Baeyer-Villiger 反应
反应机理
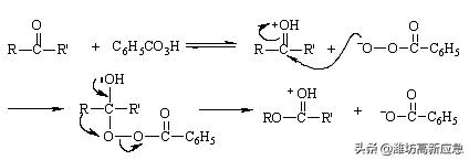
过酸先与羰基进行亲核加成,然后酮羰基上的一个烃基带着一对电子迁移到-O-O-基团中与羰基碳原子直接相连的氧原子上,同时发生O-O键异裂。因此,这是一个重排反应

具有光学活性的3---苯基丁酮和过酸反应,重排产物手性碳原子的枸型保持不变,说明反应属于 分子内重排 :

不对称的酮氧化时,在重排步骤中,两个基团均可迁移,但是还是有一定的选择性,按迁移能力其顺序为:

醛氧化的机理与此相似,但迁移的是 氢负离子 ,得到羧酸。

反应实例

酮类化合物用过酸如过氧乙酸、过氧苯甲酸、间氯过氧苯甲酸或三氟过氧乙酸等氧化,可在羰基旁边插入一个氧原子生成相应的酯,其中 三氟过氧乙酸 是最好的氧化剂。这类氧化剂的特点是反应速率快,反应温度一般在10~40℃之间,产率高。

Beckmann 重排反应
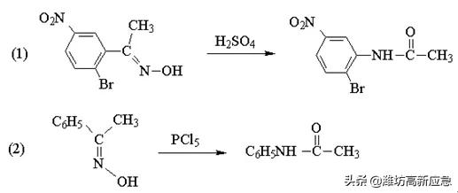
肟在酸如硫酸、多聚磷酸以及能产生强酸的五氯化磷、三氯化磷、苯磺酰氯、亚硫酰氯等作用下发生重排,生成相应的取代酰胺,如环己酮肟在硫酸作用下重排生成己内酰胺:

反应机理
在酸作用下,肟首先发生质子化,然后脱去一分子水,同时与 羟基处于反位的基团 迁移到缺电子的氮原子上,所形成的碳正离子与水反应得到酰胺。

迁移基团如果是手性碳原子,则在迁移前后其构型不变,例如:

反应实例

Cannizzaro 反应
凡 α 位碳原子上 无活泼氢 的醛类和浓NaOH或KOH水或醇溶液作用时,不发生醇醛缩合或树脂化作用而起歧化反应生成与醛相当的酸(成盐)及醇的混合物。此反应的特征是醛自身同时发生氧化及还原作用,一分子被氧化成酸的盐,另一分子被还原成醇:

脂肪醛中,只有甲醛和与羰基相连的是一个叔碳原子的醛类,才会发生此反应,其他醛类与强碱液,作用发生醇醛缩合或进一步变成树脂状物质。

具有α-活泼氢原子的醛和甲醛首先发生羟醛缩合反应,得到无α-活泼氢原子的β-羟基醛,然后再与甲醛进行交叉Cannizzaro反应,如乙醛和甲醛反应得到季戊四醇:

反应机理
醛首先和氢氧根负离子进行亲核加成得到负离子,然后碳上的氢带着一对电子以氢负离子的形式转移到另一分子的羰基不能碳原子上。

反应实例

Claisen酯缩合反应
含有α-氢的酯在醇钠等碱性缩合剂作用下发生缩合作用,失去一分子醇得到β-酮酸酯。如2分子乙酸乙酯在金属钠和少量乙醇作用下发生缩合得到乙酰乙酸乙酯。

二元羧酸酯的分子内酯缩合见Dieckmann缩合反应。
反应机理
乙酸乙酯的α-氢酸性很弱(pKa-24.5),而乙醇钠又是一个相对较弱的碱(乙醇的pKa~15.9),因此,乙酸乙酯与乙醇钠作用所形成的负离子在平衡体系是很少的。但由于最后产物乙酰乙酸乙酯是一个比较强的酸,能与乙醇钠作用形成稳定的负离子,从而使平衡朝产物方向移动。所以,尽管反应体系中的乙酸乙酯负离子浓度很低,但一形成后,就不断地反应,结果反应还是可以顺利完成。

常用的碱性缩合剂除乙醇钠外,还有叔丁醇钾、叔丁醇钠、氢化钾、氢化钠、三苯甲基钠、二异丙氨基锂(LDA)和Grignard试剂等。
反应实例
如果酯的α-碳上只有一个氢原子,由于酸性太弱,用乙醇钠难于形成负离子,需要用较强的碱才能把酯变为负离子。如异丁酸乙酯在三苯甲基钠作用下,可以进行缩合,而在乙醇钠作用下则不能发生反应:

两种不同的酯也能发生酯缩合,理论上可得到四种不同的产物,称为混合酯缩合,在制备上没有太大意义。如果其中一个酯分子中既无α-氢原子,而且烷氧羰基又比较活泼时,则仅生成一种缩合产物。如苯甲酸酯、甲酸酯、草酸酯、碳酸酯等。与其它含α-氢原子的酯反应时,都只生成一种缩合产物。

实际上这个反应不限于酯类自身的缩合,酯与含活泼亚甲基的化合物都可以发生这样的缩合反应,这个反应可以用下列通式表示:

Claisen—Schmidt 反应
一个无α-氢原子的醛与一个带有α-氢原子的脂肪族醛或酮在稀氢氧化钠水溶液或醇溶液存在下发生缩合反应,并失水得到 α,β-不饱和醛或酮:

反应机理

反应实例

Claisen 重排
烯丙基芳基醚 在高温(200°C)下可以重排,生成烯丙基酚。

当烯丙基芳基醚的两个邻位未被取代基占满时,重排主要得到邻位产物,两个邻位均被取代基占据时,重排得到对位产物。对位、邻位均被占满时不发生此类重排反应。

交叉反应实验证明:Claisen重排是 分子内的重排 。采用 g-碳 14C标记的烯丙基醚进行重排,重排后 g-碳原子与苯环相连,碳碳双键发生位移。两个邻位都被取代的芳基烯丙基酚,重排后则仍是a-碳原子与苯环相连。
反应机理
Claisen 重排是个协同反应,中间经过一个 环状过渡态 ,所以芳环上取代基的电子效应对重排无影响。

从烯丙基芳基醚重排为邻烯丙基酚经过一次[3,3]s迁移和一次由酮式到烯醇式的互变异构;两个邻位都被取代基占据的烯丙基芳基酚重排时先经过一次[3,3]s 迁移到邻位( Claisen 重排 ),由于邻位已被取代基占据,无法发生互变异构,接着又发生一次[3,3]s 迁移( Cope重排 )到对位,然后经互变异构得到对位烯丙基酚。

取代的烯丙基芳基醚重排时,无论原来的烯丙基双键是Z-构型还是E-构型,重排后的新双键的构型都是 E-型(反式) ,这是因为重排反应所经过的六员环状过渡态具有 稳定椅式构象 的缘故。

反应实例

Claisen 重排具有普遍性,在醚类化合物中,如果存在烯丙氧基与碳碳相连的结构,就有可能发生Claisen 重排。
Favorskii 重排
a-卤代酮在氢氧化钠水溶液中加热重排生成含相同碳原子数的羧酸;如为环状a-卤代酮,则导致环缩小。

如用醇钠的醇溶液,则得羧酸酯:

此法可用于合成张力较大的四元环。
反应机理

反应实例

Fries 重排
酚酯在Lewis酸存在下加热,可发生酰基重排反应,生成邻羟基和对羟基芳酮的混合物。重排可以在硝基苯、硝基甲烷等溶剂中进行,也可以不用溶剂直接加热进行。

邻、对位产物的比例取决于酚酯的结构、反应条件和催化剂等。例如,用 多聚磷酸 催化时主要生成 对位 重排产物,而用 四氯化钛 催化时则主要生成 邻位 重排产物。反应温度对邻、对位产物比例的影响比较大,一般来讲,较 低温 度(如室温)下重排有利于形成 对位 异构产物(动力学控制),较 高温 度下重排有利于形成 邻位 异构产物(热力学控制)。

反应机理

反应实例

Hofmann重排(降解)
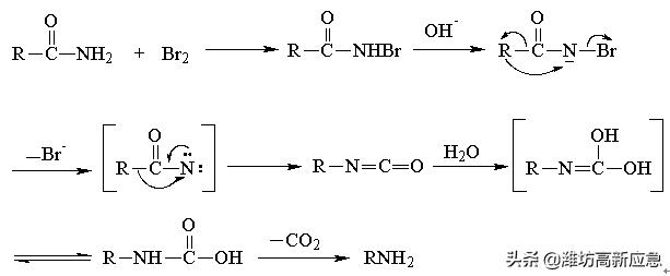
酰胺用溴(或氯)在碱性条件下处理转变为少一个碳原子的伯胺:

反应机理

反应实例

Knoevenagel反应
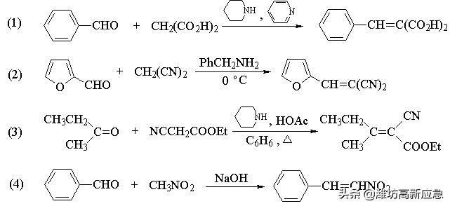
含 活泼亚甲基 的化合物与醛或酮在弱碱性催化剂(氨、伯胺、仲胺、吡啶等有机碱)存在下缩合得到a,b-不饱和化合物。

反应机理

反应实例

来源:安全弦