15.4.7 并项求和: 1 .一个数列的前n项和中,可两两结合求解,则称之为并项求和.形如

类型,可采用两项合并求解. 2 .奇偶并项求和

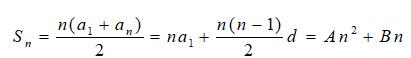
15.4.1 等差求和: 1 .等差数列的前n项和Sn

(A,B为常数)当d !=0 时,Sn是关于n的二次式且常数项为0;当d=0时(a1≠0),Sn=na1是关于n的正比例式. 2 .等差数列{an}的求和公式

与梯形面积公式

类似,可对比记忆为上底是“a1”,下底是“an”,高是“n”. 3 .若m+n=p+q(m,n,p,q∈N*),则am+an=ap+aq,常与求和

结合使用. 4 .等差数列的依次k项之和,Sk,S2k-Sk,S3k-S2k,…组成公差为k2d的等差数列。 5 .数列{an}是等差数列⇔Sn=an2+bn(a,b为常数)⇔数列为等差数列。 6 .若S奇表示奇数项的和,S偶表示偶数项的和,公差为d:


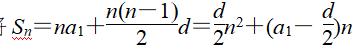
7 .求等差数列的前n项和Sn的最值:(1)将

配方,转为二次函数最值问题,由函数单调性解决;(2)邻项变号:

私信我领取全套学习资料