干燥机及多级精密过滤器,使压力*点露**达-20~40℃、颗粒0.01μm、油份0.003PPM甚至更低。
针对压缩空气系统的节能措施大致分为以下5类:
1、高效的空气压缩机
2、合理的使用压力
3、合理的安装
4、合理的空气质量
5、合理的选型

高效的空气压缩机

压缩机是整个压缩空气系统的心脏,对整个压缩空气系统的能耗有着非常大的影响,从早期的活塞式压缩机,到螺杆式,从皮带传动式到直联传动再到同轴传动式;从齿轮传动二级压缩,再到永磁同步双主机双电机的二级压缩。每一次的产品革新都带来了巨大的效率提升。
据“工信部能效之星推荐目录“显示,目前市面上能效较好的为永磁同步双主机双电机的二级压缩空压机,等熵效率可达86%以上。相比直联传动的工频机,在不同的使用工况下可节省30-60%不等的电费。
满足设备压力即可
众所周知压力越高所需要消耗的能量越大。
运行压力和功率的关系:7bar减少1bar到6bar,约减少7%的轴功率(经验公式),如37kW的轴功率,1小时能节省:2.59度电,泄露量:7bar减少1bar到6bar,泄露量为7/8,减少12.5%。如果系统泄露量为20%,则节省20%*12.5%=2.5%。
不少用户使用常规排气压力为8公斤的机型,用着5公斤、3公斤甚至更低的压力,殊不知虽然使用压力低,但是却承担着较高压力所需的能耗。所以选择一款合适的压力的空压机是重中之重。
设备需求压力:不少用户对用气设备了解不够透彻,且鲜于尝试,随着技术的发展不少设备所需要的压力比以往大大降低。如若可以针对合理的压力进行改进的话,也可带来不小的节能空间。

(捷豹客户安装实例)
合理的安装
空压机吸气口靠近窗、门位置,或单独的吸风口,做专用的热风排放口,降低空压机房的温度,降低吸气温度。吸气温度越高代表着吸入的空气越稀薄,能耗越高, 机组比功率吸气温度系数:

式中:K14=机组比功率吸气温度系数、 Tx=空压机组实测进气温度,单位开尔文(K)
根据上述公式可得知,吸气温度对空压机能耗的影响不容小觑。 将储气罐放置在风扇底下,让储气罐成为除水器,除去部分液态水、降低压缩空气的温度。 空压站靠近用气端,尽可能的缩短管路,使用压损合理的管道。
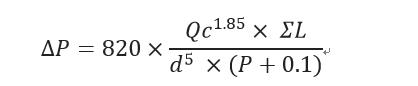
管道压力损失公式:

式中:-管道阻力损失,单位兆帕(MPa)
Q-管道内空气流量(大气压力状态下),单位为立方米每分钟(m³/min)
P-管道内表压力,单位为(MPa)
d-管道内径,单位为毫米(mm)
ΣL-直管道总长度与管件的等效长度之和,单位为米(m)
查表得出合理的管长度/管径大小,可避免不合理的压力损失。
合理的选型
1、单机功率对能耗的影响
可通过集中化减少台数,从而达到节能目的单台300kW对单台150kW 能效相差约7%。 单台150kW对单台75kW 能效相差约12%。由此可见单机功率大的相对单机功率小的能效表现会更好。故可通过集中化减少台数,从而达到节能目的。
另:水冷机对风冷机差5 % ~8 %
2、空压机类型对能耗的影响
不同用气设备、在不同的情况会,对压缩空气的需求量可能是变化的,在这用气变化的工况下,选用工频控制的空压机(排气量调节范围为要么0要么100%),存在当用气量变化时的供气过量,供气过量会导致空压机空载运行,空载运行时需要消耗整机功率的45%左右的用电量,这部分的电量并不对外做功,造成一定程度的浪费,且用气量波动越大浪费就越大。
针对用气设备、用气工况选择合理的机型非常关键,选用可变转速的空压机(如永磁同步变频空压机、永磁同步变频双电机二级压缩机),可根据用气设备的用气量按需调节空压机的排气量,按需消耗必要的电能,避免了空载时的巨大浪费,用气量波动越大节能量越大。

(捷豹客户安装实例)
空压机余热的利用
空压机长期连续的运行过程中,把电能转换为机械能,机械能转换为压缩空气,在压缩空气过程中,空气得到压缩,使之温度骤升,这些热量由空压机润滑油的加入混合成油/气混合物排出压缩机。这部分高温油/气混合物的热量相当于空压机输入功率的3/4,它的温度通常80℃-100℃,这些热能都由于机器运行温度的要求,都被无端地废弃排往大气中浪费掉。
采用高效的余热回收设备,对空压机所产生的高温润滑油用生活水进行热量交换,从而获得这部分热能,不仅可以提高节省空压机冷却系统的能耗,还可使企业获得生产和生活所需的热水无需再消耗多余的能量加热生产和生活用水,从而使用户一举两得。
影响空压系统能耗的因素较多,如果能够正确对待、并加以改善,会有超乎想象的节能收益。
End
来源:捷豹永磁螺杆机,侵权烦请联系删文。