第一章 勾股定理
一、勾股定理
1、直角三角形两直角边a,b的平方和等于斜边c的平方,即a2+b2=c2。
2、勾股定理的验证:测量、数格子、拼图法、面积法,如青朱出入图、五巧板、玄图、总统证法„„(通过面积的不同表示方法得到验证,也叫等面积法或等积法)。
3、勾股定理的适用范围:仅限于直角三角形。
二、勾股定理的逆定理
如果三角形的三边长a,b,c有关系a2+b2=c2,那么这个三角形是直角三角形。
三、勾股数
满足a2+b2=c2的三个正整数,称为勾股数。
常见的勾股数有:(6,8,10)(3,4,5)(5,12,,13)(9,12,15)(7,24,25)(9,40,41)„„
四、勾股数的规律
1、短直角边为奇数,另一条直角边与斜边是两个连续的自然数,两边之和是短直角边的平方。即当a为奇数且a<b时,如果b+c=a2,那么a,b,c就是一组勾股数.如(3,4,5)(5,12,,13)(7,24,25)(9,40,41)„„
2、大于2的任意偶数,2n(n>1)都可构成一组勾股数分别是:2n,n2-1,n2+1 如:(6,8,10)(8,15,17)(10,24,26)„„
第二章 实数
一、实数的概念及分类
1、实数的分类

2、无理数:无限不循环小数叫做无理数。
在理解无理数时,要抓住“无限不循环”这一时之,归纳起来有四类:



(3)有特定结构的数,如0.1010010001…等;
(4)某些三角函数值,如sin60o等
二、实数的倒数、相反数和绝对值
1、相反数
实数与它的相反数时一对数(只有符号不同的两个数叫做互为相反数,零的相反数是零),从数轴上看,互为相反数的两个数所对应的点关于原点对称,如果a与b互为相反数,则有a+b=0,a=—b,反之亦成立。
2、绝对值
在数轴上,一个数所对应的点与原点的距离,叫做该数的绝对值。(|a|≥0)。零的绝对值是它本身,也可看成它的相反数,若|a|=a,则a≥0;若|a|=-a,则a≤0。
3、倒数
如果a与b互为倒数,则有ab=1,反之亦成立。倒数等于本身的数是1和-1。零没有倒数。
4、数轴
规定了原点、正方向和单位长度的直线叫做数轴(画数轴时,要注意上述规定的三要素缺一不可)。
解题时要真正掌握数形结合的思想,理解实数与数轴的点是一一对应的,并能灵活运用。
5、估算
三、平方根、算数平方根和立方根
1、算术平方根:一般地,如果一个正数x的平方等于a,即x2=a,那么这个正数x就叫做a的算术平方根。特别地,0的算术平方根是0。

性质:正数和零的算术平方根都只有一个,零的算术平方根是零。
2、平方根:一般地,如果一个数x的平方等于a,即x2=a,那么这个数x就叫做a的平方根(或二次方根)。

性质:一个正数有两个平方根,它们互为相反数;零的平方根是零;负数没有平方根。
开平方:求一个数a的平方根的运算,叫做开平方。

3、立方根
一般地,如果一个数x的立方等于a,即x3=a那么这个数x就叫做a 的立方根(或三次方根)。

性质:一个正数有一个正的立方根;一个负数有一个负的立方根;零的立方根是零。

四、实数大小的比较
1、实数比较大小:正数大于零,负数小于零,正数大于一切负数;数轴上的两个点所表示的数,右边的总比左边的大;两个负数,绝对值大的反而小。
2、实数大小比较的几种常用方法
(1)数轴比较:在数轴上表示的两个数,右边的数总比左边的数大。
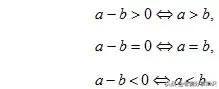
(2)求差比较:设a、b是实数,

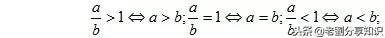
(3)求商比较法:设a、b是两正实数,

(4)绝对值比较法:设a、b是两负实数,则

(5)平方法:设a、b是两负实数,则

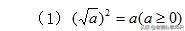
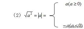
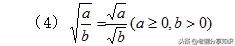
五、算术平方根有关计算(二次根式)


2、性质:







(1)被开方数的因数是整数,因式是整式;
(2)被开方数中不含能开得尽方的因数或因式
六、实数的运算
1、六种运算:加、减、乘、除、乘方 、开方
2、实数的运算顺序
先算乘方和开方,再算乘除,最后算加减,如果有括号,就先算括号里面的。
3、运算律

第三章 位置的确定
一、 在平面内,确定物体的位置一般需要两个数据。
二、平面直角坐标系及有关概念
1、平面直角坐标系
在平面内,两条互相垂直且有公共原点的数轴,组成平面直角坐标系。其中,水平的数轴叫做x轴或横轴,取向右为正方向;铅直的数轴叫做y轴或纵轴,取向上为正方向;x轴和y轴统称坐标轴。它们的公共原点O称为直角坐标系的原点;建立了直角坐标系的平面,叫做坐标平面。
2、象限
为了便于描述坐标平面内点的位置,把坐标平面被x轴和y轴分割而成的四个部分,分别叫做第一象限、第二象限、第三象限、第四象限。
注意:x轴和y轴上的点(坐标轴上的点),不属于任何一个象限。
3、点的坐标的概念
对于平面内任意一点P,过点P分别x轴、y轴向作垂线,垂足在上x轴、y轴对应的数a,b分别叫做点P的横坐标、纵坐标,有序数对(a,b)叫做点P的坐标。
点的坐标用(a,b)表示,其顺序是横坐标在前,纵坐标在后,中间有“,”分开,横、纵坐标的位置不能颠倒。平面内点的坐标是有序实数对,当

时,(a,b)和(b,a)是两个不同点的坐标。
平面内点的与有序实数对是一一对应的。
4、不同位置的点的坐标的特征
(1)各象限内点的坐标的特征




(2)坐标轴上的点的特征


点P(x,y)既在x轴上,又在y轴上

x,y同时为零,即点P坐标为 (0,0)即原点
(3)两条坐标轴夹角平分线上点的坐标的特征
点P(x,y)在第一、三象限夹角平分线(直线y=x)

x与y相等
点P(x,y)在第二、四象限夹角平分线上

x与y互为相反数
(4)和坐标轴平行的直线上点的坐标的特征
位于平行于x轴的直线上的各点的纵坐标相同。
位于平行于y轴的直线上的各点的横坐标相同。
(5)关于x轴、y轴或原点对称的点的坐标的特征
①点P与点p’关于x轴对称

横坐标相等,纵坐标互为相反数,即 点P(x,y)关于x轴的对称点为P’(x,-y)
②点P与点p’关于y轴对称

纵坐标相等,横坐标互为相反数,即 点P(x,y)关于y轴的对称点为P’(-x,y)
③点P与点p’关于原点对称

横、纵坐标均互为相反数,即点P(x,y)关于原点的对称点为P’(-x,-y)
(6)点到坐标轴及原点的距离
点P(x,y)到坐标轴及原点的距离:

三、坐标变化与图形变化的规律:

第四章 一次函数
一、函数:
一般地,在某一变化过程中有两个变量x与y,如果给定一个x值,相应地就确定了一个y值,那么我们称y是x的函数,其中x是自变量,y是因变量。
二、自变量取值范围
使函数有意义的自变量的取值的全体,叫做自变量的取值范围。一般从整式(取全体实数),分式(分母不为0)、二次根式(被开方数为非负数)、实际意义几方面考虑。
三、函数的三种表示法及其优缺点
1、关系式(解析)法
两个变量间的函数关系,有时可以用一个含有这两个变量及数字运算符号的等式表示,这种表示法叫做关系式(解析)法。
2、列表法
把自变量x的一系列值和函数y的对应值列成一个表来表示函数关系,这种表示法叫做列表法。
3、图象法
用图象表示函数关系的方法叫做图象法。
四、由函数关系式画其图像的一般步骤
1、列表:列表给出自变量与函数的一些对应值
2、描点:以表中每对对应值为坐标,在坐标平面内描出相应的点
3、连线:按照自变量由小到大的顺序,把所描各点用平滑的曲线连接起来。
五、正比例函数和一次函数
1、正比例函数和一次函数的概念
一般地,若两个变量x,y间的关系可以表示成

(k, b为常数,k

0),称y是x的正比例函数。
2、一次函数的图像: 所有一次函数的图像都是一条直线
3、一次函数、正比例函数图像的主要特征:
一次函数

的图像是经过点(0,b)的直线;正比例函数

的图像是经过原点(0,0)的直线。

注:当b=0时,一次函数变为正比例函数,正比例函数是一次函数的特例。
4、正比例函数的性质
一般地,正比例函数

有下列性质:
(1)当k>0时,图像经过第一、三象限,y随x的增大而增大;
(2)当k<0时,图像经过第二、四象限,y随x的增大而减小。
5、一次函数的性质
一般地,正比例函数

有下列性质:
(1)当k>0时,y随x的增大而增大
(2)当k<0时,y随x的增大而减小
6、正比例函数和一次函数解析式的确定
确定一个正比例函数,就是要确定正比例函数定义式

(k≠0)中的常数k。确定一个一次函数,需要确定一次函数定义式
y=kx+b(k≠0)中的常数k和b。解这类问题的一般方法是待定系 数法。
7、一次函数与一元一次方程的关系:
任何一个一元一次方程都可转化为:kx+b=0(k、b为常数 k≠0)的形式.而一次函数解析式形式正是y=kx+b(k、b为常 数,k≠0).当函数值为0时,即kx+b=0就与一元一次方程完全相 同.
结论:由于任何一元一次方程都可转化为kx+b=0(k、b为常 数,k≠0)的形式.所以解一元一次方程可以转化为:当一次 函数值为0时,求相应的自变量的值.
从图象上看,这相当于已知直线y=kx+b确定它与x轴交点的 横坐标值.
第五章 二元一次方程组
一、二元一次方程
含有两个未知数,并且所含未知数的项的次数都是1的整式方程叫做二元一次方程。
二、二元一次方程的解
适合一个二元一次方程的一组未知数的值,叫做这个二元一次方程的一个解。
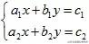
三、二元一次方程组
含有两个未知数的两个一次方程所组成的一组方程,叫做二元一次方程组。
四、二元一次方程组的解
二元一次方程组中各个方程的公共解,叫做这个二元一次方程组的解。
五、二元一次方程组的解法
1、代入(消元)法
2、加减(消元)法
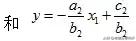
六、一次函数与二元一次方程(组)的关系
1、一次函数与二元一次方程的关系:
直线y=kx+b上任意一点的坐标都是它所对应的二元一次方程 kx- y+b=0的解
2、一次函数与二元一次方程组的关系:





的图象的交点。
当函数图象有交点时,说明相应的二元一次方程组有解;当函数图象(直线)平行即无交点时,说明相应的二元一次方程组无解。
第六章 数据的分析
一、刻画数据的集中趋势(平均水平)的量:平均数 、众数、中位数
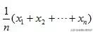
二、平均数
1、平均数:一般地,对于n个数

我们把

叫做这n个数的算术平均数,简称平均数,记为

2、加权平均数
三、众数
一组数据中出现次数最多的那个数据叫做这组数据的众数。
四、中位数
一般地,将一组数据按大小顺序排列,处于最中间位置的一个数据(或最中间两个数据的平均数)叫做这组数据的中位数。
第七章 平行线的证明
一、命题 :判断一件事情的句子。
如果一个句子没有对某一件事情做出任何判断,那么它就不是命题。每个命题都由条件和结论两部分组成。条件是已知的事项,结论是由已知事项推论出的事项。命题通常可以写成“如果。。。。。那么。。。。”的形式,其中“如果”引出的部分是条件,“那么”引出的部分是结论。
正确的命题称为真命题,不正确的命题称为假命题。
公认的真命题称为真理。演绎推理的过程称为证明,经历证明的真命题称为定理。
二、平行线的判定
1、平行线的判定公理
(1)两直线被第三条直线所截,如果同位角相等,那么这两条直线平行.
(2)两条平行线被第三条直线所截,同位角相等.
注意:证明两直线平行,关键是找到与特征结论相关的角.
2、平行线的性质
定理:两直线平行,同位角相等
定理:两直线平行,内错角相等
定理:两直线平行,同旁内角互补
定理:平行于同一条直线的两条直线平行
三、三角形的内角和定理
1、三角形内角和定理:三角形内角和等于180º
2、三角形的一个外角等于和它不相邻的两个内角的和
3、三角形的一个外角大于任何一个和它不相邻的内角
声明:内容来自网络,好的内容值得分享,如有侵权请联系删除