
当下,在消费升级的大环境里,人们对消费观念也在逐步升级。人们对于服装鞋子的购买需求已经从功能消费向符号消费靠拢,在符号消费的阶段,潮牌随之进入了人们的视野里并迅速火爆了起来。
说到潮牌,第一个要提到的就是安逸猿 (Bape) ,安逸猿 (Bape) 作为日本原宿的龙头品牌,现在得算是日本的潮牌之首。
真的是树大招风,难免引起有些不良企业眼红,就在最近,安逸猿 (Bape)为了扫除中国市场的“侵权品牌”,开始了维权之路。在Baby Milo Store的官方微博,以I.T集团的名义发布“I.T集团关于旗下品牌维权结果声明”。

声明中称:近年市场上出现“Ape Tees”或“安逸猿”品牌的产品,其设计或衍生设计与I.T集团旗下品牌BABY MILO具有极高的相似性,引起消费者混淆,严重损害了BABY MILO长期努力树立的品牌形象。
BABY MILO的相关设计,著作权归株式会社一无所有拥有。株式会社一无所有对“安逸猿(Ape Tees)”提起著作权侵权诉讼,取得实质性进展:辽宁省高级人民法院二审(终审)判决“安逸猿(Ape Tees)”构成恶意侵犯著作权行为及不正当竞争,须停止侵权行为并赔偿经济损失。

侵权品牌仍在售卖,销量居高不下
安逸猿(Ape Tees)品牌的运用公司中山市安逸猿服饰有限公司成立于2011年,旗下产品安逸猿(Ape Tees)商品标识和日本潮牌安逸猿 (Bape)BABY MILO品牌标识相似度极高。
在调查中发现,中山市安逸猿服饰有限公司注册了40多个商标信息,但在这些商标中唯独没有安逸猿(Ape Tees)这一品牌的商标标识,但带有安逸猿(Ape Tees)商标“猴子”的产品却频频出现在各大商场及线下门店最显眼的位置。


甚至在咨询商场卖家时,询问店内工作人员该品牌是否为I.T旗下 潮牌,工作人员直言不讳的回答说“是”。但是产品的生产地写的是“广州xx”字样,且生产商和制造商均在广州,并且这样的线下实体店还有很多。
安逸猿(Ape Tees)的这一侵权行为严重的影响了安逸猿 (Bape) Baby Milo的品牌形象,甚至误导很多热爱该品牌的粉丝,粉丝在误认或混淆品牌的情况下购买了该产品,售后如若出现质量等售后问题,都将是安逸猿(Ape Tees)侵权产品对安逸猿(Bape) Baby Milo品牌的诋毁。遇到这样的情况,安逸猿 (Bape) Baby Milo品牌也正在通过法律途径向侵权品牌提出诉讼进行自身的维权。

进行品牌维护,商标权是重中之重
安逸猿 (Bape) Baby Milo在进行维权的过程中,通过律师分析得知,此案件并不能从简单的商标侵权纠纷案件去处理。那么为何安逸猿 (Bape)Baby Milo不能通过商标来维权呢?
原来在商标局上查询安逸猿 (Bape)Baby Milo的主体公司以及侵权方的公司时,发现安逸猿 (Bape)Baby Milo最著名的猴子造型还没注册,反而是其他各类申请人注册了这一商标造型,这就是安逸猿 (Bape)Baby Milo不通过商标权这一捷径而选择更为复杂的著作权侵权来维护其自身品牌的原因。
由安逸猿 (Bape)Baby Milo对其“猴子”商标并未及时注册,被他人捷足先登这一事件告知我们,注册商标一定要趁早,商标定要先注册后使用,因为未注册商标就不享有专有权,他人也可使用该商标。

像安逸猿 (Bape)Baby Milo这样,自身品牌到达一定的知名度后,就非常容易被他人假冒或抢注,一旦被他人抢注后,企业就会陷入被动,还将可能失去很大的消费市场。
注册商标实用干货
上述类似的侵权案例数不胜数,小麦希望商标注册能得到广大企业和创业者的熟知,避免在企业发展的道路上走弯路。
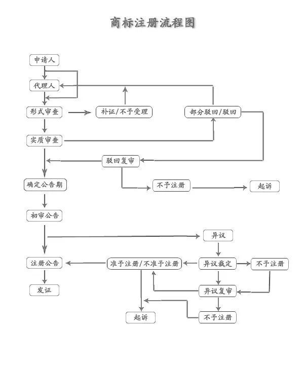
随着现在商标注册的条件也越来越严格,小麦在这里给大家整理了关于“商标注册”的相关流程,需要的朋友记得关注收藏。
01.选择商标注册渠道
商标注册有以下4个渠道,大家可任选其一进行商标注册办理。1、前往国家工商总局商标局业务办事处进行注册办理;(各大城市均有相关机构)2、到自身所属地设立的国家工商总局商标受理窗口进行注册办理;3、网上申请;(登录国家工商行政管理总局商标局 中国商标网)4、委托依法设立的商标代理机构注册办理;(可在国家工商总局商标局网站查询代理机构名单)
02 . 商标查询
商标注册并非100%的成功率,想要提高商标注册成功率,就需要提前将注册的商标进行全面的查询,把相关可能存在的问题都解决完毕,解决一切后顾之忧。
商标查询主要有二种方式,即自行前往中国商标网进行商标查询和在线免费咨询麦汇网的商标顾问。
03.准备商标注册材料
因商标注册材料会根据申请人的身份不同从而商标注册材料也会不同,相关注册材料可参考商标注册材料清单进行材料准备。
04.商标注册提交并缴纳费用
因我国的商标注册申请标准是申请在先原则,因此建议尽快进行商标注册并缴费,避免出现抢注事件。

商标一旦注册成功,就不仅仅是商业标识,还有法律意义,更具有丰富的商业价值。
因此,企业在拓展业务时,关于商标一定要先注册后使用,且鉴于商标注册历时较长,最好提前进行准备,或是官方进行商标购买,及时做好商标战略布局,为自己的企业品牌发展穿上保护衣,即使遭遇侵权也可主动出击去维护自身合法权益。