

文|可乐君
编辑|可乐君

激光在各个领域中都发挥着重要作用,尤其在点火和燃烧应用中具有广泛的应用前景。然而,激光系统中的关键参数对点火阈值和燃烧性能具有重要影响。
本工作旨在数学上描述和实验研究基于改变激光关键参数的激光系统的有效性, 以及它们对硝酸硼钾(BPN)灵敏度、点火阈值和燃烧性能的相关影响。

●○激光系统的关键参数○●
激光系统的关键参数可以通过表格1来定义。这些激光关键参数可以用数学方式描述。在我们的应用中,激光束被假定为高斯分布,辐照度的分布也被假定为理想的高斯分布,即关于激光束中心对称,并且随着激光束半径的增大而减小。

表1
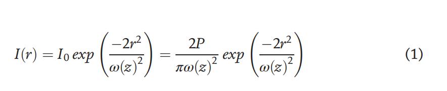
理想的高斯分布可以通过公式(1)来表达:

其中,I0是激光束中心的峰值辐照度,r是离轴线的径向距离,ω(z)是激光束辐照度为峰值辐照度I0的1/e^2时的半径,z是从波前平坦的平面传播的距离,P是激光束的总功率。
辐照度随着激光束在空间中传播而变化,因此ω(z)对z有依赖关系。光束腰是沿着激光束传播方向的位置,光束半径在该处达到最小值。
由于衍射的影响,高斯光束在光束腰(ω0)两侧等角度(θ)地收敛和发散。这是光束直径达到最小值的位置。光束腰和发散角可以表示如下:

其中,λ是激光的波长,θ是远场近似。从公式(3)可以看出,光束腰越小,发散角越大,反之亦然。

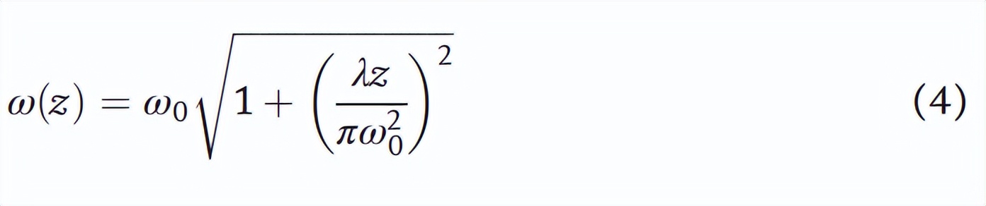
因此,可以通过增大光束直径来应用激光束扩展器来减小光束的发散度。光束腰区域内光束直径的变化可以用公式(4)来表示:

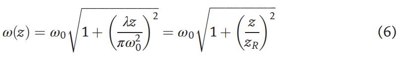
对于圆形激光束,瑞利长度是从光束腰到模式面积加倍的点的距离,光束半径增加了根号2倍。高斯光束的瑞利范围被定义为光束截面积加倍的位置的值。对于聚焦的激光束,有效的瑞利长度是确定焦深的重要量。瑞利范围(zR)可以用公式(5)表示:

因此,如公式(6)所示,ω(z)也可以与zR相关联:

考虑到激光束参数乘积的定量偏差和高斯光束的特性,远场发散度是光束腰和瑞利长度的比值。远场发散角和光束半径的乘积对于高斯光束来说是最小的,只取决于对应激光的波长。
对于单个激光,这个激光束参数乘积在激光束在任何光学系统中传播的所有位置都是恒定的。其结果是,该乘积在传播和聚焦过程中是不变的:

在比较真实的激光束与高斯光束在传播过程中时,需要引入一些变化,因为在真实情况下,这些质量较差的激光束存在 较差的光束质量 和 焦点可调性 ,或者 较高的发散度 。
真实激光束与理论最佳情况之间存在关系,即被称为光束质量/传播因子的数值M2,该数值始终大于1。根据ISO 11146标准,M2被定义为光束参数乘积(BPP)除以比值λ/π(表2)。 光束质量因子(M2,或K)可以表示如下:

激光束参数,即发散角的固体角度、波长、光束参数乘积、光束质量因子、光斑大小和激光功率是激光束亮度的主要贡献因素,用于测量亮度和相关的激光束参数。光源的亮度定义为单位面积和单位固体角度发射的功率。完全空间相干的激光束达到最大亮度。亮度可以表示为:

其中,Pout是激光功率在表面积A上的值,Ω是发散角的固体角度。固体角度与发散角θ的平方成正比,也就是说,发散角越小,亮度越高。高亮度通常由高质量因子来表征。高斯光束的发散固体角度如下所示:

其中,λ是波长,ω0是光束腰处的光束半径。对于完美的高斯单模TEM00光束条件,M2等于1。这也展示了光束腰可以聚焦到多么小的尺寸。圆形高斯激光束的传播比例如公式(11)所示:

其中,My^2和Mx^2是光束剖面的参数。最后,激光束的亮度再次可以表示为:

光斑直径通过包含功率密度来考虑,功率密度是功率和特定高斯或非高斯光束的光斑大小的组合,因为亮度是输出功率、波长、M2、光束发散度和光斑直径的函数。因此,功率密度可以表示为:

其中d是激光束直径,252是高斯光束剖面的常数。在考虑激光功率密度以确定辐亮度时,引入了考虑了完整激光束参数的公式(14),即辐亮度密度(RD),这使其适用且准确:

辐亮度(R)取代了亮度(Br);而辐亮度密度(RD)则考虑了光束直径和功率密度(PD)。
对于入射激光束,激光能量的吸收和扩散经历以下过程:被自由电子吸收,通过电子子系统传播,然后传递到晶格中。
能量的吸收和扩散还受到烟火材料的微观结构和电磁性质的影响;而热传导受热导率、密度、热容和热扩散率的影响。

首先,在打开激光信号后,温度升高,表面的热量逐渐扩散到烟火材料的深处,即表面吸收后的扩散;因此,对流只是将物质粒子带入体积中传递热量和能量;从而为该体积的内部能量密度作出贡献。
扩散解释了在表面沉积的热量,然后扩散到该体积中,而热渗透深度定义为热量扩散的距离。

另一方面,在考虑的体积边界处存在扩散,即向环境扩散并由于对流带走能量而损失能量。温度的变化以及其对时间的依赖性,因此,该体积内的能量变化与温度相关。最后,时间上温度的变化是对相应体积中所有这些输入和损失的总和。
接下来,吸收强度可以放入边界条件,在吸收材料表面的点z = 0处,吸收强度可以被视为能量通量的源。
边界条件:

其中,AI为被吸收的激光强度,λT为导热系数。
如图所示,表征焦距的工作距离随着反向放大倍率的增加呈指数增长,也就是说,反向放大倍率越大,焦距越长,而能量和功率密度保持不变,如图4所证明。

图4
由于反向放大倍率的变化,AC254-60-B-ML的激光束腰在工作距离上的变化如图3所示。为了更简单、更好地说明问题,考虑了四种情况,即iMP1、iMP2、iMP3和iMP4。
可以注意到,激光束的变化不仅仅是工作距离的变化,而且在不同位置处的光束腰最小值也是不同的。

图3
首先,在iMP1处,光束腰达到最小值,然后在iMP2和iMP3之间增大,最后在iMP4处再次减小,但仍然比最初的光束腰大。将与iMP1、iMP2、iMP3和iMP4相对应的光束腰分别表示为ω0(iMP1)、ω0(iMP2)、ω0(iMP3)和ω0(iMP4),
在测量和报告的数据中,将它们从小到大排列得到以下顺序: ω0(iMP1) < ω0(iMP4) < ω0(iMP2) < ω0(iMP3)。

我们认为这主要是因为聚焦斑点的尺寸受到衍射和球面像差的影响,这些因素与光束扩展器的内部透镜和光学元件有关,当斑点尺寸在光束扩展器的反向放大倍率的控制下增大或减小时,会受到这些因素的影响。
另一个原因与所选光束扩展器BE-02-05-B的机制有关,它是一种旋转对焦机制。与滑动对焦机制相反,这种机制有点类似于旋转对焦管,在平移过程中旋转光学元件,这在某些情况下可能导致光束在旋转过程中偏移。

尽管如此,与滑动式对焦机制相比,这种光束扩展器由于其简化的机制仍然具有成本效益。除了光束腰的变化,发散角的变化也是显而易见的。这些变化会影响激光与烟火材料的相互作用。
从台式示波器记录的结果和数据可以看出,图7中记录的第一个电脉冲以伏特为单位,代表了用于引燃BPN的激光信号产生的光发射。
第二个更大的脉冲随着第一个脉冲之后有数十到数百毫秒的间隔,代表了由于BPN引燃和燃烧而产生的光发射。

图7
但最重要的观察是第三个脉冲,它比前两个脉冲更不明显,代表了激光脉冲(或激光信号)的结束。然而,只有在脉冲持续时间大于引燃延迟时间时,才会出现这第三个脉冲。
因此,这第三个脉冲代表了激光脉冲的结束,BPN在脉冲完全被吸收之后并不一定会引燃;然而,即使在引燃之后, BPN仍然会吸收能量影响燃烧过程。

在燃烧过程中,可以从记录的数据中观察到这第三个脉冲以突然的干扰(或干扰脉冲)的形式出现,其持续时间通常等于从打开激光信号开始的脉冲持续时间。
换句话说,引燃是一个热过程,它并不总是取决于激光脉冲的持续时间,而是取决于引燃的阈值能量和功率,从脉冲持续时间可以看出,在大多数情况下,它们都比引燃延迟时间长,特别是在较低的输出功率下,而几乎等于引燃延迟时间,特别是在较高的输出功率下。

从(图8)可以看出,输出功率、吸收强度和引燃发生的临界脉冲持续时间之间存在明显的权衡关系。
从引燃延迟时间和脉冲持续时间之间的差距可以看出,对于较高的输出功率,这个差距非常小,但随着输出功率的降低,这个差距逐渐增大,也就是说,在较低的输出功率下,所需的阈值引燃能量更高,这不仅增加了引燃延迟时间,尤其是增加了脉冲持续时间。

图8
从图12可以看出,无论是在高输出功率还是低输出功率下,iMP1和iMP4的引燃延迟时间较短,而iMP2和iMP3的引燃延迟时间较长。主要原因是焦斑大小直接影响着引燃过程。
通过前述实验结果我们还发现,焦斑聚焦得越紧密,功率密度就越高。而对于iMP1和iMP2情况,使用125毫米焦距的透镜与使用60毫米焦距的透镜得到的结果几乎相同。这意味着在我们的实验设置中,无论工作距离是多少,只要焦斑大小保持不变,就不会影响功率和能量密度、BPP、M2和亮度。

图12
为了证实上述发现,我们进行了四个具有相同输出功率但不同工作距离的情况的研究,即将BPN的位置移至相邻位置,同时焦距保持不变,只改变目标处的焦斑大小。
结果如图13所示,焦斑大小的增加与工作距离的增加成反比。脉冲持续时间和引燃延迟时间与焦斑大小成正比减小,因为功率密度集中在更小的区域内。
然而,需要注意的是,即使焦斑大小减小,随着工作距离的增加,所需的阈值引燃能量也会增加,因为脉冲持续时间和引燃时间之间的差距增加。

最小激光功率和照射时间之间存在权衡关系。实现最大温升和最小阈值引燃功率取决于各种参数。在准稳态条件下,温升与脉冲持续时间的平方根成反比。因此,需要考虑的标准包括高功率密度、高度聚焦的光束、最小反射损失、长照射时间和高扩散性。

进一步研究激光关键参数的影响可以帮助我们深入了解激光与物质之间的相互作用机制。这样的认识有助于优化激光系统的设计和控制,提高点火效率、燃烧速率和燃料经济性。
此外,对激光关键参数的深入理解还可以指导激光系统在不同应用领域的应用,如燃烧发动机、激光切割和焊接等。
未来的研究可以进一步探索激光系统中其他关键参数的影响,例如激光脉冲频率、相干性和极化状态等。结合先进的模拟和实验技术,可以开展更深入的研究,以揭示激光与物质相互作用的微观机制,从而实现更高效的点火和燃烧过程。