一、单项选择题(本大题共25小题,每小题2分,共 50分。在每小题的四个备选答案中选出一个正确答案,并将正确答案填写在答题卡对应位置。)
1.二进制数010011010110转换为十六进制数是()。
A.2B6
B.4B
C.4D6
D.4B6
【答案】C
【解析】二进制转换为十六进制,每四位为一组,不足四位对应位置用0补足∶0100转十六进制为 4,1101转十六进制为D,0110转十六进制为 6。
2.为了解决用户要求存储容量大,速度快,成本低的矛盾,目前计算机采用高速缓冲存储器、内存储器和外存储器的体系结构,该体系结构是( )。
A.多级存储器结构
B.固态硬盘阵列结构
C.机械硬盘阵列结构
D.多级流水线阵列结构
【答案】A
【解析】计算机对存储器的要求是容量大、速度快、成本低,需要尽可能地同时兼顾这三方面的要求,目前通常采用多级存储器体系结构。
3.WPS Ofice 是金山公司发行的一款办公软件,它是集演示表格一体的,它是属于()
A.模拟软件
B.系统软件
C. 应用软件
D.专用软件
【答案】C
【解析】计算机软件被分为系统软件和应用软件两大类。系统软件是指控制计算机的运行,管理计算机的各种资源,并为应用软件提供支持和服务的一类软件∶应用软件是指利用计算机的软硬件资源为某个专门的应用目的而开发的软件。
4.在Word中可以使用( )功能把所有的软回车变成硬回车。
A.格式刷
B. 替换
C.查找
D.定位
【答案】B
【解析】在文本编辑的时候,Enter 生成的叫硬回车(可用^p表示),表示一个段落到此结束;Shift+Enter 是软回车(可用^ 表示),只作分行处理,前后仍属于同一个段落。在 Word中硬回车是一个折回来的箭头,软回车是一个向下的箭头。可使用替换功能把所有的软回车变成硬回车。
5.在PowerPoint中,能够查看多张幻灯片的视图是( )。
A.普通视图
B.幻灯片浏览视图
C. 页面视图
D.阅读视图
【答案】B
【解析】普通视图可实现对演示文稿中每张幻灯片的内容编辑与修改,显示一张幻灯片幻灯片视图可浏览幻灯片的整体外观,可同时显示多张幻灯片阅读视图以窗口形式简单地显示幻灯片的放映效果,显示一张幻灯片。
6.Excel可以通过自动填充产生有序的数据,包括预定义的序列,等比序列和( )。
A.等差序列
B.等效序列
C. 等额序列
D. 函数序列
【答案】A
【解析】在 Excel中,自动填充可以实现等差、等比、系统预定义的数据填充序列以及用户自定义序列的填充。
7.以下函数中,可实现统计工资大于7000的人数的是( )。
A.=COUNTIF(B2:B7,>7000)
B.=COUNTIF(B2:B7,“>7000”)
C.=SUMIF(B2:B7,>7000)
D.=SUMIF(B2:B7,“>7000”)
【答案】B
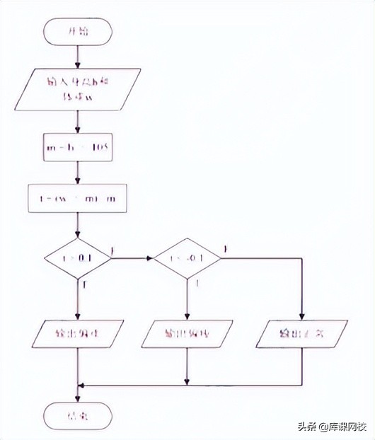
【解析】COUNTIF函数统计满足条件的数值单元格个数,格式为COUNTIF(参数列表,条件)∶SUMIF 函数用于求满足条件的数值和,格式为 SUMIF(参数列表,条件)。注意COUNTIF 与SUMIF中的条件是一对英文引号引起的。
8.对于一个Excel表,以下( )可求出奖金排名。
A.=RANK(G2,G2:G9)
B.=RANK($G$2,$G$2:$G$9)
C.=RANK($G$2,G2:G9)
D.=RANK(G2,$G$2:$G$9)
【答案】D
【解析】RANK函数用于比较对象在参数列表中的排序名次,格式为RANK(比较对象,参数列表),其中比较对象是变化的,不需要绝对引用,而参数列表需要固定,因此需要绝对引用。
9.下列关于防火墙的描述中不正确的是( )。
A.限制特定端口互联
B. 限制特定IP互联
C.限制 CPU温度过高
D.记录网络访问记录
【答案】C
【解析】防火墙指的是一个由软件和硬件设备组合而成、在内部网和外部网之间、专用网与公共网之间的界面上构造的保护屏障,防火墙可以阻止或取消阻止某些连接请求∶创建安全日志,记录对计算机的成功连接尝试和不成功的连接尝试等,但不可限制CPU的温度。
10.在Windows 操作系统中可用于检测网络是否连通,以及与目标计算机之间连接速度的命令是( )。
A. ipconfig
B. netstat
C. ping
D. ifconfig
【答案】C
【解析】ipconfig 命令用于查看本机的网络配置信息(包括IP地址、子网掩码、默认网关、DNS 等);netstat 命令用于显示各种网络相关信息,如网络连接,路由表,接口状态;ping 命令用于检测网络的连通性∶ Linux 中 ifconfig 命令用于显示或设置网络设备。
11.家庭中的路由器一般具有 DHCP服务,其作用是( )。
A. 传输文件
B.过滤数据
C.自动分配计算机IP地址
D.记录网络日志
【答案】C
【解析】DHCP(动态主机配置协议)是一个局域网的网络协议,使用UDP协议工作, 主要有两个用途∶给内部网络或网络服务供应商自动分配 IP地址,给用户或者内部网络管理员作为对所有计算机作中央管理的千段。
12.下列行政处罚最轻的是()。
A.警告
B.罚款
C.吊销营业执照
D.拘留
【答案】A
【解析】行政主体违法最轻的一项处罚是∶ 警告,通报批评。
13.在SQL 语句中,Select …Order By …的默认排序方式是()。
A. 升序
B.降序
C.无序
D.有序
【答案】A
【解析】在 SQL语句中默认排序为升序。故本题选A。
14.在如下图所示的数据表中,执行SQL 语句∶Select Sum(INCOME) From A.返回的结果是( )。

A.0
B.4
C.200
D.730
【答案】D
【解析】在 SQL中,SUM( )函数用于计算某一列数据的总和。
15.根据人的声音频率和实际情况,采样频率最好不能低于()。
A.22.05KHz
B.44.1KHz
C. 48.1KHz
D.96.1KHz
【答案】B
【解析】根据 Harry Nyquist(乃奎斯特)采样定律∶采样频率高于输入声音信号中最高频率的两倍就可以从采样中恢复原始波形。因此在实际采样中,往往采取 44.1kHz作为高质量声音的采样频率。故本题选 B。
16.视频信息是相关联的图像序列,其最小单位为( )。
A.位
B. 帧
C.像素
D.赫兹
【答案】B
【解析】视频信息是相关联的图像序列,其最小单位为帧。
17.1000个有序的数用二分法查找任意一个数最多需要查找( )。
A.5
B.10
C. 15
D.20
【答案】B
【解析】二分查找又称为对半查找或者折半查找,是一种针对大量且有序数据的高效查找方法,每查找一次,范围缩小一半,对应的查找过程类似1000→500→250→125→62→31→15 →7→3→1,因此最多需要 10次即可找到指定数值。
18.公安局在破某刑事案件时采用了"地毯式"排查,实际上是类似于计算机中的( )算法。
A.枚举
B. 迭代
C. 递归
D.排序
【答案】A
【解析】枚举法也叫穷举法或试凑法,它的核心思想就是列举在某一范围内所有可能出现的情况,然后逐一进行判断,直到全部情况被验证;迭代法又称递推法,是利用问题本身所具有的某种递推关系求解问题的一种方法∶排序指的是对无序数据排列成有序数据。
19.以下程序设计语言中,可以作为Web 应用程序脚本语言的是( )。
A. JM2E
B. Java Applet
C.JavaScript
D.JE2E
【答案】C
【解析】applet是一个小型的动态 Java 程序,它可以嵌入在HTML代码中,通过Internet 传输并由兼容 Java的 Web 浏览器运行,在客户端计算机上工作∶JavaScript是作为开发 Web 页面的脚本语言而出名,基于原型编程、多范式的动态脚本语言,并且支持面向对象、命令式和声明式∶J2EE的全称是 Java 2 Platform Enterprise Edition,J2EE本身是一个标准,而不是一个现成的产品。
25.乘客在乘坐公共交通时,使用公交卡支付属于()。
A.RFID技术
B. 大数据技术
C. 区块链技术
D.位置服务技术
【答案】A
【解析】RFID技术即射频识别技术,俗称电子标签。RFID标签中存储着各种物品的信息,利用无线数据通信网络采集到中央信息系统,从而实现对物品的识别。大数据技术具有海量、高增长率和多样化的信息资产。区块链技术是一种去中心化分布账本位置服务技术就是采用GPS定位技术。

二、案例分析题(本大题共10小题,每小题1分,共10分。在每小题的四个备选答案中选出一个正确答案,并将正确答案填写在答题卡对应位置。)
案例1∶世界上已经有很多的公司在使用云数据库了,但为了保证国家信息安全,我国要使用云数据库不应选择 26 数据库,若公司想要自行建立一个数据库,为了节省经费,可以直接使用的数据库是 27 ,在公司内使用数据库若想减少维护应该选用 28 方式,若最后要对用户使用的界面进行编辑,这属于___29__,若要对逻辑处理和数据库管理,这应该属于___30____。
26.A.阿里云 B.腾讯云 C.谷歌云 D.华为云
【答案】C
27.A.Access B.MySQL C.SQL Server D. Oracle
【答案】B
28.A.C/S B.B/S C.A/S D.E/S
【答案】B
29.A.前端设计 B.后端设计 C.安全设计 D.美化设计
【答案】A
30.A.前端设计 B.后端设计 C.安全设计 D.美化设计
【答案】B
案例2∶某网站的网址是http∶//www.baidu.com,该网站所使用服务器类型应该是 31 ,该网站的主机名是 32 ,其默认的端口号应该是 33 ,该网站的网页是通过34____语言编写的,重庆政府网的网址是____35____。
31.A.www B. web C.ftp D. 数据库
【答案】B
32.A.www.baidu.com B. www C. baidu D. com
【答案】B
33.A.21 B.25 C.80 D. 8080
【答案】C
34.A.HTTP B.FTP C.HTML D. DNS
【答案】C
35.A.www.cq.gov.cn B. www.cq.edu.cn C. www.cq.com.cn D. www.cq.org.cn
【答案】A
三、填空题(本大题共10小题,每小题2分,共20分。将下列描述补充完整,并将其填写在答题卡对应位置。)
36.CPU可以_________访问内存储器。
【答案】直接
【解析】内存储器是CPU能够直接访问的存储器。
37.Android是一种基于Linux的自由及开放源代码的操作系统,主要使用于_________,如智能手机和平板电脑。
【答案】移动设备
【解析】Android是一种基于Linux的自由及开放源代码的操作系统,主要适用于移动设备,如智能手机和平板电脑。
38.在PowerPoint中,讲义最多可以打印___________张幻灯片。
【答案】9张
【解析】在PowerPoint中,打印时【讲义】可以在一张纸上打印多张幻灯片,最多可打印9 张。
39.在默认情况下,WPS的默认扩展名是___。
【答案】.wps
【解析】WPS的默认扩展名是.wps。
40.在TCP/IP协议中,实现可靠连接的是___协议。
【答案】TCP
【解析】TCP是用户控制协议,是传输层中面向连接、实现可靠传输的协议。
41.在数据库SQL语句中,AGE>=18AND AGE<=24可写成AGE_________18 AND 24。
【答案】BETWEEN
【解析】在 SQL语句中,BETWEEN……AND会选取介于两个值之间的数据范围。
42.一个完整的多媒体系统由多媒体硬件和多媒体_____ 系统组成。
【答案】软件
【解析】整个多媒体计算机系统可分为多媒体计算机硬件系统和软件系统。
43.如下图所示流程图可用来计算一元二次方程ax²+bx+c=0的实数根,其中a(a≠0),b,c为已知,则流程图中①处应该填写____

【答案】d>0
【解析】分析流程图得到图中①应填写一元二次方程的判别式,即△=b2-4ac,当△>=0时,有实数根,当△<0时无实数根,因此①处应该填写的是d>0。
44.虚拟现实的基本特征是沉浸性、交互性和想象性,其英文简称是____
【答案】VR
【解析】虚拟现实(Virtual Reality,VR)技术指利用计算机等设备来产生一个逼真的三维视觉、触觉、嗅觉等多种感官体验的虚拟世界,从而使处于虚拟世界中的人产生一种身临其境的感觉。
45.数据不容易丢失属于云计算的___特点。
【答案】高可靠性
【解析】云计算具有3个特点∶超大规模、资源抽象、高可靠性。高可靠性∶云计算提供了安全的数据存储方式,能够充分保证数据的可靠性,用户无需担心软件的升级更新、漏洞补修、病毒攻击和数据丢失等问题。
四、简答题(本大题共6小题,每小题5分,共 30分。将答案填写在答题卡对应位置。)
46.计算机系统由哪两部分组成?写出两者之间的关系。除了硬盘、内存、CPU 之外还可以通过哪些方面提高计算机的性能。
【答案】
计算机系统由计算机硬件系统和计算机软件系统组成。
计算机硬件是软件建立和依托的基础,软件是计算机系统的灵魂。
还可以通过输入设备、输出设备、显卡等提高计算机的性能。
【解析】本题主要考查计算机系统的组成和计算机的主要性能指标,可以从计算机的五大部件方面进行展开答题,言之有理即可。
47.已知某主机的网络配置信息如下所示。
IP地址∶192.168.123.16 子网掩码∶255.255.255.0
默认网关∶192.168.123.1 DNS服务器地址∶61.128.128.68
请完成以下问题。
(1)DNS的中文名是____
(2)MAC地址是___位二进制数。
(3)无线路由器的地址是____。
(4)该主机的网段是_____。
(5)IPv6 地址采用_位二进制数。
【答案】
(1)域名系统
(2)48
(3)192.168.1.1
(4)192.168.123.0
(5)128
【解析】本题主要考查的是网络信息的综合配置。DNS的中文名是域名系统,主要实现域名和IP地址的相互转换。MAC地址是网卡上带有的一串独一无二的编号,也叫物理地址,其采用48位二进制数编码。路由器的IP地址就是默认网关地址。网段就是网络号或网络地址,通过给出的IP地址和子网掩码可以确定其网络地址为192.168.123.0。IP地址可分为IPv4 和IPv6 地址,其中IPv4地址占32位二进制数,IPv6 地址占128位二进制数。
48.要在Access 数据库中创建如下数据表,请补全该表中空白部分。

【答案】

【解析】本题主要考查的是 Access 数据库中常见的数据类型。学号和姓名这种不需要计算的数据应该设置为文本型,外语成绩和数学成绩需要进行计算,则应该设置为数字型,是否及格表示是或否,因此应该设置为是/否型。主键中的数据必须能确定唯一一条记录,且不能够重复,因此只有学号满足。
49.已知标准体重(kg)=身高(cm)-105,人的体重在标准体重的±10%以内属于正常,超过标准体重的 10%是偏胖,低于10%是偏瘦。请绘制算法流程图,实现输入一个人的身高和体重,输出其体重类型(偏胖、偏瘦或正常)。
【答案】

50.已知Sn=1+2+3+4+5+…+n,绘制算法流程图,输当Sn>1000时n的值。
【答案】

51.如图所示的直角坐标系中有一个半径为R的圆,请补全如下列流程图,输出直角坐标系中某一个点(x,y)是否在该圆内。请回答下列问题。


【答案】
(1)①∶x*x+y*y<R*R或x^2+y^2<R^2
(2)②输出“在圆内”。
③输出“不在圆内”。
④选择结构或分支结构。
【解析】若想要该点处于圆的内部,其到原点的距离必须小于圆的半径R,详见答案。
五、应用题(本大题共2小题,每小题5分,共10分。将答案填写在答题卡对应位置。)
53.有如下图所示的两张Excel表格。


请根据表格回答以下问题。
(1)平时成绩可通过考勤表获取,则平时成绩的第一个单元格应该使用的公式是_____
(2)写出在G2中求总成绩的公式______
(3)若要将计算出的总成绩四舍五入并保留整数,可以使用_______函数。
(4)若要求平均成绩,可以在D4中输入公式_________
(5)若要获得所有的平均成绩,可以通过________将函数复制到其他单元格。
【答案】
(1)=考勤表!G2
(2)=D2*0.2+E2*0.2+F2*0.6
(3)ROUND
(4)=AVERAGE(D2:D4)
(5)自动填充