初中数学 第六章 实数(考纲要求 思维导图 知识点梳理 典例分析)非常全面,值得收藏
关注我,更多学习资料免费送。
【考纲要求】
1.了解有理数、无理数、实数的概念;借助数轴理解相反数、绝对值的概念及意义,会比较实数的大小;
2.知道实数与数轴上的点一一对应,会用科学记数法表示有理数,会求近似数和有效数字;了解乘方与开方、平方根、算术平方根、立方根的概念,并理解这两种运算之间的关系,了解整数指数幂的意义和基本性质;
3.掌握实数的运算法则,并能灵活运用;
4.逐步形成数形结合、分类讨论、建模思想.
【知识网络思维导图】

【知识点梳理】
知识点一 实数的分类
1.按定义分类:

2.按性质符合分类:

有理数:整数和分数统称为有理数,或者“形如m/n(m,n是整数n≠0)”的数叫有理数.
无理数:无限不循环小数叫无理数.
实数:有理数和无理数统称为实数.
要点诠释:
常见的无理数有以下几种形式:
(1)字母型:如π是无理数,π/2、π/4等都是无理数,而不是分数;
(2)构造型:如2.10100100010000...(每两个1之间依次多一个0)就是一个无限不循环的小数;
(3)根式型:..等都是一些开方开不尽的数;
(4)三角函数型:sin35°、tan27°、cos29°等.
知识点二 实数的相关概念
1.相反数
(1)代数意义:只有符号不同的两个数,我们说其中一个是另一个的相反数.0的相反数是0;
(2)几何意义:在数轴上原点的两侧,与原点距离相等的两个点表示的两个数互为相反数;
(3)互为相反数的两个数之和等于0.a、b互为相反数,即a+b=0.
2.绝对值
(1)代数意义:正数的绝对值是它本身;负数的绝对值是它的相反数;0的绝对值是0.可用式子表示为:

(2)几何意义:一个数a的绝对值就是数轴上表示数a的点与原点的距离.距离是一个非负数,所以绝对值的几何意义本身就揭示了绝对值的本质,即绝对值是一个非负数.
用式子表示:若a是实数,则|a|≥0.
3.倒数
(1)实数a(a≠0)的倒数是1/a;0没有倒数;
(2)乘积是1的两个数互为倒数.a、b互为倒数a·b=1.
4.平方根
(1)如果一个数的平方等于a,这个数就叫做a的平方根.一个正数有两个平方根,它们互为相反数;0有一个平方根,它是0本身;负数没有平方根.a(a≥0)的平方根记作±.
(2)一个正数a的正的平方根,叫做a的算术平方根.a(a≥0)的算术平方根记作.
5.立方根
如果x3=a,那么x叫做a的立方根.一个正数有一个正的立方根;一个负数有一个负的立方根;0的立方根仍是0.
要点诠释:
若,则a≥0;若则,则a≤0. 表示的几何意义就是在数轴上表示数a与数b的点之间的距离.
知识点三 实数与数轴
规定了原点、正方向和单位长度的直线叫做数轴,数轴的三要素缺一不可.
每一个实数都可以用数轴上的一个点来表示,反过来,数轴上的每一个点都表示一个实数.
要点诠释:
(1)数轴的三要素:原点、正方向和单位长度.
(2)实数和数轴上的点是一一对应的.
知识点四 实数大小的比较

知识点五、实数的运算
1.加法
同号两数相加,取相同的符号,并把绝对值相加;绝对值不相等的异号两数相加,取绝对值较大的加数的符号,并用较大的绝对值减去较小的绝对值;互为相反数的两个数相加得0;一个数同0相加,仍得这个数.满足运算律:加法的交换律a+b=b+a,加法的结合律(a+b)+c=a+(b+c).
2.减法
减去一个数等于加上这个数的相反数.
3.乘法
两数相乘,同号得正,异号得负,并把绝对值相乘.
几个非零实数相乘,积的符号由负因数的个数决定,当负因数有偶数个时,积为正;当负因数有奇数个时,积为负.几个数相乘,有一个因数为0,积就为0.
乘法运算的运算律:(1)乘法交换律ab=ba;(2)乘法结合律(ab)c=a(bc);(3)乘法对加法的分配律a(b+c)=ab+ac.
4.除法
(1)除以一个数,等于乘上这个数的倒数.
(2)两个数相除,同号得正,异号得负,并把绝对值相除.0除以任何一个不等于0的数都得0.
5.乘方与开方
(1)求n个相同因数的积的运算叫做乘方,an所表示的意义是n个a相乘.
正数的任何次幂是正数,负数的偶次幂是正数,负数的奇次幂是负数.
(2)正数和0可以开平方,负数不能开平方;正数、负数和0都可以开立方.
(3)零指数与负指数:a0=1(a≠0),a-p=1/ap(a≠0)
要点诠释:
(1)加和减是一级运算,乘和除是二级运算,乘方和开方是三级运算.这三级运算的顺序是三、二、一.如果有括号,先算括号内的;如果没有括号,同一级运算中要从左至右依次运算.
(2)实数的运算律
加法交换律:a+b=b+a
加法结合律:(a+b)+c=a+(b+c)
乘法交换律:ab=ba
乘法结合律:(ab)c=a(bc)
乘法分配律:(a+b)c=ac+bc
知识点六 有效数字和科学记数法
1.近似数
一个近似数,四舍五入到哪一位,就说这个近似数精确到哪一位.精确度的形式有两种:(1)精确到哪一位;(2)保留几个有效数字.
2.有效数字
一个近似数,从左边第一个不是0的数字起,到精确到的数位为止,所有的数字,都叫做这个近似数的有效数字.
3.科学记数法
把一个数用±a×10n(其中1≤<10,n为整数)的形式记数的方法叫科学记数法.
要点诠释:
(1)当要表示的数的绝对值大于1时,用科学记数法写成a×10n,其中1≤<10,n为正整数,其值等于原数中整数部分的数位减去1;
(2)当要表示的数的绝对值小于1时,用科学记数法写成a×10n,其中1≤<10,n为负整数,其值等于原数中第一个非零数字前面所用零的个数的相反数(包括小数点前面的零).
知识点七 数形结合、分类讨论、建模思想
1.数形结合思想
实数与数轴上的点一一对应,绝对值的几何意义等,数轴在很多时候可以帮助我们更直观地分析题目,从而找到解决问题的突破口;
2.分类讨论思想
(算术)平方根,绝对值的化简都需要有分类讨论的思想,考虑问题要全面,做到既不重复又不遗漏;
3. 从实际问题中抽象出数学模型
以现实生活为背景的题目,我们要抓住问题的实质,明确该用哪一个考点来解决问题,然后有的放矢.
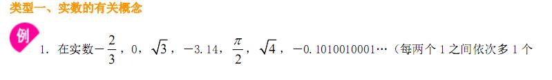
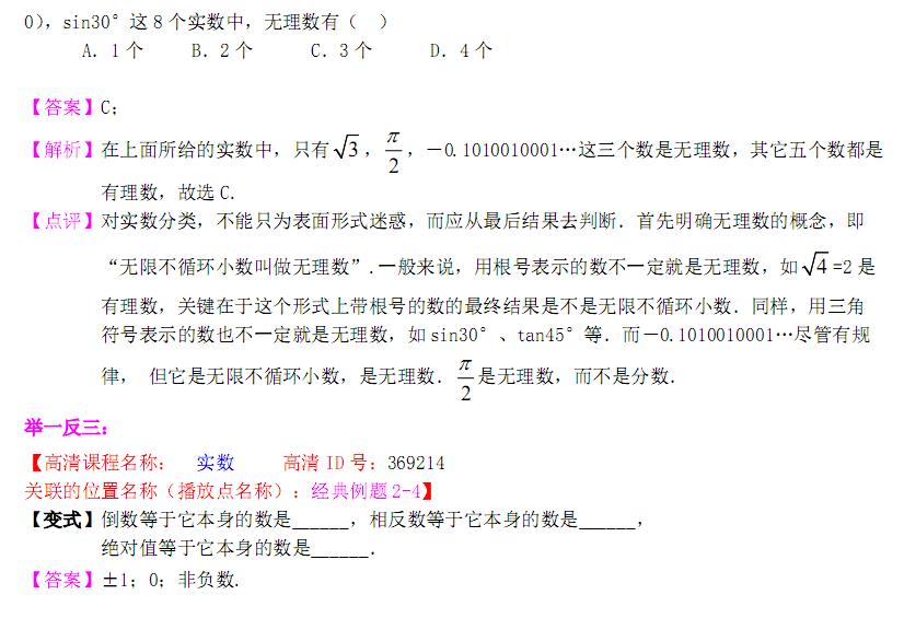
【典型例题】












