
本文所对应视频请见这里链接。
一、本讲的数学家
复数是数学最美丽的篇章之一,它们也已成为数学中核心的工具。然而了解它们的过程并不容易,专业术语是原因之一;它们被称作「不可能的」和「虚幻的」数字, 「复」这个字留给人们的印象是它们并不好理解。庆幸的是这在今天不是问题:我们可以以一种相对初等的可视化方式展示它们。
法国数学家艾德里安·杜阿迪(Adrien Douady,1935/9/25 - 2006/11/2)将为我们讲述这个及下面章节。他是一个杰出的数学家,对复数领域做出了许多贡献,他喜欢说他所有的研究都是关于复数。特别地,他为复变动态系统做出了重要的数学贡献,我们将在稍后再谈。

他的理论成果之一就是创作了许多美丽的图形,这些可以被现在的电脑轻松绘制出来。杜阿迪努力推动这种图形的绘制,这既有益于数学家的研究也有助普及宣传数学。
全靠杜阿迪我们才有了杜阿迪的分形兔这样的图形(他喜欢给数学对象一些惊奇的名字:兔子、飞机、卡通动物等等)。
很显然,即使是杜阿迪也不能在第 5、6 短短的章节内讲解完复数的全部理论……这些章节不是用来替代一门大学水平的课程与书籍。应该把这些视频是补充,作为可视化的例子激发进一步学习的兴趣或让您回忆起以前学过的课程。影片主要还是要清晰地展示复数那几何的一面。
二、数与变换
我们已经知道直线是一维的,我们可以把数放在直线上——正数放在原点右边负数放在原点左边。点是几何对象,数是代数对象。把点和数看作相对应的,也就是混合代数与几何——这是数学中最富有创造力的想法之一。把这种想法归功于一个人总是不太容易,但是总体上我们可以把利用代数研究几何这种有力的方法归功于勒内·笛卡尔:这是代数几何的诞生。如果直线上的点是数,那么我们就可以几何地理解数的初等运算的意义:加法与减法。理解这个思想的关键是在于变换这个概念。
比如从一个数 x 中减一,即是变换 x-1,可以看做是几何上的移动:所有的点都向左移一。同样地,乘以二可以被看成是扩张。
乘以 -1,把 x 变成 -x,可以看作是一个对称——每一点变为其关于原点对称的那一点。乘以 -2 是前面两个操作的组合。两个数相乘可以化为两个相关变换的复合。比如,乘以 -1 所对应的变换是一个对称,当我们先后两次进行这个操作时,我们回到最初的那一点,就如同-1 乘以自身得 +1。-1 的平方是 +1。
由同样的道理可知,-2 的平方是 +4。根据这可知任何数的平方都是正数。没有数的平方是 -1。 换句话来说,-1 没有平方根。

请观察上图动画
三、-1 的平方根
很长一段时间,人们认为 -1 没有平方根是一个不可动摇的信条。不过从文艺复兴时期,某些有发明精神的数学家就有敢于打破禁忌勇气!
如果我们敢去写 √-1,那么我们也可以写像 2+3√-1 这样的数,像平常一样操作使用它们并不用去理解它们的含义。那些开拓者是以一种实验的姿态首先勇敢地运用这些不可能的数进行计算。由于他们的计算并不导致矛盾出现,这些数逐渐被数学家们接受,即使没有真正正当的理由。

这些数的故事十分长,我们不打算描述它坚实基础建立的过程。简而言之,在十九世纪,一些数学家包括高斯、卡斯帕尔·韦塞尔和让-罗贝尔·阿尔冈,明白了这些数的几何含义。影片里就简单展示了阿尔冈的一个描述方法。
-1 与关于原点的中心对称有联系,也就是关于原点绕半周。寻找 -1 的平方根也就是寻找这样一个变换,我们操作它两次,才旋转半周。阿尔冈说明 -1 的平方根必须对应一个四分之一周的旋转变换,进行两次四分之一旋转得到半周旋转,也就是乘以 -1。
由这个观念我们会想说从 1 开始旋转四分之一圈就得到 -1 的平方根。当然从 1 旋转四分之一圈不在直线上,而我们让它出现在了某种平面上!
这个想法很简单却很优美:把平面上的点看作是数,当然不是我们原先所指的数。由于这一点我们把「传统」的数称作实数,我们刚定义的数,与平面上的点相对应,称作复数。
如果我们用坐标(x,y) 表示平面上的数,x、y 是实数,我们刚离开的那条直线的方程是 y = 0。(1,0)点旋转四分之一周后是(0,1)。这就是阿尔冈认为是 -1 的平方根的那一点。最初被这「花招」震住的数学家们把这数叫做 i,即「imaginary」。我们希望能相加这些数,我们可以考虑 x + iy:对应坐标(x,y)。

请观察上图动画
总结一下,阿尔冈建议我们把平面上的点(x,y) 当作一个(复)数来考虑,而不是一对(实)数。这也许非常令人惊讶,或者让人觉得矫揉造作。但我们将看到这观念很有作用。
四、复数代数
下面的内容并不难。有了这些假定之后,我们用两个实数定义一个复数,也即平面上的一点,用 z= x + iy 表示它。我们要展示如何把两个复数相加,相乘,我们以前使用的运算性质这里仍然适用。比如,我们可以检查两个复数的和与它们相加的顺序无关。这都可以严格证明,但不是影片的重点……这里介绍了复数理论。
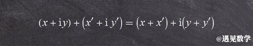
对于复数的加法很容易:我们有公式

所以复数的加法归结为对应向量的相加。
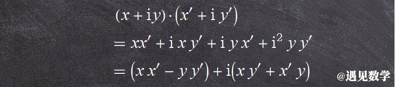
而对于乘法,稍微有点复杂:

但是这公式里还有其他特殊的地方。比如,从这公式中我们不能直接看出三个复数相乘的结果与运算顺序无关,并且我们能否用非零复数去除复数。这些问题并没有在影片里给出解释……否则我们要花费更多来说明了!

请观察上图动画
▌复数两个重要的概念
复数 z= x +iy 的 模(modulus) 就是(x,y) 到原点的距离,用 |z| 来表示。由勾股定理知这等于 √(x² +y²)。比如 i 的模是 1,1+i 的模是 √2。
我们用 Arg(z) 表示 z 方向的 辐角(argument) ,即 x 轴与连接原点与(x,y)的直线间的夹角。辐角只有在 z 不等于零时才有定义。比如 i 的辐角是 90°、1 的辐角是 0、-1 的辐角是 180°、1+i 的辐角是 45°。
空间的点如何相乘?很长一段时间数学家们都想把这推广到三维空间。花了很久人们才明白这是不可能的。在四维空间,只要放弃乘法 ab=ba 这条交换律性质,他们又发现这部分可行!再抛弃 (ab)c=a(bc) 这条结合律性质,直到八维都是可行的。就是说每一次维度翻倍,都会失去一些数学性质。
总而言之,平面上的每一点的都被定义成「一个」复数。二维平面变成了一维!这里没有矛盾:平面有两个「实」维度,但这是一条一维的「复」直线。实平面,复直线……两个实维度,一个复维度。文字游戏?
五、又见面了:球极平面投影!
回忆一下球极投影:它把除去北极点的二维球面变换到与南极点相切的平面上。随着点接近北极,它的投影在平面上越来越远,所以我们说它趋于无穷。

现在,如果我们把与南极点相切的平面想像成复线,那么我们就能明白为什么我们经常把二维球面(两个实维度!)描述成复投影线!这就是一个美妙数学技巧的例子:把球面称作线!
Henri Poincaré 不就说了数学就是给不同的事物同样的名字吗?
文章转自dimensions-math.org,[遇见]有修改补充,转载请注明.