为了让UPS在市电中断时真正发挥保护作用,一方面要求UPS具有良好的切换功能和切换时间,同时UPS配置的电池必须具有良好的充电状态,否则很难达到预期效果。
因此,在UPS电池每次放电后和日常使用过程中,必须注意确保UPS中的电池具有良好的充电状态,这需要UPS设计者和用户考虑电池的充电。常用的 锂电池充电电路包括恒压充电和先恒流后恒压充电。
恒压充电电路
为了简化电路并降低成本,备用UPS通常使用由降压变压器、整流桥模块、集成稳压器芯片、电阻器、电位计和电容器组成的恒压充电电路。电路如图6-14所示。

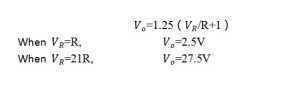
市电通过变压器B后,变成27V的交流电压,通过整流器模块转换为脉动直流电压,然后通过滤波电容器C转换为33V的平滑直流电压。这个直流电压通过集成电压调节器芯片转换为稳定可调的直流电压。集成芯片的输出电压V0为:

如果备用UPS采用12V和6Ah两个密封电池,电池的最终放电电压为21V,充电电压为27.5V。如果充电电压选择过高,充电初期的充电电流会过大,容易损坏电池;如果充电电压选择得太低,则在充电的后期充电电流会太小,从而导致充电不足。因此,最终充电电压选择为26~27V。此时,充电的初始阶段充电电流不应超过0.2C,充电后期的充电电流接近0.05C。
先恒流后恒压充电电路
先恒流后恒压充电也称为分级充电。这种电路有多种形式,本节选择其中一种电路进行讨论。电路框图如图6-15所示。

图片中的整流器用作逆变器和充电器的共享直流电源。整流器不仅为逆变器提供稳定的电压和平滑的电流,还通过充电器为电池提供可变的电流和电压。当市电正常时,电池两端的电压VB小于整流器输出端的电压VA,隔离二极管VD被切断。当市电中断时,整流器的输出电压VA为零,隔离二极管VD-导通,蓄电池为逆变器提供工作电压。
分级充电电路如图6-16所示。主要由主电路、脉宽调制器、电流调制电路、电压调制电路和保护电路组成。

主电路
在图6-16中,主充电回路由整流桥VD1~VD6、隔离二极管VD7、VD8、开关管VT1、电流采样电阻器R1、电流传感器CS、电感器L、续流二极管VD9、VD10组成。简化电路如图6-17(a)所示。在图中,Vd表示三相整流桥的输出电压,E表示电池两端的电压,Vd表示续流二极管,VT表示开关管。施加到开关管栅极的信号如图6-17(b)所示。

工作过程如下:在t0~t1期间,开关管VT的栅极加上脉冲,VT饱和导通,V T=0,限流电感器L的电压为:

i随时间线性增加,其波形如图6-17(c)所示。它为电池充电,并将电能转换为化学能进行储存;同时,它将电能转换为磁能,并将其存储在限流电感器中。
在t1至t2期间,VT的栅极没有脉冲,VT截止,通过限流电感的电流呈线性下降,两端产生极性为左“+”右“-”的反电势。由于eL>E,连续二极管VD导通,VD≈0,限流电感中的磁能转换为电能,为电池充电。
之后,以T1为周期重复上述过程,输出波形如图6-17(d)所示。
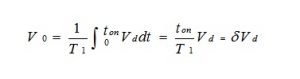
从上面可以看出,主电路的功能是将稳定的直流电压Vd转换为脉冲电压,将平滑的电流转换为变化的电流。通过电池的平均电流不能超过电池额定容量的1/10。
主电路的输出电压V0的平均值为:

从上面的公式可以看出,改变占空比δ可以改变输出电压,这也会改变充电电流。
脉宽调制器
在图6-16中,脉宽调制器由比较器U1组成。其非反相端子连接到调制信号,反相端子连接至角波信号。简化电路如图6-18(a)所示。

单极三角波,是一个直流信号,其工作过程为:当>时,比较器的输出为高;当<时,比较器的输出为低。比较器的输出信号V0的波形如图6-18(c)所示。从图中可以看出:脉冲增加,脉冲变宽;则脉冲变窄。
三角波发生器
在图6-16中,三角波发生器由方波发生器、分频器、跟随器和积分器组成。它的功能是产生一个频率为20kHz的三角波。工作过程如下。
假设比较器U5,非反相端子为VTH(+),输出端子为高电位。该电位通过R7被充电到C1,并且VC1逐渐上升。当VC1>VTH+时,比较器的输出端从高电位变为低电位。端子从VTH(+)跳到VTH(-),因此C1通过R7放电,VC1逐渐下降。当VC1<VTH(-)时,电路再次跳变。重复该循环,并且在比较器的输出处获得方波。波形如图6-19(8)所示。方波的频率为:

方波通过反相器U6被加到分频器的输入端。分频器由一个D触发器U7组成。D触发器的D端与两个分频器相连;CP端子连接到反相器U6的输出端子;输出端子Q通过R8和C2连接到跟随器的非反相端子。U7的功能是将40kHz的方波转换为20kHz的方波。
图中R8、C2和R9的作用是隔离20kHz方波中的直流分量,使单极方波变成双极方波。U8使用单个电源,7.5V电源用作偏置电压,以施加到U8到R9的非反相端。
跟随器由运算放大器U8组成,其任务是将分频器与积分器分离。
积分器由R10、C3和U9组成。构成当20kHz方波处于正最大值时,它将通过R10对C3充电并根据线性定律增加,U9输出端电位将根据线性定律降低;当20kHz方波处于最小值时,C3根据线性定律通过R10和VC3放电减小,U9输出端电位根据线性定律上升。波形如图6-19(c)所示。从图中可以看出,三角波是从U9的输出中获得的。
闭环电流调节系统
在阶段充电的早期阶段,使用恒流充电,因此需要闭环电流调节系统。在图6-16中,闭环电流调节系统由主回路、电流检测电路、电流误差放大电路、脉宽调制器和驱动电路组成。
•电流检测电路。
电流检测电路由运算放大器U10和U11、电阻器R11~R17、电位计VR1和电容器C4组成,U10和R11~R14构成差分放大器。i是充电电流I0通过电流传感器CS之后的对应电压,即i=KI0。U10使用单个电源,7.5V电源用作偏置电压,以施加到U10到R13的非反相端。由于R11=R12=R13=R14,差分放大器的输出电压υ10为:

从上面可以看出,差分放大器只起到隔离的作用。在图中,U11、R15~R17、VR1和C4构成一个反相放大器。7.5V是U11的偏置电压;从VR1获得的电压用于抑制U11的偏移;C4可以抑制U11的高频振荡。反相放大器的输出电压为:
