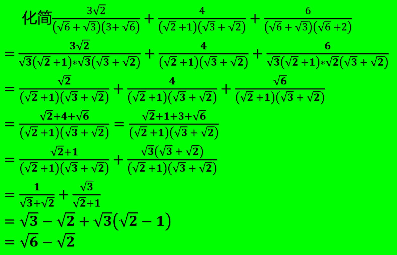
题一、 化简3√2/((√6+√3)(3+√6))+4/((√2+1)(√3+√2))+6/((√6+√3)(√6+2))

分析题目 分析题目,三个分式无理数化简,不存在双虫根式,那相对来说,就简单很多了,比较*力暴**的解法当然是直接三个分式分别分母有理化处理,然后再合并同类二次根式,思路可行,只是计算量稍大,而且容易出错,本课给出先凑公分母通分的方式,化简后,再进行分母有理化,高效且不容易出错,
据此分析,我们先将三个分式的分母,能提取公因子根式的都提取出来,写成最简二次根式乘积形式,即得到,原式= 3√2/(√3(√2+1)∗√3(√3+√2))+4/((√2+1)(√3+√2))+6/(√3(√2+1)∗√2(√3+√2))
此时,三个分式与自己的分子约分后得到,原式=√2/((√2+1)(√3+√2))+4/((√2+1)(√3+√2))+√6/((√2+1)(√3+√2))
突然发现三个分式的分母都变成一样的了,这就好办了,同分母相加,分子相加即可,即得到,原式=(√2+4+√6)/((√2+1)(√3+√2))
此时我们反向操作,拆分分子的整数4为1+3,这样刚好分子凑出了分母的两个因子,即得到,原式=(√2+1+3+√6)/((√2+1)(√3+√2))
则直接拆分分子后得到,原式=(√2+1)/((√2+1)(√3+√2))+√3(√3+√2)/((√2+1)(√3+√2))
可以看出,第一个分式,分子分母可以约掉根号二+1,第二个分式的分子分母可以约掉根号3+根号二,即得到,原式=1/(√3+√2)+√3/(√2+1)
此时两个分式都比较简单,分别分母有理化后得到,原式=√3−√2+√3(√2−1)
展开括号后整理得到原式=√6−√2
参考答案

#把地球的故事讲给宇宙#