考前11天,不知道如何规划学习进度?
知识点太多
花费了时间、精力却没有收获任何效果?
距离考试越来越近
......
别慌
小希梳理了证券投资基金基础知识重要公式
助你快速提分
1、三大财务会计报表
资产=负债+所有者权益
利润=收入-成本-费用
净现金流=经营活动产生的现金流+投资活动产生的现金流+筹资活动产生的现金流
2、可转换债券基本要素
转换价格=可转换债券面值/转换比例
转换比例=可转换债券面值/转换价格
可转换债券价值=纯粹债券价值+转换权利价值
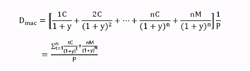
3、债券的久期和凸度
麦考利久期公式:

修正的麦考利久期等于麦考利久期除以(1+y),即:(计算常考点)

4、财务比率(掌握公式并会基本计算)

5、单利、复利和贴现因子(复利公式必须牢记)

6、描述性统计量(期望公式为必考点)

7、债券的估值方法(必考)

8、当期收益率与到期收益率(如果考到到期收益率,将选项代入公式中)

9、资本资产定价模型

10、保证金交易(高频考点,收益率公式要记牢)

11、收益率的计算(持有区间收益率、时间加权收益率、几何平均收益率为高频考点;夏普比率、特雷诺比率必考其一)

这些公式你都记住了吗?小希已经将常考的公式标记起来了,在上考场之前,一定要拿下这些公式。