石经纬
河北迁曹高速公路开发有限公司
摘 要: 通过对裂缝带的建模,解决了圆柱形颈缩引起的路基应力应变状态问题。基于A.I.Bonkin双线性约束,得到了基于考虑路基非线性特性的解决方案,并以应力应变等值场形式给出了直观的结果。该方案提出了一种分析模型,其采用了双线性规律变化的路基反力系数,该分析模型可以考虑在建筑物和构造抗岩溶地基中使用。
关键词: 裂隙带地基;应力应变;分析模型;非线性;
作者简介: 石经纬(1983—),男,河北唐山人,工程师,研究方向为道路桥梁工程。;
0 引言
路面结构的损坏除了其本身的原因外,路基的变形过大也是重要的原因之一。路基土的变形包括弹性变形和塑性变形两部分,过大的塑性变形将导致沥青路面产生各种车辙和纵向不平整现象,而对于水泥混凝土路面,路基土的塑性变形将引起板块断裂[1]。弹性变形过大将使得沥青面层和水泥混凝土面板产生疲劳开裂。在路面结构总变形中,土基的变形占很大部分,大约占70%~95%,因此提高路基土的抗变形能力是提高路基路面结构整体强度和刚度的重要手段和有效措施,理想的线性弹性体在一定的应力范围内,应力与应变的关系呈线性特性[2,3],而且当应力消失时,应变也随之消失,恢复到初始状态。土体在内部应力作用下表现出的变形,从微观的角度看,是土的颗粒之间的相对移动。当移动的距离超出一定限度时,即使将应力解除,土体的颗粒也无法恢复至原位;从宏观角度看,土基将产生不可恢复的残余变形。因此,土基的应力-应变关系除了出现弹塑性性质之外,还表现出了非线性特性[4,5,6]。
土的动应力强度是在一定的动荷作用次数下,产生某一种破坏应变所需的动应力大小,土的动应力强度特征主要反映在动荷载作用下的速率效应和循环效应两个方面[7,8],由于动荷作用的速率和循环作用次数不同,动力强度也不同,影响土动力强度的主要因素有:土质条件、起始应力条件、动荷条件等。评价土基的强度指标有多种,我国采用路面回弹模量作为指标,同时应力应变也是路基-地基系统动态响应的重要指标[9]。
1 研究内容
本文用描述路基反力系数变化的分析模型预测岩溶裂隙引起的路基应力应变状态。两个分析模型如图1所示,在第一个分析模型上(图1(a)),路基反应系数K从零值逐步变化到超出其边界的计算值。在第二个分析模型上(图1(b)),进入减小系数K1,该系数不受与坑洼区域的距离及其定量值的限制。本文对这一系数的定义进行了探讨,以便在建筑物和构造抗岩溶基础计算中使用。
本文考虑由圆柱形颈缩(图2)衰减引起的关于有限厚度土壤的均匀加载层应力和应变状态问题,其直径由规范性文件规定[10]。
利用线性解法得到圆柱坐标系中应力应变的表达式,如式(1)所示:

图1 现有分析模型 *载下**原图

图2 问题的分析模型 *载下**原图

垂直变形w的公式不取决于圆柱形区域到裂缝的距离,因此,无法实现路基与裂缝接触区域内的衰减效应,即近似描述该基础性能的计算模型如图1(a)所示。本文提出一种基于非线性方程组分配问题的定量估算裂缝接触区路基衰减的方法,并建立计算抗岩溶地基的精细分析模型。
2 使用非线性计算的前提条件
除了常用的土壤变形特征E和ν以外,公式中还有两个替代变形特征:体积弹性模量K和剪切模量G。因此,胡克定律采用以下形式:

将土壤变形特性分为剪切变形和体积变形,对土壤应变非线性理论非常重要,由于土壤对体积变形和形状变化应变的抵抗力不同,随着平均应力σm的增加,体积应变也随之增加,并逐渐趋于某个值,即体积应变K(σm)模量是平均应力σm的函数,并随着其增长而增加。形状变化的应变,情况正好相反:随着切向应力τ的增加,角应变在一定的剪切应力极限强度下呈双曲线状增长并趋于无穷大τ*,因此剪切模量G是剪切应力τ的函数,并随剪切应力τ的减小而减小。剪切模量G取决于平均应力σm,由于剪切应力强度极限值τ*也取决于此,如图3所示。

图3 体积(a)与剪切(b)应变与应力的关系 *载下**原图
描述土壤非线性变形的理论很多,本文中应用了A.I.Botkin双线性主观式,见公式(3):

除了土壤变形特性外,在这种相关关系中还允许引入应力参数:内摩擦角φ和黏着系数c。因此,设置土壤力学特性“标准”集(E,ν,φ和c),可以近似看作路基实际行为的非线性问题。
3 非线性沉降计算
为了得到便于分析τi∗的表达式,采用张力分量代替已得到表达式中的σz、σr和σφ,并进行简单变换,使其作为张力分量表达式分析的结果,见式(4):

考虑到张力相等,可以得到以下张力强度表达式,见式(5):

通过将得到的表达式替换为公式(3)中的τi∗和τi,并进行简单变换,可得到垂直变形w的表达式。在此表达式的基础上,建立了垂直位移等值场,如图4所示。

图4 考虑路基非线性特性的垂直应变等值场 *载下**原图
这种阵列垂直位移等值场的模式与线性公式中得到的解有根本不同——裂缝区的位移显著增加,并在距裂缝一定距离处衰减。
将所得结果与文献[2]中的线性计算结果进行比较,可以明确地得出考虑非线性土体变形的地基吃水量大于线性理论所获得的降水量。值得注意的是,随着载荷p0的增加,该差异会随着切向应力τi强度的增加而增加,并趋向于τi∗。反之,剪切模量G值又趋于零(G→0),因此增加了变形表达式中的第一项,即形状变化。
在获得数据的基础上,绘制了底板下裂缝区路基反力系数Cz变化的曲线图,见图5。所获得的路基反力可变系数Cz的表达式和图表本质上是非线性的,难以在工程实践中使用。

图5 底板下裂缝区路基反力系数Cz变化的曲线图 *载下**原图
4 形成路基的分析
在本研究中,为简化描述路基反力可变系数Cz从径向距离到坑槽轴线r的相关关系,可在径向距离r=R处分为两段双线性相关关系。
(1)当r≥R时,路基反力系数Cz取一个值,而不考虑圆柱颈缩Czmax对路基的影响。
(2)当0≤r≤R时,地基反力系数Cz随径向距离r的增大而增大,呈线性关系,从Czmax(b)增大到Czmax(R)。
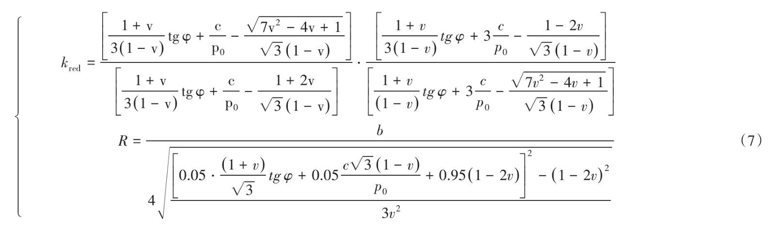
描述双线性相关关系的图示见图6。然而,在工程计算中,更方便的方法不是使用两个刚度系数Cz,0和Czred(b),而是使用两个刚度系数的比值——衰减系数kred,见式(6):

衰减区域R半径是根据以下假设得出的:考虑衰减的路基反力Cz系数值,而未考虑Cz,0(R)衰减的情况下Czred(R)与路基反力系数的差异不超过5%。在此情况下,明确地确定相关性的两个主要参数,将其在工程实践中使用比复杂的非线性相关性方便得多,确定这些参数的公式,见式(7):

图6 路基反力系数Cz双线性图 *载下**原图

5 结论
根据地基土的力学特性以及建筑物和结构的地下部分构成元素,得到的基础路基(kred和R)的衰减参数有较大的变化范围,即存在“弱”土壤,且在荷载转移的基础上,路基低荷载条件下衰减系数kred在0.3~0.7的范围内变化,路基的衰减区域R扩展超过裂缝的界限,范围为b~2b。
参考文献
[1] 马晓丰.关于路基土的应力—应变特性分析及填土改进措施的思考[J].内蒙古科技与经济,2013(12):125,127.
[2] 金碧蓉.浅谈路基土的应力—应变特性[J].黑龙江交通科技,2011,34(6):48.
[3] 金建立.林芝某乡村高填方路基土应力应变特性试验研究[J].高原农业,2020,4(6):617-622.
[4] 沈卓恒,阮世强.软土地层路基工后沉降预测及控制研究[J].交通科学与工程,2020,36(4):17-21.
[5] 方雪青.公路路基土质边坡坍塌及其防治措施[J].内蒙古公路与运输,2005(3):48-49.
[6] 杨航.浅析道路软土路基施工技术[J].科学技术创新,2019(24):103-104.
[7] 常世清.列车振动荷载下路基—地基应力应变分析[J].铁道标准设计,2017,61(3):32-36.
[8] 张幸幸,张建民,温彦锋.长期交通荷载作用下路基沉降的实用计算方法[J].岩土工程学报,2015,37(11):2067-2072.
[9] 李玲,艾贤臣.路基回弹模量预估研究进展[J].*疆新**大学学报(自然科学版)(中英文),2021,38(1):100-107.
[10] 《岩土工程师手册》(上、下册)介绍[J].岩土工程学报,2010,32(4):623.

声明: 我们尊重原创,也注重分享。有部分内容来自互联网,版权归原作者所有,仅供学习参考之用,禁止用于商业用途,如无意中侵犯了哪个媒体、公司、企业或个人等的知识产权,请联系删除(邮箱:glyhzx@126.com),另本头条号推送内容仅代表作者观点,与头条号运营方无关,内容真伪请读者自行鉴别,本头条号不承担任何责任。