导 读
量子霍尔态是在二维运动的电子在极低温强磁场下所形成的一种非常特殊的物质态。在这一状态中,所有电子都相互锁住,只能遵循一个固定的模式跳集体舞(这一固定模式的集体舞就是所谓的拓扑序)。因为运动模式被锁住固定,所以量子霍尔态没有内部自由度。但二维量子霍尔态的一维边缘可以有运动的自由度,它就像水面上起伏运动的波。二维量子霍尔态的一维边缘波非常特殊:它只能沿着边界向一个方向跑。这一性质被称为手性(也叫手征)。最简单的量子霍尔态,其边界只有一支手性波(即一种波动模式),由一个玻色场描述。比较复杂的量子霍尔态,会有好几支手性波,由几个玻色场描述。
1991年我和Moore-Read用两种完全不同的方法独立发现了一种新的量子霍尔态(我的文章还早发表几个月),其边界只有半支手性波,由一个马约拉纳费米场描述。也就是说这半支手性波对应于一维手性马约拉纳费米子。我们当时还发现,在边界上的手性马约拉纳费米子意味着,在这种量子霍尔态的二维体中会出现一种全新的粒子,它带有非阿贝尔统计。也就是说这种新粒子,它既不是玻色子,也不是费米子,甚至不是带分数统计的任意子。它是一种更新更奇怪的粒子。这种非阿贝尔粒子有不受环境干扰的内部自由度,可用来存储量子信息,而不会由干扰引起信息丢失。因此我们可以用这种非阿贝尔粒子来制造拓扑量子计算机。由于它的重要性,目前有一些凝聚态物理学家在疯狂的搜寻这一新的非阿贝尔粒子。Moore和Read两人还因此项工作获得了2015年狄拉克奖。
1999年,Read和Green发现在二维p波超导体中,也会有非阿贝尔粒子,同时其边界也有伴生的一维手性马约拉纳费米子。到2015年,张首晟小组指出在最简单的整数量子霍尔态上覆盖超导薄膜,可以作为一种实际有效的办法来实现二维p波超导体,及其边界上的一维手性马约拉纳费米子(后来一维手性马约拉纳费米子和三维非手性马约拉纳费米子,这两种很不相同的粒子又被称为天使粒子。三维非手性马约拉纳费米子被物理学家苦苦搜寻了80年。而一维手性马约拉纳费米子的物理实现是1991年才提出来的,到现在只有28年)。这篇文章所讨论的工作,就是试图用整数量子霍尔态覆盖超导薄膜这一方法,来实现一维手性马约拉纳费米子。但对实验观测到的现象可有多种解释。一种解释是通过一维手性马约拉纳费米子,另外一种解释是通过平庸的短路机制。这篇文章讨论了这些观点的细节,用来评估目前的实验观测是不是真的意味着发现了一维手性马约拉纳费米子。
——文小刚
撰文 | 戴希(香港科技大学物理学系讲座教授)
几周前,王康隆组在Arxiv上贴了一篇文章,介绍了他们组重复实验的最新进展。此后,有不少业内的同行发信来问我的意见,即王组的最新实验到底算不算是已经重复了之前他们在Science上文章的结果?(He et al., Science 357, 294–299 (2017),下面也简称“何文”)一一回答太麻烦,所以我就索性写了这篇文章,也借此机会向大家介绍一下量子反常霍尔效应体系的一些相关知识。
0
磁学预备知识
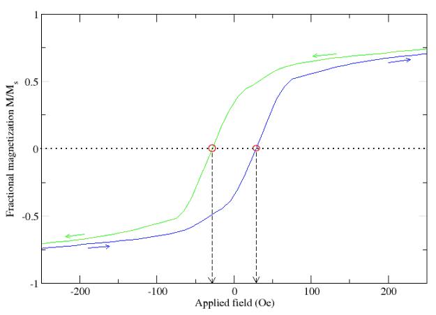
此前王康隆组在Science上发表的证明手性马约拉纳费米子存在的关键性实验,是连续改变磁场下的两端电导σ^12测量。由于量子反常霍尔效应是一个铁磁体系,随着磁畴的出现和消失,在扫场测量的过程中,会出现大家都熟悉的磁滞回线,如图0所示。在高磁场下,磁化强度趋于饱和,意味着铁磁体系中基本只有一种方向(平行于外磁场)的磁畴,随着外场强度的下降,铁磁体系内开始出现反方向的磁畴,于是系统的总磁化开始下降。当外场变化到矫顽场(磁滞回线与横轴的交点)时,铁磁体系内的正反方向磁畴面积大致相等,对磁化的贡献互相抵消,于是体系的总磁化强度为零,然后随着磁场进一步沿反方向增大,反方向磁畴面积越来越大,直至反向饱和。所以磁滞回线的出现,在微观上是由两种磁化指向的磁畴之间的相对变化导致的,下面大家会看到,这一点对理解量子反常霍尔效应的物理非常关键。

图0: 铁磁体中典型的磁滞回线。
1
两种不同的量子反常霍尔效应转变曲线
在讨论手性马约拉纳费米子的实验之前,有必要先介绍一下作为基础的量子反常霍尔效应(QAHE, Quantum anomalous Hall effect)。当然,理论上QAHE体系就是陈数非零的二维能带绝缘体,所以霍尔电导是量子化的平台。然而在实际的QAHE材料体系中,由于QAHE是伴随着铁磁态出现的,在扫场过程中会伴随磁畴的出现,从而不可避免地带来额外的复杂性。从2013年到现在各实验组的QAHE实验观测,基本上可以分为两类:
第一类QAHE转变的特征是随着外磁场转向,霍尔电导的平台直接从1跳变到-1,中间不产生霍尔电导为0的平台,如图1(a)所示。这种转变过程往往发生高质量的,空间均匀性非常好的样品中,样品内的磁畴相当大,可以在一个很小的外磁场窗口内,直接从正向饱和磁化翻转到反向饱和磁化。
而第二类的QAHE转变则如图1(b)所示,随着外磁场的转向,霍尔平台先从1转变为0,然后再从0转变为-1。第二类QAHE转变的重要特点,是在转变过程中产生了一个额外的零霍尔平台。这个零霍尔平台可以有多种理论解释,但本质上都是由体系内部磁化强度的空间不均匀性导致的,几种不同机制的区别只是在于主要的不均匀性发生在z方向,还是xy面内。对于大部分样品来说,这个零霍尔平台的起源可以归结为面内的磁畴结构导致的界面态渗流相变。
下面就来简单描述一下这样一个渗流相变发生的过程,为了简单起见,在每个区域内我们假设只存在不多于两种的不同磁畴。

图1:两类不同的QAHE退磁曲线
为了方便描述,我们先把如图1(b)所示的磁滞回线分为八段,分别用罗马数字I-VIII来标记。整个渗流转变过程可以用图2中相应的八个图很好地演示,在图2中,我们用蓝、白、绿三种颜色分别代表陈数为1,0,-1的三种拓扑态。在不同的外场下,由于样品的不均匀性导致局域的磁化强度不同,从而在样品内部有可能出现以上三种不同的磁畴。

图2: 出现零电导平台时QAHE内部的渗流转变图像
(I)图中的I区对应高正向磁场,这时铁磁性的QAHE薄膜处于饱和磁化状态,体系不存在磁畴结构,其电子结构可以被近似看作一个空间均匀的陈数为1的能带绝缘体(在图2中用蓝色表示),并具有被局域在样品边界的手性边界态(在图2中用红色表示),如图2(I)所示。
(II)由于磁化强度随着外磁场下降,体系进入II区,此时体系内开始大量出现陈数为0的区域(在图2中用白色表示),在白色和蓝色区域之间,是陈数分别为1和0的不同拓扑态之间的边界,因此也会出现手性边界态。这些新出现的样品内部的手性边界态跟原先存在的整个样品跟真空之间的手性边界态并无什么不同,因此这些互相接近的边界态之间可以通过杂质散射相互耦合,从而在样品中导致了背散射,在直流输运实验上体现出来的,就是电导偏离量子平台,如图1(b)中的II段所示。同时,在这一阶段,由于陈数为零的区域也会出现在样品的边缘,导致原先被严格限制在边缘的跨越整个样品的长程边缘态与新出现的边界态产生杂化、重组,从而使得最后重组后的长程边缘态逐渐扩展到样品内部,如图2(II)中的红线所示。
(III)随着白色区域的不断增加,彼此联通,导致样品内部出现典型的渗流转变,转变之后体系内部如图2(III)所示,所有的边界态都只围绕着一些陈数为1的孤岛,而此前一直存在着的横跨整个样品的边界态则消失了,包括样品内部和边界在内的体系整体上变成了绝缘体,反映在直流输运上,就是图1(b)中III段的零电导平台。需要强调的是,从II到III的转变,既可以看成是白色(陈数=0)和蓝色(陈数=1)区域联通状态的切换,也可以等价地看成是连通整个样品的长程边界态的演化和消失的过程。在这一过程中,在连通整个样品的长程边界态消失之前,伴随着边界本身的结构从整齐划一变为支离破碎,长程边界态从严格被限制在边界附近,首先演化为逐步深入到样品内部,最后随着白色磁畴的增多而彻底消失,所有手性边界态都被限制在一个个“孤岛”周围。这一特征对下面要谈到的“手性马约拉纳边界态”的实验至关重要。好了,讲明白了从I区到III区的转变过程,大家就可以类推从III到V的过程了,这里就不累述了,参看图2(IV)到(V)。
讲到这里先总结一下,在实际材料中其实不大会出现图2(I)那样的理想情况,但只要图2(II)中出现的陈数为0的白色区域相对较少,并大多远离样品的边缘,在这种情况下样品中还是存在着横跨整个样品的整体手性边界态,并且基本不存在背散射,在直流输运上还能维持e^2/h的量子电导。因此,e^2/h的量子电导平台可以看作是样品内部“拓扑相”(蓝色)包围“平庸相”(白色)的后果;反过来,中间出现的零电导平台则是“平庸相”包围“拓扑相”的后果。需要注意的一点是,在实际材料中,在某些情况下三种不同的相会同时出现,也可能存在第四种磁畴,即金属性的磁畴,这里为了简单起见,忽略了这些可能性,而只保留了当前外场下的两种主要的相。
2
手性马约拉纳费米子的理论预言
在评论UCLA的实验数据之前,我还想先简单介绍一下Stanford张首晟组之前的理论预言。对熟悉量子反常霍尔效应理论的同学来说,理解这一理论工作是相当容易的。在我们当初提出磁性拓扑绝缘体QAHE的Science文章中,有一个简单的理论模型来解释此类体系中的QAHE [参看DOI:10.1126/science.1187485,公式(2)和(3)]。在那篇工作中,我们指出,磁性拓扑绝缘体薄膜的低能模型,可以由两个通过隧道效应耦合在一起的、分处上下两个表面的二维狄拉克电子态来描写。当这一体系进入铁磁态之后,上述电子态还将感受到一个磁化带来的Zeeman耦合项。对于二维狄拉克电子态来说,上下表面之间的隧道效应Δ t 和Zeeman耦合Δ z是打开能隙的两种不同方式,当Δ t>>Δ z和Δ z>>Δ t时,体系分属陈数为0(平庸)和1(拓扑)的态,而当Δ t与Δ z差不多可比时,则发生陈数从0到1的转变。
当QAHE体系之上被覆盖了一层超导薄膜以后,通过超导膜的邻近效应,QAHE中的二维狄拉克电子态又有了第三种打开能隙的机制,即通过超导配对势Δ p来打开超导能隙。于是,三种不同的能隙打开方式导致了三种不同的拓扑态,在张首晟组的文章中(参见https://doi.org/10.1103/PhysRevB.92.064520,为了介绍方便,在下面的行文中,把此文称为SC1),用马约拉纳费米子的陈数N=0,1,2来分别刻画这三种不同的拓扑态,分别对应Δ t、Δ p和Δ z占主导的情况。其中,N=0和N=2的态等价于原先用普通费米子陈数刻画的C=0和C=1的态,而N=1的态则是新出现的拓扑超导态,在它与其他物态形成的边界上会出现手性马约拉纳费米子。(请注意,SC1中上述三个能量尺度分别叫做m0,λ和Δ)。
在SC1中,只考虑了比较简单的clean limit的情况,没有考虑到无序和形成不同磁畴等等空间不均匀问题。在这种理想的状况下,退磁过程可以被假设为磁化强度M和Zeeman耦合Δ z的连续减小乃至翻转变号过程,于是在给定的Δ t和Δ p下,体系将经历一个从N=2态,到N=1,最后到达N=0的态。上面已经介绍过,N=2和0的两个态,就是原先的C=1和0的霍尔电导平台,而N=1的态则正好处于从N=2转变到N=0的过程中,于是,只要这一转变是连续的,则必然要经过N=1的态,这是SC1这篇文章的一个重要结论。
实验上,这一新态的出现可以在两端法测到的纵向电导中体现出来。在低温弹道输运的条件下,纵向电导即是电导量子e^2/h乘以两端电极之间的导通“channel”个数,对于N=2(C=1)的态,两对手性马约拉纳费米子(相当于一对普通手性费米子)边界态将贡献一整个电导量子e^2/h,而在N=1的拓扑超导态中,在边界处只有一对手性马约拉纳费米子,相当于“半”对普通手性费米子态,它将只贡献半个电导量子e^2/h。于是,如果我们考虑体系的纵向电导在退磁过程中的变化,则可以得到如图3所示的曲线,这是SC1这篇文章的另一个重要结论。

图3:SC1文章中理论预言的出现手性马约拉纳费米子以后的纵向电导退磁曲线
到这里,我们再总结一下,理论文章SC1最早提出了利用超导薄膜和QAHE形成异质结以产生N=1的手性拓扑超导态,在退磁过程中,伴随着磁化强度M的翻转,这一拓扑超导态将出现在退磁曲线的中部,其具体体现之一,即是纵向电导出现1/2平台。然而,与理论情况不同的是,实验上采用的样品,实际上都存在着较大的零电导平台,也就是说样品中的不均匀性是比较大的,磁畴结构的变化对样品输运性质起到的作用不可忽略。
于是,2017年张首晟组又发表了另一篇理论工作,对存在复杂磁畴结构的退磁过程,进行了仔细的理论研究 [参见SC2,Phys. Rev. B 97, 125408 (2018)]。SC2的主要结论其实非常好理解,让我们来考察QAHE退磁曲线的I段到III段的转变,当QAHE薄膜之上加盖了超导膜之后,由于超导临近效应的影响,使得本来的C=1到C=0的一步完成的转变,变成了先从N=2态到N=1态,再从N=1态到N=0态的分两步完成的转变,而此前图2(II)所示的两种磁畴的渗流过程,变成了如图4所示的N=2,1,0三种磁畴的渗流转变。刚才说过了,原先QAHE I段到III段的渗流转变,可以看成是连通整个样品的长程手性边界态的消失过程。那么相应的三种磁畴的渗流转变就会出现两个转变,分别对应N=2,1之间和N=1,0之间的两种手性马约拉纳边界态的导通过程。对纵向电导来说,每个马约拉纳边界态贡献半个量子电导,因此当两种马约拉纳边界态都处于导通状态时,体系处于纵向量子电导为1的平台,而当只有一种马约拉纳边界态都处于导通状态,另一种不导通时,体系则处于纵向量子电导为1/2的平台。由于在这种情况下原先一步完成的转变分成了两步,一般来说总是会存在中间态,即只有一种马约拉纳边界态导通的状态的,只不过这个半整数平台到底会有多宽,是由样品的具体情况来决定。

图4:SC2文章里预言的手性马约拉纳费米子模的渗流转变
理论文章SC2针对存在着较大不均匀性和无序的实际样品,仔细分析了其中的“三色”渗流转变,提出在这种非理想情况下,原先的一次渗流转变变为两次转变,在两次转变之间的中间区域即是半整数量子电导平台。应该说SC2中的理论分析是相当令人信服的,但我们也不该忽视这两篇文章成立的一个重要理论前提,即超导膜对QAHE薄膜所起的作用,仅仅在于提供一个超导配对作用势,没有其他。在实际样品中,要实现这一点是非常不容易的,这也是我下面要仔细向大家介绍的。
3
不完美的实验样品和不同原因导致的半整数平台
在上一节中已经提到,在QAHE+超导的混合系统中关于出现手性马约拉纳费米子的理论预言,是基于这样一个假设,即超导膜的作用仅仅在于提供一个超导配对作用势。而在实际材料体系中,在QAHE上面覆盖一层金属膜,可能会产生许多其他效应,有趣的是,这些其他效应,也同样会导致在输运实验中出现半整数平台,跟手性马约拉纳费米子没有一点关系的半整数平台,而这一点正是“天使粒子”实验论文的关键所在,即仅仅看到半整数平台是远远不够的,还要进一步证明这个半整数平台是由手性马约拉纳费米子引起的。
下面,我就来讲讲QAHE上面覆盖金属膜可能导致的其他效应,其实都可以归结为一点,即金属膜和QAHE接触后将导致额外的非均匀性。这里主要考虑的一个因素是铁磁和超导相互竞争的问题,在SC1和SC2中,都只考虑了完美的超导膜对铁磁的超导临近效应,而没有考虑铁磁对超导的抑制作用。如果考虑到这一点,再加上在异质结的界面层中总是很难避免出现大量结构缺陷,那么我们可以得到以下推测。即由于铁磁对超导的抑制和界面结构中的缺陷和不均匀性,导致在QAHE和超导膜之间的界面层中出现不超导但导电的金属畴,如图5所示。如果这些金属畴彼此连通,即导致图5中上下两个手性费米子边缘态之间的短路,如图5所示。短路之后,覆盖的超导膜就等价于加入了一个中间电极,整个电路相当于是两个彼此串联的QAHE体系,由于每个QAHE体系中的一对手性费米子边界态贡献一个量子单位的纵向电导,两个QAHE体系串联后总电导减半,即是1/2 e^2/h。Penn State常翠祖小组的实验结果,就可以用这种简单的短路来解释,在常组的实验曲线中,可以看到除了在磁矩转变区以外,其他区域纵向电导都是半整数平台,据笔者所知还有其他一些从事这方面研究的著名研究组也得到了与常组类似的结果。

图5:(示意图)当超导膜与QAHE界面层出现连通两个边界的非超导金属区
而王康隆组在Science上发表的数据,则跟上面提到的常组数据很不一样,至少从表面上看,这组数据跟SC1和SC2理论文章中预言的曲线非常相似。唯一的不同是,在王组的Science数据中,缺乏严格的零电导平台,这一点也许跟温度还不够低有关,除此之外e^2/h和1/2 e^2/h的平台都比较明显。大家可以自行对比何文的Fig.2跟SC1文中的Fig.3。然而,即使是百分之百地实现SC1文章中预言的退磁电导曲线,也不能确认就是手性马约拉纳边界态的贡献,原因很简单,就是还存在着跟马约拉纳完全无关的其他种种可能性。
本人在这里提供一种平庸的解释,以开拓一下大家的思路。假设出于超导膜生长过程中的某种原因,超导膜跟QAHE体系只在样品内部是很好的欧姆接触,并且由于样品中存在的大量缺陷,在样品内部超导膜跟QAHE体系的界面层中出现不超导的金属畴,如图6所示,图中的红色方框即是超导膜,而中间的蓝色区域则代表不超导的界面金属畴。而在样品的边缘,出于某种原因,并未形成欧姆接触,因此在样品的边缘,QAHE的手性边界态和超导膜之间是高阻隔离的状态。这样,只要QAHE的手性边界态是乖乖地严格沿着样品边缘走的,那么它就是安全的,不会因碰到样品内部的金属区而导致短路,这时体系的纵向电导就应该是e^2/h。在退磁曲线的高场区,就是这种情况。而第一节里介绍过,在退磁曲线的低场转变区,由于出现磁畴结构,QAHE体系的手性边界态不再严格沿着样品边缘,而是一定程度上向体内扩展,如图2(II)所示。当手性边界态扩展到一定程度,就会在镀膜区域碰到样品内部界面中存在着的金属区,从而形成短路。由于这种短路只发生在镀膜区域,此后整个体系就可以看作是两个串联的QAHE,从而得到1/2电导平台。知乎上有位名叫“大漠孤烟直”的小兄弟,觉得这种受磁场调控的短路机制很魔幻,其实并不魔幻,不过是QAHE的手性边缘态在退磁过程中向样品内部发展,从而导致短路。事实上,QAHE中手性边缘态的这种从边缘向样品内部扩展的变化,已经有直接观察到的实验证据,详见Stanford大学Ζ.Χ. Shen小组的相关工作。

图6:(示意图)当超导膜与QAHE界面层内部出现非超导金属区
最后也要指出一点,即使在SC1与SC2的理论假设都满足的条件下,即在QAHE和超导膜之间只存在超导配对耦合的情况下,也还存在着由Andreev反射过程引起的机制,在渗流转变点附近引起1/2量子电导平台。这一机制,本质上是由于渗流路径长度在转变点附近发散引起的,也不需要出现手性马约拉纳费米子。在何文发表以后,好几个研究组都发表论文讨论了这个机制,如MIT的文小刚组 [PRL 120, 107002 (2018)],马里兰大学的Jay D. Sau小组 [PRB 97, 100501 (2018)] 和香港科大的Vic Law组 [PRB96, 041118(R) (2017)] 等。
请大家自己仔细想一想,不难得出结论,即在本人假设的情况下,也可以得出跟SC1理论文章中完全一样的退磁电导曲线,而其中不但没有涉及到任何手性马约拉纳费米子,而且跟界面层以外的“超导膜”是否真的超导也完全没有关系。所以,看到这里,我希望大家能明白,单单在退磁电导曲线中测到半整数平台是不能说明任何问题的,因为解释不唯一,我这里提供的只是其中一种平庸解释。要证明这个半整数平台真的是由手性马约拉纳费米子导致的,才是关键。据笔者了解到的第一手信息,当年的某位审稿人也提到了这种平庸的可能性,要求作者提供更进一步的实验证据,以排除这种平庸的短路机制。
在何文中,最后又提供了另一个实验证据,即把磁场加大到超导膜的上临界场之上,导致超导膜彻底失去超导电性后,他们发现体系的纵向电阻又回到了半整数平台,参看何文Fig.4(A)。按我看来,这是全文最关键的一个实验证据,证明了用强磁场破坏超导以后,才真正造成了系统的短路,那么此前在弱场区域的半整数平台就很可能不是由于短路,而是别的机制,比如SC1和SC2文中提出的手性马约拉纳费米子机制。虽然说高场下半整数平台的实验并不能排除掉所有其他可能的非马约拉纳机制,比如前面提到的小刚老师和Jay Sau老师提出的渗流加Andreev反射的机制,但是它的确能排除掉一些平庸的机制,例如笔者在前文中提出的那个机制,也可以在一定程度上被这个高场实验所排除。而在何文的审稿过程中,也正是这个实验最终说服了审稿人,从而使得该文得以被Science接受。
4
何文数据的可重复性问题和王康隆小组的新数据
有了前文的知识储备,我们现在可以来讨论一下王康隆组的新数据了。2017年夏,何文发表以后,迅速引起了许多同行的关注。王组的实验如果最后证实真的是由手性马约拉纳费米子引起的,那么该实验的确是向拓扑量子计算迈出了重要的第一步,其后还有许多后续工作可以在此基础上推进。而要在这方面开展工作的第一步,当然就是重复王组此前的实验结果。然而,差不多两年过去了,几个想重复这一实验的组都失败了。于是,大家希望至少王康隆组自己能重复。这些我就不在这里展开了。
在我看来,发表在Science上的何文结果应该是可以基本排除掉两个边缘短路的平庸机制的,它的关键在于以下三点:
(1)1/2量子电导平台是体系内出现渗流转变,电导发生从1到0,或者从0到1的量子跳跃时产生的中间状态,所以它应该即出现在电导下降段,也应该出现在电导上升段,换句话说在退磁曲线的内外两侧都应该观察到1/2平台。
(2)1/2量子电导平台应该出现在1和0量子电导平台之间,也就是说体系应该有0,1/2和1三种量子电导平台,而不是只有1/2一种平台。
(3)当磁场强度大于超导膜的上临界场后,超导被破坏,这时应导致彻底的短路,体系又回到1/2量子电导的状态。
以上三个基本特征,在何文中都基本观测到了。再来看王组的新数据,对照一下大家可以看到,新数据不满足以上任何一点。对于第一点来说,新数据在退磁曲线的一侧看到一个很大的1/2平台,而在另一侧则完全没有平台。对于第二点,新数据完全没有量子数为1的电导平台,只有1/2平台。对于第三点,新数据中完全没有高场观测数据。当然,王康隆先生与他的合作者们很努力地试图重复此前的结果,精神可嘉,但革命尚未成功,老(小)王(何)仍需努力。
版权说明:欢迎个人转发,严禁任何形式的媒体未经授权转载和摘编。
特 别 提 示
1. 进入『返朴』微信公众号底部菜单“精品专栏“,可查阅不同主题系列科普文章。
2. 『返朴』提供按月检索文章功能。关注公众号,回复四位数组成的年份+月份,如“1903”,可获取2019年3月的文章索引,以此类推。
版权声明:本文由《返朴》原创,欢迎个人转发,严禁任何形式的媒体未经授权转载和摘编。
《返朴》,致力好科普。国际著名物理学家文小刚与生物学家颜宁联袂担任总编,与几十位学者组成的编委会一起,与你共同求索。关注《返朴》(微信号:fanpu2019)参与更多讨论。二次转载或合作请联系fanpu2019@outlook.com。