
第七章
一、单一期权

二、期权价值评估
1. 期权价值=内在价值+时间溢价
看涨期权内在价值=Max(标的资产的现行市价S-执行价格X,0)
看跌期权内在价值=Max(执行价格X-标的资产的现行市价S,0)
2. 复制原理
1) 确定可能的到期日股票价格
2) 根据执行价格计算确定到期日期权价值
3)计算套期保值比率

4)计算投资组合成本(期权价值)

3.风险中性原理
1) 确定可能的到期日股票价格
2) 根据执行价格计算确定到期日期权价值
3) 计算上行概率和下行概率
方法一:期望报酬率=(上行概率×股价上升百分比)+(下行概率×股价下降百分比)=无风险利率
方法二:

4) 计算期权价值
期权价值=(上行概率×上行时的到期日价值+下行概率×下行时的到期日价值)/(1+r)
4.二叉树期权定价模型
1) 单期二叉树模型:


2)

5.布莱克—斯科尔斯期权定价模型

第八章 企业价值评估
一、现金流量折现模型
1. 基本模型:

2. 股利现金流量模型:

3. 股权现金流量模型:

4. 实体现金流量模型:

股权价值=实体价值-净债务价值

1. 现金流量折现模型参数的估计——资本支出与净投资
资本支出=净经营长期资产增加+折旧摊销。
净经营资产增加=经营营运资本增加+净经营长期资产增加
=经营营运资本增加+资本支出-折旧摊销
6.实体现金流量=税后经营利润+折旧摊销—经营营运资本增加—净经营长期资产增加—折旧摊销=税后经营利润—(经营营运资本增加+净经营长期资产增加)=税后经营利润—净经营资产增加
7.股权现金流量=实体现金流量—债务现金流量
=(税后经营利润—净经营资产增加)—(税后利息支出—净负债增加)
=税后经营利润—净经营资产增加—税后利息支出+净负债增加
=税后利润—(净经营资产增加—净负债增加)=税后利润—股东权益增加
8.两阶段模型:股权价值=预测期股权现金流量现值+后续期价值的现值
实体价值=

二、相对价值评估方法
1. 市盈率模型:本期


2.市净率模型:本期市净率=

3.

4.修正比率:
修正平均市盈率(市净率、市销率)=可比企业平均市盈率(市净率、市销率)÷[可比企业平均预期增长率(股东权益净利率、营业净利率)×100]
目标企业每股价值=修正平均市盈率(市净率、市销率)×目标企业预期增长率(股东权益净利率、销售净利率)×100×目标企业每股收益(每股净资产、每股营业收入)
第九章 资本结构
一、资本结构的理论
1. 无税MM理论:有负债企业价值=无负债企业价值
2. 有税MM理论:有负债企业价值=无负债企业价值+PV(利息抵税)
3.

4. 代理理论:VL=VU+PV(利息抵税)- PV(财务困境成本)- PV(债务的代理成本)+ PV(债务的代理收益)
二、资本结构决策
1. 每股收益无差别点法:EPS=

2. 企业价值比较法:
股票的市场价值


三、杠杆系数
1.经营杠杆系数:
=

2.财务杠杆系数:

=

3.联合杠杆系数

第十章 长期筹资
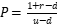
除权后股票的理论除权基准价格为:


第十一章 股利分配、股票分割与股票回购
同时发放现金股利、股票股利和资本公积转增股本后的除权参考价:

第十二章
一、营运资本筹资策略
易变现率=

二、现金持有量
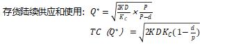
1.存货模型

2.

三、应收账款管理
应收账款周转次数=销售收入/平均应收账款

应收账款应计利息=日销售额×平均收现期×变动成本率×资本成本
四、存货管理
1.

2.

3.

五、短期债务管理
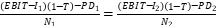
1.放弃现金折扣的机会成本=

上述公式为按单利计算。
如按复利计算,则放弃现金折扣的机会成本=
【1+折扣百分比/(1-折扣百分比)】360/(信用期-折扣期)-1
2.

第十三章 产品成本计算
产品成本的归集和分配

第十四章 标准成本法
一、变动成本差异分析

二、固定制造费用的差异分析
1. 二因素分析法
固定制造费用耗费差异=固定制造费用实际数﹣固定制造费用预算数
固定制造费用能量差异=固定制造费用预算数﹣固定制造费用标准成本=(生产能量﹣实际产量标准工时)×固定制造费用标准分配率
固定制造费用预算数=固定制造费用标准分配率×生产能量
2. 三因素分析法
耗费差异=固定制造费用实际数﹣固定制造费用预算数
闲置能量差异=(生产能量﹣实际工时)×固定制造费用标准分配率
效率差异=(实际工时﹣实际产量标准工时)×固定制造费用标准分配率
第十六章
一、基本模型
1. 基本的损益方程式
利润=单价×销量-单位变动成本×销量-固定成本=(单价-单位变动成本)×销量-固定成本
2. 损益方程式的扩展形式
税前利润=单价×销量-(单位变动产品成本+单位变动销售和管理费)×销量-(固定产品成本+固定销售和管理费用)
3. 计算税后利润的损益方程式
税后利润=(单价×销量-单位变动成本×销量-固定成本)×(1-所得税税率)
二、边际贡献方程式
单位边际贡献=单价-单位变动成本
边际贡献=(单价-单位变动成本) ×销量=收入-变动成本
边际贡献率=边际贡献/销售收入×100%=单位边际贡献/单价×100%变动成本率=变动成本/销售收入×100%=单位变动成本/单价×100%边际贡献率+变动成本率=1
利润=销量×单位边际贡献-固定成本=销售收入×边际贡献率-固定成本
三、保本分析
保本量=固定成本/(单价-单位变动成本)
保本额=固定成本/边际贡献率
盈亏临界点作业率=盈亏临界点销售量/正常销售量×100%
安全边际(额)=正常销售额-盈亏临界点销售额
安全边际(量)=正常销售量-盈亏临界点销售量
安全边际率=安全边际额/正常销售额(或实际订货额)×100%
息税前利润=安全边际量×单位边际贡献=安全边际额×边际贡献率
销售息税前利润率=安全边际率×边际贡献率
第十八章 全面预算
1. 销售预算
销售收入=销售单价×销售数量
本期销售现金流量=本期销售收入×本期收现比例+以前某期收入×以前某期收入在本期收现比例
2. 生产预算
预计生产量=(预计销售量+预计期末产成品存货)﹣预计期初产成品存货
3. 生产需用量=预计生产量×单位产品材料用量预计材料采购量=生产需用量+预计期末存量-预计期初存量
4. 直接人工预算
某种产品直接人工工时总数=单位产品定额工时×该产品预计生产量
预计直接人工总成本=单位工时工资率×该种产品直接人工工时总数
第十九章
投资中心的考核指标:
部门投资报酬率=部门税前经营利润/部门平均净经营资产
剩余收益=部门税前经营利润-部门平均净经营资产×要求的税前投资报酬率
第二十章
经济增加值=税后净营业利润-资本成本=税后净营业利润-调整后的资本×平均资本成本率
税后净营业利润=净利润+(利息支出+研究开发费用调整项-非经常性损益调整项×50%)(1-25%)
调整后资本=平均所有者权益+平均负债合计-平均无息流动负债-平均在建工程