
河北省人社厅网站
最新发布
河北省2023年高校毕业生
“三支一扶”计划招募公告
详情如下
↓↓↓
河北省2023年高校毕业生“三支一扶”计划招募公告
为做好2023年高校毕业生到基层从事支教、支农、支医、帮扶乡村振兴等志愿服务(简称“三支一扶”计划),根据《*共中**河北省委组织部 河北省人力资源和社会保障厅等十部门关于做好2023年高校毕业生“三支一扶”计划实施工作的通知》要求,现将河北省2023年高校毕业生“三支一扶”计划招募有关事项公告如下:
一、招募数量
2023年计划招募“三支一扶”志愿者1250名。各地招聘人数、具体岗位、条件、咨询电话详见《河北省2023年高校毕业生“三支一扶”计划招募岗位信息表》(附件,以下简称《岗位信息表》)。《岗位信息表》通过河北人社网(rst.hebei.gov.cn)河北人才网(www.hbrc.com.cn)、河北省人事考试网(www.hebpta.com.cn)查询。
二、招募对象及条件
(一)招募对象
招募对象为河北省普通高等院校、河北省户籍省外普通高等院校、河北省户籍国(境)外高校毕业的2022届、2023届毕业生(含以普通高校应届毕业生身份参加住院医师规范化培训并在2023年取得合格证书的人员)。河北省全日制技工院校高级工班、预备技师(技师)班毕业生,可分别参照大专、本科文化程度报考符合条件的招募岗位。
(二)基本条件
1.具有中华人民共和国国籍,遵纪守法,思想政治素质好,拥护*党**的路线方针政策。
2.具有良好的政治素质和道德品行。
3.具备正常履行工作职责的身体条件。
4.具备招募岗位要求的文化程度和工作能力。
5.热爱基层,志愿服务基层、扎根基层,有较强的吃苦和奉献精神。
6.符合法律法规规定和招募岗位所要求的其他条件。
(三)招募条件
1.支医岗位须是医疗卫生类相关专业高校毕业生。
2.年龄不超过30周岁(1992年7月5日以后出生)。
3.考生须在现场资格审核前取得毕业证书,本科以上学历的毕业生还须取得学位证书。在国(境)外高校毕业的,须在现场资格审核时出具教育部中国留学服务中心的学历(学位)认证。
4.有户籍要求的岗位,报考人员户口在招募公告发布之日应在所要求的行政区域。
5.招募到岗后签订服务协议,签订服务协议六个月内不得单方中止协议或擅自离岗。
(四)有下列情形之一的不得报考
1.仍在岗服务的农村义务教育阶段学校教师特设岗位计划、大学生志愿服务西部计划、“三支一扶”计划人员,农村订单定向免费医学生。
2.因个人原因不能保证连续性工作的人员。
3.在读的普通高校非应届毕业生。
4.机关、事业单位在职人员(含试用期人员)。
5.因犯罪受过刑事处罚的和曾被开除公职的人员。
6.现役军人。
7.不符合招募对象、招募条件或岗位所需资格条件的人员。
8.相应法律法规规定不得参加报考的其他情形。
三、招募原则及程序
“三支一扶”招募工作坚持公开、平等、竞争、择优的原则,按照以下程序进行:
(一)报名
本次招募全部采用网络方式报名,免交报名费。每人限报一个岗位。报名时须上传本人近期免冠彩色证件照片(jpg格式、240×320像素、照片大小10-200kb)。报考人员应保证所提供的各种材料和信息真实、准确,凡填写信息不真实、不完整或填写错误的,责任自负;如发现有弄虚作假、舞弊等行为,一经查实,立即取消考试及招募资格。有关违纪违规行为将参照《事业单位公开招聘违纪违规行为处理规定》(人社部令第35号)等进行处理。
报名时间: 2023年7月7日9:00至7月13日17:00
报名网址:河北人才网(www.hbrc.com.cn)
(二)网上资格审查
资格审查由各市人社局通过网络方式进行,截止时间为2023年7月14日17:00,审查结果通过报名系统反馈。未通过审查的报名人员,须在截止时间之前根据提示完善信息后再次提交审查,报名截止时间之后审查未通过的考生可在2023年7月14日15:00前完成再次提交。审查通过后,所填报信息不能再做修改。
资格审查贯穿招募全过程,任何环节发现不符合招募条件或报名信息不实的,将取消考生招募资格。
(三)打印准考证
报名成功的考生,于7月18日至7月20日登录报名网站自行打印本人准考证(使用A4纸打印,黑白、彩色均可,保证字迹、照片清晰)。逾期不打印准考证而影响考试的一切责任由考生自负。笔试时,考生持本人准考证和有效居民身份证原件到指定地点参加考试,两证不全者不得参加考试。
(四)笔试
笔试时间: 2023年7月22日上午9:00-11:00
笔试安排:将在河北人社网(rst.hebei.gov.cn)、河北人才网(www.hbrc.com.cn)、河北省人事考试网(www.hebpta.com.cn)另行发布通知。全省统一时间进行笔试,笔试为一场,时间120分钟,满分100分, 笔试时间、地点及有关要求详见《笔试准考证》,笔试不设最低开考比例。笔试成绩可登录报名网址查询笔试成绩。
笔试内容:主要包括职业能力测验、公共基础知识、“三支一扶”计划知识等。
笔试结束后,根据报名数量和笔试成绩由省人力资源和社会保障厅统一划定最低控制分数线,低于最低分数线的考生取消招募资格。
(五)面试
面试时间: 2023年8月5日
面试具体安排河北人社网(rst.hebei.gov.cn)、河北人才网(www.hbrc.com.cn)、河北省人事考试网(www.hebpta.com.cn)另行发布通知。笔试、面试成绩和总成绩均按“四舍五入法”保留小数点后两位数字。依据笔试成绩从高分到低分按计划招募人数与进入面试人选1:3的比例确定面试人选,不足1:3比例的,按实际参考人数确定。比例内末位笔试成绩并列的都进入面试。
进入面试环节的考生须按照通知要求提前参加面试(现场)资格审查,考生须提供户口页、身份证、毕业证、学位证等相关材料原件。考生不能提供或提供虚*证假**件的,与报名信息不一致的,取消招募资格。签订服务协议前仍未取得毕业证及岗位要求相关资格证书的,视为不合格,取消招募资格。留学人员应持国家教育部留学服务中心认证学历、学位参加资格审查。
因面试(现场)资格审查不合格或考生自动放弃出现面试人选缺额,在报考同一岗位的考生中,按笔试成绩由高到低的顺序依次递补(仅递补一次)。未在规定时限内参加面试资格审查的,视为考生自动放弃面试资格。
如因面试(现场)资格审查或缺考出现空缺而造成实际参加面试人数与拟招募人数之比低于3:1时,面试正常进行。如招募岗位实际面试人员未形成竞争(即参加面试人数少于或等于该岗位拟招募人数),该岗位面试人员面试成绩低于其所在面试考官组使用同一面试题本面试所有人员平均成绩的,取消招募资格。
通过面试(现场)资格审查的考生按照通知要求*载下**打印《面试准考证》并妥善保管。面试时间、地点和有关要求详见《面试准考证》。面试采取结构化面谈形式。面试时,考生须持有效居民身份证和《面试准考证》进入考场,缺少证件的考生不得参加面试。
(六)综合成绩
综合成绩=笔试成绩×50%+面试成绩×50%。
综合成绩并列的,按以下顺序确定入围考生:已参加住院医师规范化培训的医学类毕业生、笔试成绩较高者、*共中***党**员、学历(学位)较高者。
综合成绩请登录报名网址查询。
(七)体检
根据综合成绩进行由高分到低分的排名,确定进入体检的考生名单。体检工作参照修订后的《公务员录用体检通用标准(试行)》和《公务员录用体检操作手册(试行)》执行。体检时间、地点由各市、雄安新区自行通知。体检不合格或主动放弃体检的,取消招募资格。
(八)递补
面试环节后因主动放弃招募资格或体检不合格等出现岗位空缺的,经市级人力资源社会保障部门研究,可在报考同一岗位进入面试的人员中,按综合成绩由高到低依次进行递补(仅递补一次),如该岗位仅有1人参加面试且体检不合格或无人可递补,不再递补。
(九)公示
根据综合成绩和体检结果,确定拟招募志愿者名单,统一在河北人社网(rst.hebei.gov.cn)、河北人才网(www.hbrc.com.cn)、河北省人事考试网(www.hebpta.com.cn)进行公示。
公示期为5个工作日。公示期满,对没有问题或反映问题不影响招募的,办理招募手续;对有严重问题并查有实据的,不予招募;对反映有严重问题,但一时难以查实的,暂缓招募,待查实并作出结论后再决定是否招募。
(十)培训及上岗
拟招募志愿者须参加由各市、雄安新区组织的岗前培训。培训结束后,拟招募志愿者与县“三支一扶”工作协调管理办公室签订《河北省高校毕业生“三支一扶”计划志愿者服务协议书》,协议签订后一周内上岗服务。
(十一)调剂补录
根据招募岗位空缺情况适时开展调剂补录工作。补录工作将在河北人社网(rst.hebei.gov.cn)、河北人才网(www.hbrc.com.cn)、河北省人事考试网(www.hebpta.com.cn)另行发布通知。
四、有关待遇
(一)服务期间,“三支一扶”工作人员生活补贴按照我省基层服务单位所在地区乡镇机关或事业单位从高校毕业生中新录用(聘用)工作人员试用期满后的工资水平确定,并根据同岗位人员待遇调整情况和当地经济发展水平动态调整。省以上财政负担每月工作生活补贴标准分别为研究生3400元、本科生3200元、专科生3000元,其中:经住院医师规范化培训合格的本科学历临床医师参加服务,生活补贴按照研究生志愿者对待。市县财政负担工作生活补贴不足部分等费用。
给予新招募且在岗服务满6个月的志愿者一次性安家费3000元。按有关规定为志愿者办理服务期内的养老、医疗、工伤保险。各项保险的单位缴费部分由省三支一扶工作协调管理办公室负责缴纳,个人缴费部分在志愿者生活补贴中代扣代缴。
(二)服务时间满1年且年度考核合格的“三支一扶”志愿者,可按规定参加职称评定。
(三)“三支一扶”志愿者在服务期间可按规定参加服务单位的*党**团组织生活,并可向服务单位*党**组织提出入*党**申请。
(四)“三支一扶”志愿者在基层服务年限计算为工龄,其参加工作时间按《河北省高校毕业生“三支一扶”计划志愿者服务协议书》签订时间起算。
(五)对服务期满并已落实工作单位的“三支一扶”志愿者,其户口、档案原则上随工作需要流动。暂未就业的,档案应转至户籍所在地政府所属人力资源服务机构进行人事代理。
(六)服务期满且考核合格的“三支一扶”志愿者,根据有关规定,符合条件的,可参加期满当年的河北省公务员定向考录和河北省选调生选拔。
(七)服务期满且考核合格的“三支一扶”志愿者,根据有关规定,可参加县乡基层事业单位专项招聘;在县(市、区)及以下事业单位有空编、本人愿意、单位需要的前提下,经考核合格可直接聘用为事业单位工作人员。
(八)服务期满且考核合格的“三支一扶”志愿者,三年内参加全国硕士研究生招生考试的,初试总分加10分,同等条件下优先录取。已被录取为研究生的应届高校毕业生参加“三支一扶”计划,学校为其保留入学资格。
(九)专科毕业生参加“三支一扶”计划,服务期满且考核合格的,可免试入读成人高等学历教育专科起点本科。
(十)本科及以上学历毕业生参加“三支一扶”计划支医服务,期满且考核合格后由县级卫生健康主管部门统一安排参加住院医师规范化培训,考试合格后,可优先录取。
(十一)本科及以上学历毕业生参加“三支一扶”计划,服务期满且考核合格的,报考河北省农村义务教育阶段学校教师特设岗位计划,符合报考条件的,在笔试成绩中加5分。
(十二)参加“三支一扶”计划前无工作经历的志愿者,服务期满且考核合格的,两年内在参加机关和企事业单位考录(招聘)、自主创业、落户、升学等方面可同等享受应届毕业生相关政策。
五、相关提示
(一)请考生在网上报名时留下常用电话并在报考期间保持通讯畅通。因考生未及时查看相关通知信息或通讯不畅造成的后果,由考生自行负责。
(二)本次考试不收取任何费用,不指定辅导用书,不举办也不委托任何机构举办考试辅导培训班。
(三)服务期间因各种原因解除服务协议,未能完全按规定时间履行服务的“三支一扶”人员,不享受相关优惠政策。
(四)对招募岗位的专业、学历、学位、资格条件等信息需要咨询时,考生可直接与报名当地“三支一扶”计划协调管理办公室联系。
报名咨询电话
石家庄市人力资源和社会保障局 0311-86689134、86688467
承德市人力资源和社会保障局 0314-2050193
张家口市人力资源和社会保障局 0313-2011590、2015808
秦皇岛市人力资源和社会保障局 0335-3566130
唐山市人力资源和社会保障局 0315-2806046
廊坊市人力资源和社会保障局 0316-2152296
保定市人力资源和社会保障局 0312-5036773
沧州市人力资源和社会保障局 0317-3206532
衡水市人力资源和社会保障局 0318-2215369
邢台市人力资源和社会保障局 0319-3288376
邯郸市人力资源和社会保障局 0310-3011087
定州市人力资源和社会保障局 0312-2589879
辛集市人力资源和社会保障局 0311-83283404
雄安新区*党**工委管委会*党**群工作部 0312-5620605
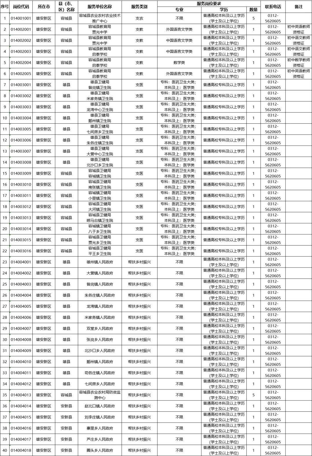
附件:河北省2023年高校毕业生“三支一扶”计划招募岗位信息表
河北省人力资源和社会保障厅
2023年7月5日
河北省2023年高校毕业生“三支一扶”计划招募岗位信息表(雄安新区部分)


来源:河北人社厅网站