大家好!本文和大家分享一道2004年高考数学全国2卷的真题。这道题考查的是抛物线的简单几何性质、直线与抛物线的位置关系、向量的数量积以及平行向量等知识。这道题的难度不算很大,但是还是有不少同学不会做,下面和大家详细讲解本题的解法。

先看第一小问:求向量的夹角。
在直角坐标系中求向量的夹角,可以用坐标形式求解。即先表示出两个向量的坐标,再代入公式进行计算。
设A(x1,y1)、B(x2,y2),这样就可以表示出两个向量的坐标了,接下来就需要找到x1、y1、x2、y2之间的数量关系了。

由y^2=4x可知,抛物线的焦点坐标为F(1,0),而直线l的斜率为1,所以可以得到直线l的方程为:y=x-1,则y1=x1-1,y2=x2-1。联立直线和抛物线方程,消去y,整理得到x^2-6x+1=0,所以由韦达定理可得:x1+x2=6,x1x2=1。接着用向量的数量积公式求出两向量夹角的余弦值,再用反三角函数求出两向量的夹角即可。

下面再分享一下本题的另外一种解法:用直线的倾斜角求解。
不妨设点A(x1,y1)在第一象限,点B(x2,y2)在第二象限,直线OA的倾斜角为α,斜率为k1,直线OB的倾斜角为β,斜率为k2,那么两向量的夹角∠AOB=π-β+α。接下来利用直线OA、OB的斜率求出∠AOB的正切值,再用反三角函数求出∠AOB的值。
即tsn∠AOB=tan(π-β+α)=tan(α-β)=(tanα-tanβ)/(1+tanαtanβ)=(k1-k2)/(1+k1k2)。由O、A的坐标可知k1=y1/x1,同理k2=y2/x2,代入后整理就可以得到关于x1、x2的式子。然后再联立直线和抛物线方程消去y,得到一个关于x的一二二次方程,再用韦达定理求解。

最后看第二小问:求直线截距的范围。
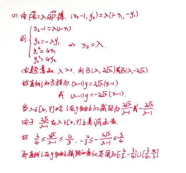
由FB向量与AF向量的关系可以得到x1与x2、y1与y2之间的关系,由于点A、B都在抛物线上,那么将其坐标代入抛物线方程,综合上面的关系就可以得到x2=λ,从而得到点B的坐标为(λ,2√λ)或(λ,-2√λ),所以由点B和点F可以得到直线l的方程为(λ-1)y=2√λ(x-1)或(λ-1)y=-2√λ(x-1)。所以直线l的截距为2√λ/(λ-1)或-2√λ/(λ-1),最后再根据λ的范围就可以求出直线l截距的取值范围。

这是一道解析几何与向量和函数的综合题,但是难度并不算太大,关键是要保持头脑清醒。这道题就和大家分享到这里了。