本文的目的是提供一个简单的计算工具,以下简称“Ragone计算器”,它允许将电极级别电化学测试数据传输到假设的全电池,说明体积和重量能量和功率密度以及电池组件的重量和体积份额。因此,Ragone计算器可用于确定电极组成和设计参数方面最优化方案。这里分享Ragone计算器,介绍如何将半电池的电化学测试结果输入Ragone计算器,以确定活性材料类型、电极设计和组成对全电池水平的能量和功率密度的影响。
之前也陆续分享过电池设计与性能预测工具(后台回复Ragone计算器 获取设计工具)
1.软包叠片电池设计表
2.固态电池设计与性能估算工具
相对较薄的电极(<20 μm)和质量负载量低(<5 mg cm–2的电极)常用于实验室电池,以评价材料性能,因此在材料层面比容量与电极厚度无关。当考虑整个电池时,体积和质量能量密度随着电极厚度的增大而增加,并在约某一值处趋于平稳。这是因为非活性组分的质量和体积分数随着电极厚度的增加而减小。从材料到电池级别,影响全电池性能的因素包括:
(1)电极厚度: 厚度越低,电池的倍率能力越高。但是好的倍率并不一定意味着高功率密度。如果全电池的能量密度较低,例如电极厚度非常低的情况,则即使在非常高的放电率下,功率密度也会大大降低。薄电极非常适合材料表征。但是,如果不考虑电极的几何特性和全电池中的相应效应,性能特征不能反映真实的电池情况。
(2)孔隙率: 搞孔隙率在材料水平上可以获得高的比容量。但是孔隙率越高,全电池水平的质量和体积能量密度越低,这又与活性和非活性材料之间的质量和体积比有关。对于3D结构化电极,其具有更高的倍率能力,但也伴随着更高的孔隙率,因此对全细胞水平的影响尚不清楚。
(3)过量的粘合剂和导电添加剂 :用于表征新型活性材料的电极通常由过量的粘合剂和导电添加剂制成,这样可以避免电子传导限制并确保电极的机械完整性。虽然这种方法对于研究纯材料行为非常有用,但如果不考虑非活性组分质量,应谨慎报道电池性能数据。
因此,德国弗劳恩霍夫陶瓷材料与系统研究所的学者提供了一种直接的计算工具(Ragone计算器),该工具允许输入材料和电极的测量数据,并估计全电池级别的电池性能。Ragone计算器是一个Excel文件, 文末点击 阅读原文 本公众好提供*载下** 。
该计算器计算过程如图1所示,由活性材料、粘合剂和导电添加剂制成的实验室电极经过电化学测试,获得比容量和倍率性能。测试数据与电极的成分和几何特性一起输入Ragone计算器。Ragone计算器生成一个假设的全电池,与导入电极的特性相匹配,并以 Ragone 图的形式输出体积和重量能量和功率密度以及各种组件的相对质量和体积分数。

图1 使用Ragone计算器的过程示意图和获得的信息
具体操作过程如下:
(1)Ragone计算器Excel文件中的Input界面输入材料的比容量和倍率性能测试数据,以及电极的成分和几何特性。这里有三个按钮:①输入电极参数以正极为依据或者以负极未依据;②输入参数以工具内的默认值或者自定义输入;③不同倍率下的电压以平均电压或者以测试电压为准。

图2 Ragone计算器输入数据
详细的输入参数包括正负极电极的参数(涂布面密度、活性材料真密度、活性材料理论容量、电极厚度、活性材料比例、粘结剂比例、导电剂比例、粘结剂真密度、导电剂真密度、平均电压);电池隔膜孔隙率、厚度和密度;电解液密度、集流体厚度和密度;负极首次容量损失率、N/P、电解液过量系数、电池的体积和质量利用率等




工具内提供了一些默认值,部分电池设计参数默认值如以上图片所示。材料参数和三种典型结构电池的壳体利用率默认值如下,这些默认值都是通过分析商业化电池获得的,目前的工业水平参数。



(2)Ragone计算器Excel文件中的Output界面自动输出电池质量和体积数据,各组分的质量和体积占比,质量和体积的能量密度和功率密度关系图,以及面容量和电流密度关系图。






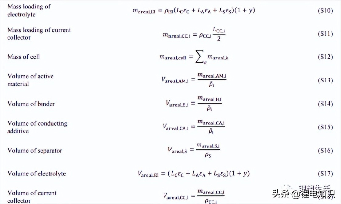
该工具的计算过程和公示如下:



符号说明

