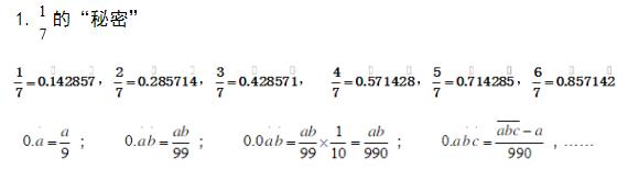
小学数学小数化分数的方法 (循环小数化分数最简单的方法)

小学数学循环小数化分数方法,循环小数化分数最简单的方法

小学数学循环小数化分数方法,循环小数化分数最简单的方法

小学数学循环小数化分数方法,循环小数化分数最简单的方法

小学数学循环小数化分数方法,循环小数化分数最简单的方法

小学数学循环小数化分数方法,循环小数化分数最简单的方法

小学数学循环小数化分数方法,循环小数化分数最简单的方法

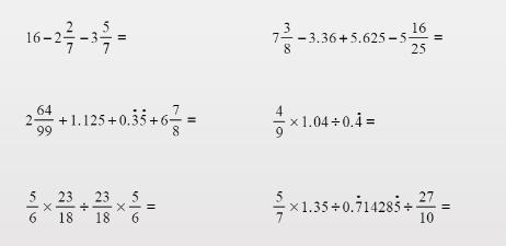
练一练

小学数学循环小数化分数方法,循环小数化分数最简单的方法

小学数学循环小数化分数方法,循环小数化分数最简单的方法